Q&A
Обобщени въпроси и отговори от темата *
Какви са скоростите на товарния и пътническия влак в задачата с движението на влаковете?
Как се решава задачата с числата a и b, където a е намалено с 12/25 от него и полученото число е увеличено 50 пъти, като a и b са цели положителни числа, не по-големи от 50, и s = 7/5b?
Как да намерите двуцифрени числа, които, когато се добавят 8, стават 11 пъти по-големи?
* Предложените въпроси и отговори се генерират машинно от автоматизиран езиков модел на база потребителските мнения в темата. Генерираното съдържание може да е непълно, неактуално, подвеждащо или неподходящо. Вашите оценки спомагат за подобряване на модела и неговото усъвършенстване.
-
Какви са скоростите на товарния и пътническия влак в задачата с движението на влаковете?
-
Как се решава задачата с числата a и b, където a е намалено с 12/25 от него и полученото число е увеличено 50 пъти, като a и b са цели положителни числа, не по-големи от 50, и s = 7/5b?
-
Как да намерите двуцифрени числа, които, когато се добавят 8, стават 11 пъти по-големи?
-
Как можем да намерим броя на начините за записване на числата 1, 2 или 3 във върховете на петоъгълник?
-
Как можем да решим задачата със системата уравнения за план и действителност на броя задачи на ден за u дни?


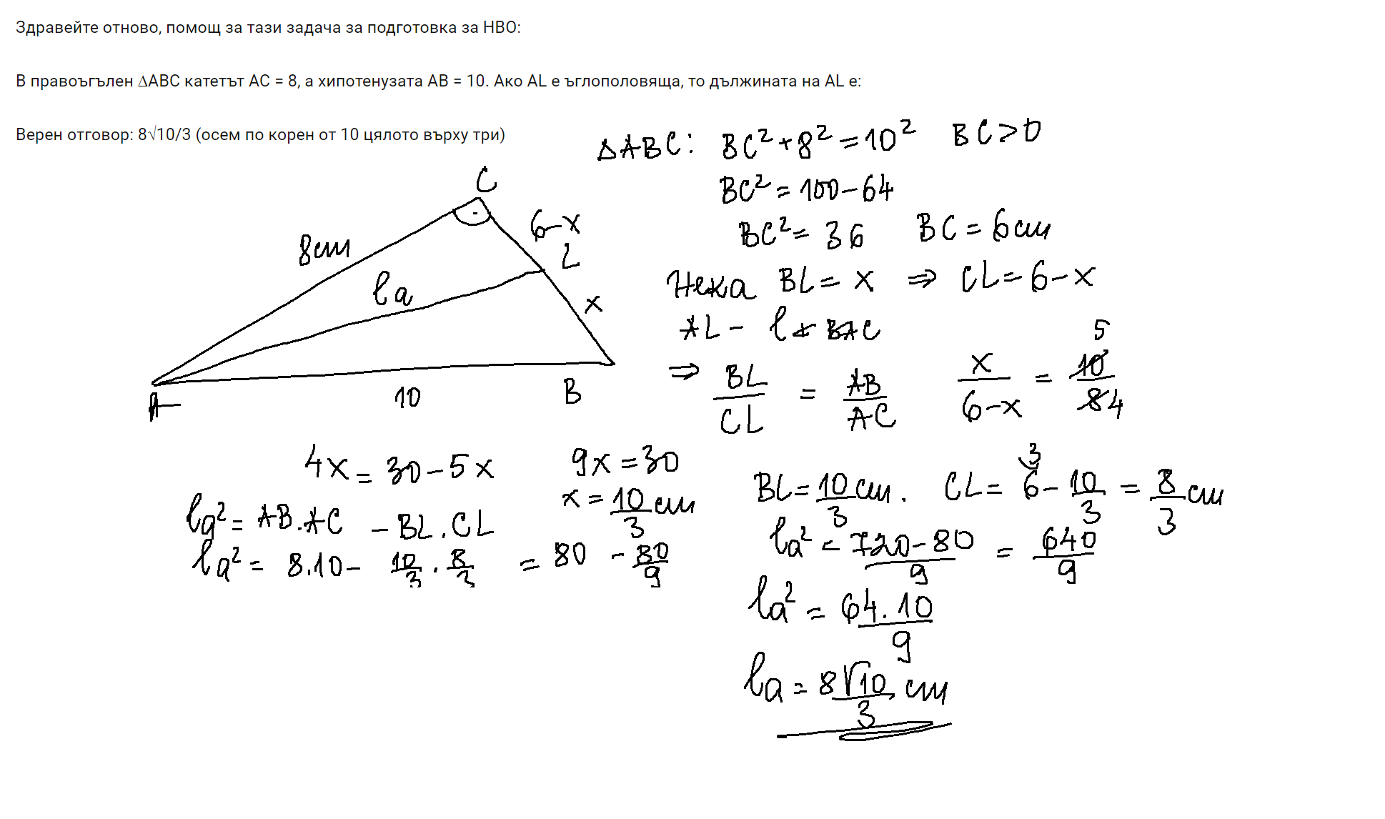
Задачите са за 11.клас. Помощ:hibiscus:

и не забравяйте знака - ( в знаменател трябва да е произведението на косинусите -1, а тук са им разменени местата)


