Q&A
Обобщени въпроси и отговори от темата *
Какви са възможностите за учениците след първото класиране?
Какви са стъпките за онлайн подаване на заявление за класиране?
Как се класират учениците в училище?
* Предложените въпроси и отговори се генерират машинно от автоматизиран езиков модел на база потребителските мнения в темата. Генерираното съдържание може да е непълно, неактуално, подвеждащо или неподходящо. Вашите оценки спомагат за подобряване на модела и неговото усъвършенстване.
-
Какви са възможностите за учениците след първото класиране?
След първото класиране учениците имат няколко възможности. Те могат да се запишат в училището, в което са приети, или да подадат заявление за второ класиране в същото училище. Ако изберат втората възможност, местата им ще бъдат запазени, но те също така ще имат шанс да се класират за по-предно желание. Съществува и трети вариант - да не предпочетат нито една от предходните възможности, което означава, че губят мястото си.
-
Какви са стъпките за онлайн подаване на заявление за класиране?
При онлайн подаване на заявление за класиране учениците трябва да въведат своите предпочитания от меню с вписани кодове на паралелки. Ако е включена професионална паралелка, прикачете медицинско заключение във формат .pdf. Накрая щракнете върху „Запазване“, за да финализирате подаването на заявлението, което не може да бъде коригирано.
-
Как се класират учениците в училище?
Учениците се класират въз основа на техните предпочитания, като държат листче с първото си желание и съответния му бал. Първоначално те се разпределят в съответните паралелки според първото си желание. Ако има ограничени места, последният класирал се до момента в дадена паралелка се премахва от списъка, листчето му с първото желание се анулира и той отново влиза в опашката за разпределяне. Този процес продължава, докато всички ученици бъдат класирани.
-
Какви са стъпките за подаване на документи в училище-гнездо?
-
Какви са възможностите за студенти след второ класиране?
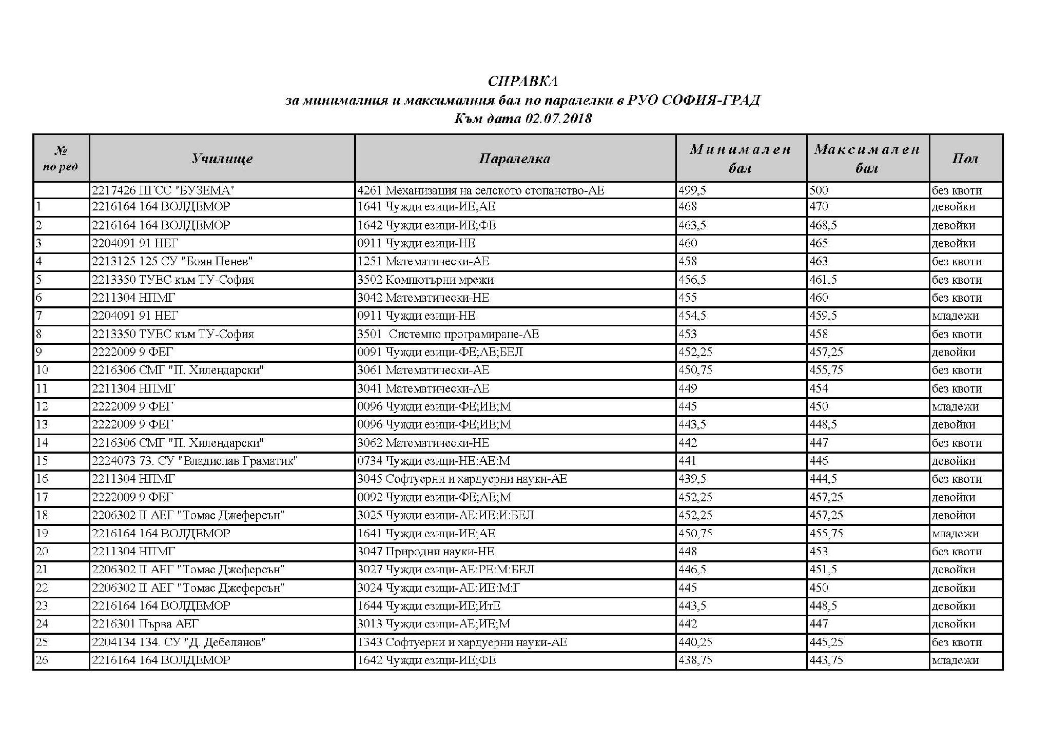
Само сега, новата преработена и още по-добра справка. 

Благодаря, че си го харесала, имаш вкус.
Сещайте се - МОН-човци е препратка към МУНчовци

ох истрещяло пиле съм след толкоза чакане, честно!