Отговори
# 405
  • Мнения: 492
Пенсионирана русалка,много добре сте го обяснили,нещата са точно така както сте ги обяснили

# 406
  • Мнения: 3 179
Моля за решение:
ЕК 2021 година 3 клас, зад.15

Да се намери сборът от цифрите на двуцифрено число, което се намалява 5 пъти, ако цифрата на единиците му се намали с 2, а цифрата на десетиците му се намали с 5.

# 407
  • Мнения: 1 968
Полученото число след намаляване с 5 пъти е по-малко от 20, тъй като в противен случай търсеното число няма да е двуцифрено. Значи цифрата на десетиците е 1, след като прибавим 5 става 6. Цифрата на единиците трябва да е такава, че след като я умножим с 5 да е с 2 по-голяма. Тук на принципа на изключването стигаме до това, че е 3. Търсеното число е 65 (65:5 = 13), сборът от цифрите му - 11.

# 408
  • Мнения: 11 171
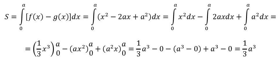
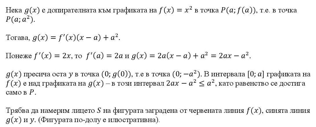
Докажете, че лицето на площта, заградена от графиката на функцията f(x) = x^2 (x на квадрат), допирателната на f в точката P(a; f(a)), a>0, и оста y, е S = 1/3 * (a^3).

a^3 oзначава a на трета степен.

Благодаря!

# 409
# 410
  • Мнения: 9 256
Полученото число след намаляване с 5 пъти е по-малко от 20, тъй като в противен случай търсеното число няма да е двуцифрено. Значи цифрата на десетиците е 1, след като прибавим 5 става 6. Цифрата на единиците трябва да е такава, че след като я умножим с 5 да е с 2 по-голяма. Тук на принципа на изключването стигаме до това, че е 3. Търсеното число е 65 (65:5 = 13), сборът от цифрите му - 11.

След като сме намерили цифрата на десетиците 6, то цифрата на единиците може да е само 5. Трябва да се дели на 5 и да може да се намали с 2.

# 411
  • Мнения: 623
Здравейте! Моля за помощ за две задачи за 6 клас

# 412
  • Мнения: 580
Защо NC e перпендикулярно на AB в задаа 2?

# 413
  • Бургас/София
  • Мнения: 325
NC е височина в АВС

# 414
# 415
  • Мнения: 6 954
A за какво им е NC? И аз нещо се разбрах.

Нали се пита "Намерете разстоянието от точка М до средата на хипотенузата на триъгълника."
Ами след като намерят, че АВ = 10, което е първият ред на доказателството,
(да кажем, че средата на хипотенузата AB е в т. Р)
знаем, че СР = АВ/2 = 5 см.
Смятаме хипотенузата от триъгълник СМР:
МР2 = СР2 + СМ2 = 25 + 144 = 169
МР = 13 см ... това е разстоянието.

# 416
  • Пловдив
  • Мнения: 4 176
Помощ. Стигнахме до симетрала.

# 417
# 418
  • Мнения: 580
но защо?На какво основание?

# 419
  • Бургас/София
  • Мнения: 325
но защо?На какво основание?
Не знам и не виждам смисъл от тая височина при условие, че търсим разстоянието до средата на АВ. Предполагам това решение е от сборниците с решени задачи на различните издателства (рекламите им заливат фейсбук). Явно на някой триъгълника му е заприличал на равнобедрен и дали е височина или медиана няма значение Grinning

Общи условия

Активация на акаунт