Отговори
# 195
  • Мнения: 4 493
Решения на 1 и 2
 

# 196
  • Мнения: 2 917
Dincho, The Invisible - благодаря, дами. Hug

# 197
  • Мнения: 4 493
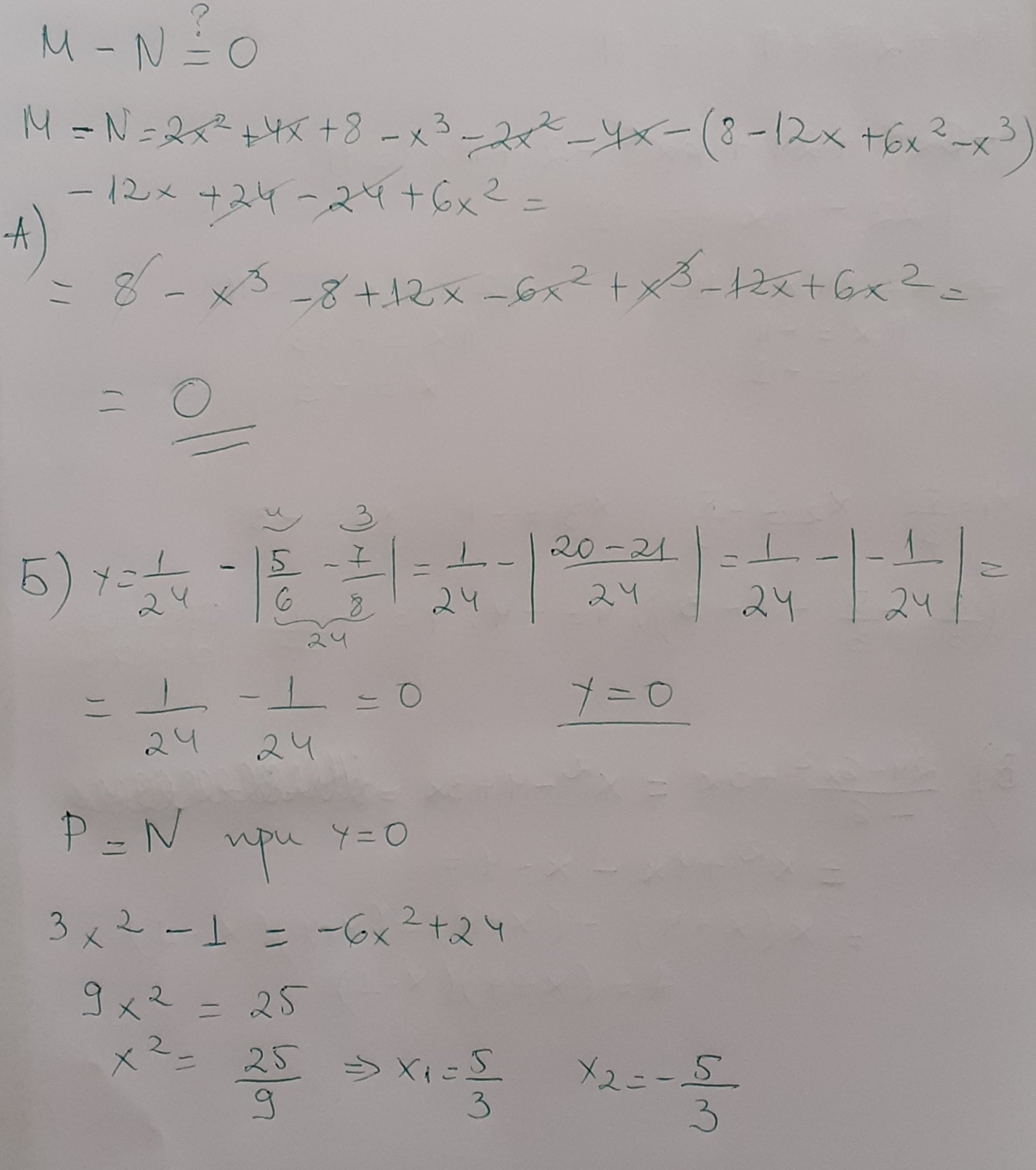
3А), трябва да се съобрази, че височината е външна
За Б) да се изкаже някой по-вещ

# 198
  • Мнения: 9 115
Анитса, 3Б

# 199
  • Варна
  • Мнения: 490
Ако ъгъл С= х, ъгълът между двете ъглополовящи е 90+х/2, а между двете височини е 180-х /това са основни задачи/. И 90+х/2=180-х и х=60 градуса.

# 200
  • Мнения: 4 493
Доколкото знам, при задачите за разписване не могат да се ползват наготово основните задачи. Всичко трябва да се доказва , освен ако не е теорема.

# 201
  • Варна
  • Мнения: 490
Доколкото знам, при задачите за разписване не могат да се ползват наготово основните задачи. Всичко трябва да се доказва , освен ако не е теорема.
Да, трябва да се разпишат.

# 202
  • Мнения: 6 909
Според българската програма използват ли се калкулатори в час или на контролни?
Ок ли е в 7 клас, ако вече е учено, че обем на куб е а3, да се иска да се намери височината на куб, ако е даден обемът му от 7724,88 см3? Тоест корен от 3 от някаква си произволна десетична дроб или това се прави, когато вече са учили корен от n?

# 203
  • Мнения: 6
Моля за помощ за следната задача за 7клас:
Даден е триъгълник АВС с ъгъл ВАС=45 и ъгъл АВС=30. Точка М е вътрешна за тр-к АВС и ъгъл МАВ= ъгъл МВА=15.
Намерете ъгъл СМВ

# 204
  • София
  • Мнения: 19 926
Според българската програма използват ли се калкулатори в час или на контролни?
Ок ли е в 7 клас, ако вече е учено, че обем на куб е а3, да се иска да се намери височината на куб, ако е даден обемът му от 7724,88 см3? Тоест корен от 3 от някаква си произволна десетична дроб или това се прави, когато вече са учили корен от n?

Намират страна  на куб при даден обем, но им дават по-скоро цели числа, които разлагат на множители. Има специално маркирани уроци/задачи в учебниците/помагалата,  които са за работа с калкулатор, но най-вече заради необходимостта от  напарва на хамалски сметки в решенията. На определени места, заради смесвенето на други учебни системи с нашенската, може обаче да се ползва и scientific calculator (включително на тестове) с много повече функции от събиране, изваждане, умножение, деление, степенуване и коренуване...

Последна редакция: нд, 07 мар 2021, 20:15 от пенсионирана русалка

# 205
  • Мнения: 980
Моля за помощ за следната задача за 7клас:
Даден е триъгълник АВС с ъгъл ВАС=45 и ъгъл АВС=30. Точка М е вътрешна за тр-к АВС и ъгъл МАВ= ъгъл МВА=15.
Намерете ъгъл СМВ

# 206
  • София
  • Мнения: 19 926
Няма да забравя как се изкефих максимално преди години на това допълнително построение  с равностранния триъгълник. Дъщеря ми в един мат. форум го беше видяла от  Ганис, а  после го показа и на мен Simple Smile

# 207
  • Мнения: 9 115
И аз си спомням как преди време Ант12 беше показала това решение. Тогава се амбицирах и го реших с допълнително построение до равнобедрен правоъгълен триъгълник.

# 208
# 209
  • Мнения: 4 493
Не знам кое дете в 7 клас ще се сети да го допълни до равностранен Rolling Eyes

Общи условия

Активация на акаунт