Q&A
Обобщени въпроси и отговори от темата *
Как мога да намеря квалифициран учител по математика в София за моето 12-токласно дете?
Как мога да реша задача за намиране на разстоянието от точка C до отсечка AB?
Как мога да реша системата от уравнения x^2 - 2hx + x = -9 и 2u - 3x = 1?
* Предложените въпроси и отговори се генерират машинно от автоматизиран езиков модел на база потребителските мнения в темата. Генерираното съдържание може да е непълно, неактуално, подвеждащо или неподходящо. Вашите оценки спомагат за подобряване на модела и неговото усъвършенстване.
-
Как мога да намеря квалифициран учител по математика в София за моето 12-токласно дете?
За да намерите квалифициран учител по математика за вашето 12-токласно дете в София, препоръчваме ви да започнете с търсене в образователни центрове, частни учители или преподаватели с доказан опит и добри препоръки. Можете също така да потърсите препоръки от приятели или семейство или да използвате онлайн платформи за образователни услуги.
-
Как мога да реша задача за намиране на разстоянието от точка C до отсечка AB?
За да решите задачата за намиране на разстоянието от точка C до отсечка AB в случай, когато правата BC е успоредна на страната AB на триъгълник, можете да използвате геометрични принципи и формули за разстояние между точка и права. Можете да използвате координатна система и уравнения на прави, както и свойствата на успоредни прави и триъгълници.
-
Как мога да реша системата от уравнения x^2 - 2hx + x = -9 и 2u - 3x = 1?
За да решите системата от уравнения x^2 - 2hx + x = -9 и 2u - 3x = 1, можете да използвате методи като заместване, елиминиране или изравняване на една променлива чрез друга. Можете също така да приложите метода на детерминантите или да използвате софтуер за математически изчисления, което би опростило процеса на намирането на решение.
-
Как мога да реша задача за намиране на скоростта на течението?
-
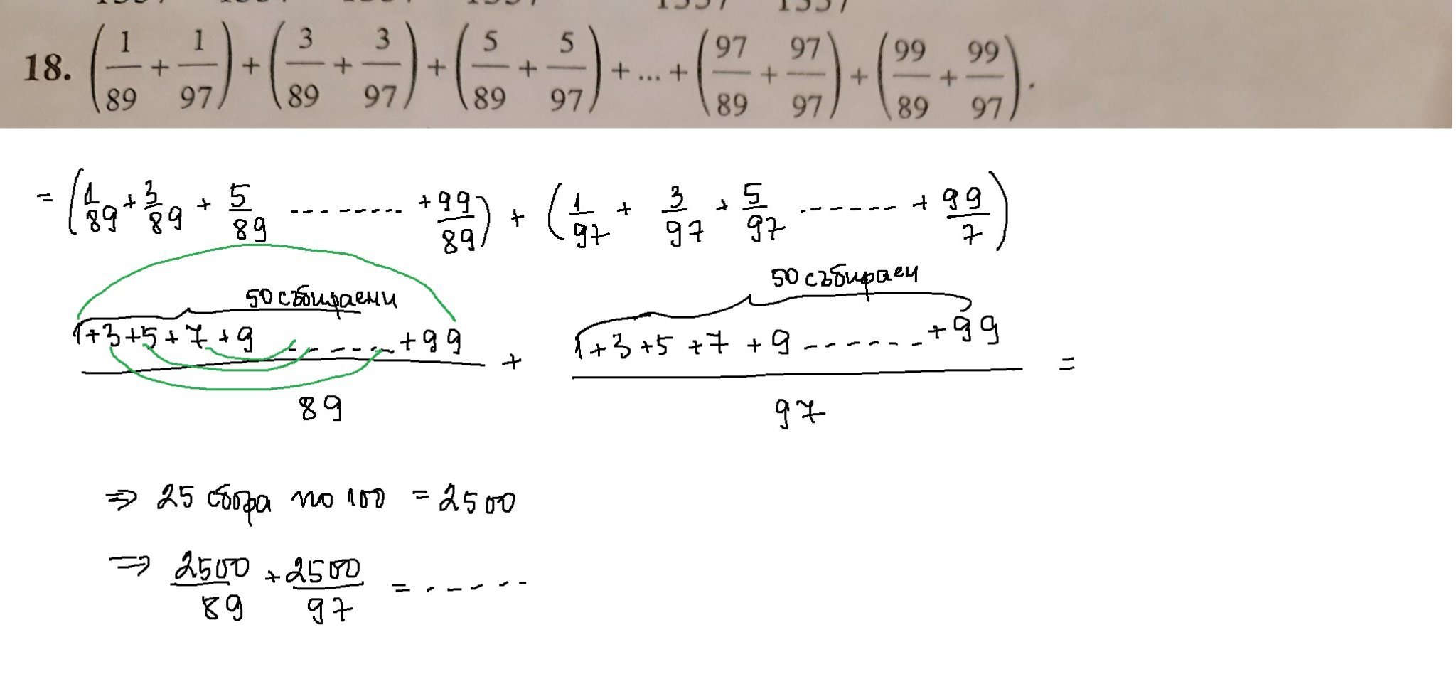
Как да решите задачата за разстоянието от А до В, когато възниква дробен отговор?
Помощ за задача 8 Получихме отговор г)
