Отговори
# 225
  • София
  • Мнения: 505
Вечна тема в седмокласните дискусии.
Истината не е в 100 точки за всички.
Лошото е като пада летвата на кое е за елитни мозъци.

За класиране в гимназиите, ако има отделен изпит по математика, нещата ще си дойдат на мястото. С един куршум  два заека  как да оцелиш?
----------
В същност какво е НВО - оценки за документ/диплома за завършено основно образование, състезание, приемен изпит?
Би трябвало да е първото и не е ясно как може да се иска повече от това, което има  в  учебниците и сборниците по математика от общия училищен курс.
А лош среден резултат на НВО - би означавал, че нещо трябва да се промени в учебните планове  - в най-добрия случай или тотална грешка в системата на обучение.

----------

Последна редакция: вт, 09 мар 2021, 02:25 от xxxxxx

# 226
  • Мнения: 700
Здравейте, моля за помощ и то самото решение
(1,2.х+8,6):2=7,9
Отговора е 6,но не можахме да достигнем до него. Задачата е за 5 клас

# 227
  • Мнения: 9 148
(1.2х + 8.6):2= 7.9
1.2х +8.6 = 15.8
1.2х = 15.8 - 8.6
1.2х = 7.2
х = 7.2:1.2
х = 6

# 228
  • Мнения: 700
Динчо, сърдечно благодаря.

# 229
  • Мнения: 11 218


Момичета, може ли помощ за 15, 16 и 17 задача

# 230
  • София
  • Мнения: 20 099


Последна редакция: вт, 09 мар 2021, 22:02 от пенсионирана русалка

# 231
  • Мнения: 9 863
Моля помогнете с тези примери! Вече се затруднявам и не мога да помогна на детето...

# 232
# 233
  • Мнения: 9 863
пенсионирана русалка, безкрайно балгодаря!
Хубав ден! Flowers Hibiscus

# 234
  • Мнения: 11 218
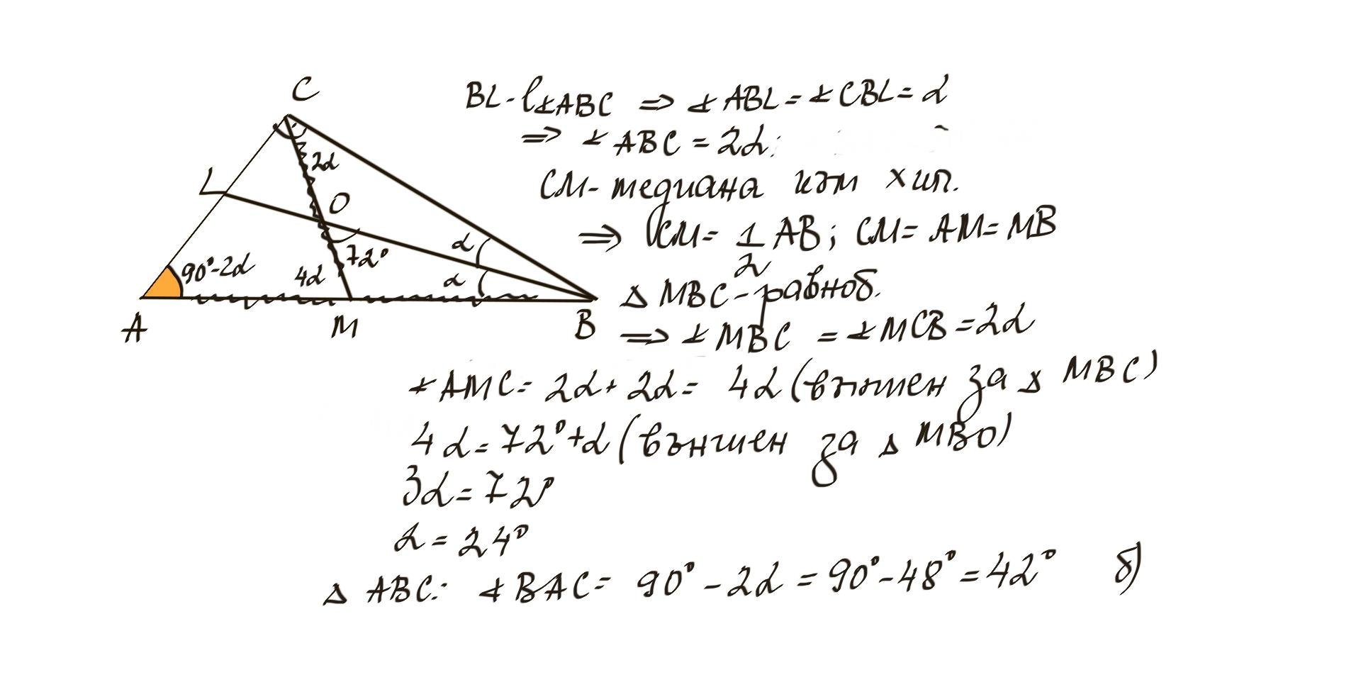
Русалке, само не разбрах как намери , че върха С е 48 градуса на 16 задача

# 235
  • Мнения: 9 148
Кристина, това са така наречените основни задачи. Ъгълът сключен от двете височини е 180- ъгъл С.
Не знам дали тук не трябва да се докаже. Можеш ли да го докажеш?

# 236
  • София
  • Мнения: 20 099




Ето, Кристина, доказателствата на две основни задачи - тази за острия ъгъл между две височини в остроъгълен триъгълник и тази за тъпия ъгъл между две ъглополовящи на вътрешни ъгли на триъгълника. Има и още основни задачи  - довечера , ако имам време , ще напиша и тях. Целта им е пестене на време в  първата част на изпита. Във втората се доказват.

Последна редакция: чт, 11 мар 2021, 12:41 от пенсионирана русалка

# 237
  • Мнения: 11 218


Може ли помощ с първа задача?


Кристина, това са така наречените основни задачи. Ъгълът сключен от двете височини е 180- ъгъл С.
Не знам дали тук не трябва да се докаже. Можеш ли да го докажеш?

Благодаря, Динчо!
Аз такива задачи не си спомням да съм учила в училище. Просто тези неща никога не съм ги знаела, сега ги научих покрай седмокласника. Просто този факт не го знаех...
Аз гледам уча-се и решаваме с младежът. Честно казано не съм учителка, разбирам, че моите емоционални излияния нямат място тук, но на мен тая ситуация с бг образованието много ми тежи...просто се измъчих, ама горе-долу ги понаучих задачите, имам и малък син, там ще съм образована.

Последна редакция: чт, 11 мар 2021, 22:43 от christina1980

# 238
  • Мнения: 4 538
Може ли помощ за разлагане на този многочлен


и за тази геометрична за 7 клас

# 239
  • Мнения: 3 550
8у^2 става 9у^2-у^2
9у^2 групираме с първите две, а от останалите вадим минус пред скоби.

Имаме два точни квадрата и знак мунус между тях, които си разлагаме
(х-3-3у)^2 - (у+4х)^2

Хм, на геометричната получавам, че СМ=MQ, и не е равно на BQ.

Последна редакция: пт, 12 мар 2021, 09:32 от solnichka

Общи условия

Активация на акаунт