Отговори
# 480
# 481
  • Мнения: 9 238
The Invisible, а отговори има ли на задачите по физика?
На първата 30J, на втората 10N?

# 482
  • Мнения: 4 544
The Invisible, а отговори има ли на задачите по физика?
На първата 30J, на втората 10N?
Няма отговори' по-скоро търсим пътя на решение

# 483
  • Пловдив
  • Мнения: 4 176
Дидева, благодаря.
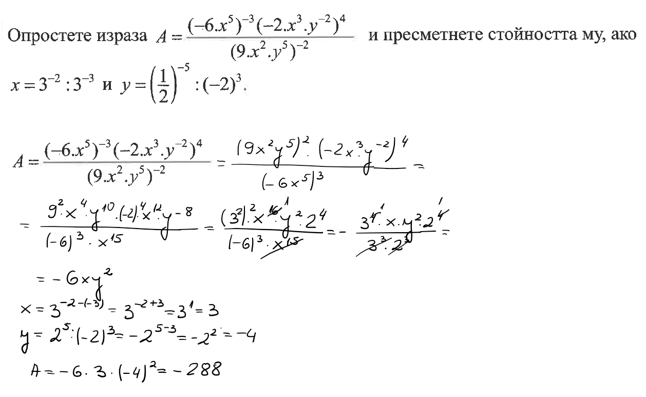
-2 защо стана 2 на втори ред?

# 484
  • Мнения: X
Защото четната степен " изяде" минуса.

# 485
  • София
  • Мнения: 855
Моля за помощ. Стигаме до отговор Б, но не знаем как да получим , че в малкия триъгълник има ъгъл 30°. 

# 486
  • Варна
  • Мнения: 2 464
Ако си означите равните ъгли с алфа ще излезе ъгълчето.
<CBL = <ABL = alfa
<ABC = 2.alfa
<DCB = 90-2.alfa
Но триъгълника OBC е равнобедрен (CO = BO от теоремата за медиана в правоъгълен триъгълник)
=> alfa = 90 - 2.alfa
=> alfa = 30

Късно видях чертежа. При вас моето алфа е вашето бета върху две! Извинявайте, че не догледах първоначално, че сте дали чертеж с означения.

# 487
  • Мнения: 488

Моля за помощ за 151 и 152.

# 488
  • София
  • Мнения: 855
Ако си означите равните ъгли с алфа ще излезе ъгълчето.
<CBL = <ABL = alfa
<ABC = 2.alfa
<DCB = 90-2.alfa
Но триъгълника OBC е равнобедрен (CO = BO от теоремата за медиана в правоъгълен триъгълник)
=> alfa = 90 - 2.alfa
=> alfa = 30

Късно видях чертежа. При вас моето алфа е вашето бета върху две! Извинявайте, че не догледах първоначално, че сте дали чертеж с означения.
Много благодаря! Явно трябва още доста задачи да изрешим, че да започнем да ги "виждаме" ъглите.Cold Sweat

# 489
  • Мнения: 9 238

Моля за помощ за 151 и 152.

151. Доказвате триъгълник ОАВ1 еднакъв с ОВА1 - три равни страни. От това следва и равни ъгли ОВА1=ООВ1А и ОА1В=ОАВ1. ВА1В1=В1АА.
Триъгълници АВL и А1LB1 еднакви защото АВ=А1В1 и прилежащите им ъгли равни.
Триъгълници OAL и OLA1 еднакви - три равни страни. Ъгъл OLA=OLA1.

152. АМ=А1М1, ВМ=В1М1, ъгъл АМВ=А1М1В1. Триъгълниците АМВ и А1М1В1 са еднакви.
Он това следва АВ=А1В1 и ъгъл АВМ=А1В1М1. ВС=В1С1 по условие.

# 490
  • Мнения: 520
Ще може ли помощ  за задача от Еднакви триъгълници 7 клас:

Предварително Ви благодаря!

# 491
  • Мнения: 9 238
Ще може ли помощ  за задача от Еднакви триъгълници 7 клас:

Предварително Ви благодаря!

Триъгълници ABN и ANM еднакви. AN обща.MN=NB, ъгъл ANB=ANM.
AB=AM=MC=c
AC=2c

# 492
  • Мнения: 520
Много благодаря, Dincho! Може ли да уточниш, защо АС=АМ от,това че са еднакви триъгълници? 🤔

Последна редакция: сб, 05 мар 2022, 23:37 от elf575

# 493
  • Мнения: 225
Моля за помощ с тези  задачи  7 клас.
В четириъгълника АВСD BC = 16 cm,
АВ = АD и ъгъл A : B : C : D = 6 : 7 : 6 : 5. Ако симетралите
на страните AD и CD се пресичат в точка О, намерете лицето на триъгълник AOC.

За ABC е известно, че АВ + ВС = 36 cm
и ъгъл CAB : ABC : BCA = 1 : 2 : 3. Точка-
та М е среда на страната АС. През точка А е
построена права p успоредна на
 BM , а през точка С –
права q ⊥ BM . Правите p и q се пресичат в
точка R. Намерете дължината на отсечката
BR и големината на MRB .

Последна редакция: нд, 06 мар 2022, 09:16 от Dorroty

# 494
  • Мнения: 9 238
Много благодаря, Dincho! Може ли да уточниш, защо АС=АМ от,това че са еднакви триъгълници? 🤔
AM=MC по условие BM е медиана .

Общи условия

Активация на акаунт