Отговори
# 675
  • Мнения: 87
Добър вечер! Помощ със следната задача от подготовка за НВО:

Дванадесет различни точки лежат върху окръжност. Колко хорди могат да се построят измежду тези точки (диаметрите също се броят за хорди):

Верен отговор: 66

# 676
  • Мнения: 6 916
n! : k!. /n-k/
12! / 2!.10! =66

# 677
  • Мнения: 3 179
Моля за решения / 5 клас/:

1. Цифрите на дадено трицифрено число са различни. Ако разликата между най-голямото трицифрено число и най-малкото трицифрено число, които могат да се получат след разместването на трите цифри на даденото число е равна  на даденото число, намерете даденото трицифрено число?

2. Казваме, че четири цели положителни числа  a, b, c  и  d , където  a < b < c < d   образуват "приятелска група",  ако произведението  (d - c).(c - b).(b - a)  се дели на 2023. Колко "приятелски групи" могат да се образуват, ако се използват числата от 1 до 60?

БЛАГОДАРЯ на Ant12 за решенията!

Последна редакция: чт, 23 мар 2023, 00:30 от Лукреция

# 678
  • Мнения: 983
Моля за решения / 5 клас/:

1. Цифрите на дадено трицифрено число са различни. Ако разликата между най-голямото трицифрено число и най-малкото трицифрено число, които могат да се получат след разместването на трите цифри на даденото число е равна  на даденото число, намерете даденото трицифрено число?

2. Казваме, че четири цели положителни числа  a, b, c  и  d , където  a < b < c < d   образуват "приятелска група",  ако произведението  (d - c).(c - b).(b - a)  се дели на 2023. Колко "приятелски групи" могат да се образуват, ако се използват числата от 1 до 60?

1. Отговор: 495 = 954 – 459

Решение:


Скрит текст:
Нека трите цифри използвани в десетичния запис на числото са 1 ≤ a < b < c ≤ 9 (a не може да бъде 0, защото е първа цифра на трицифрено число).

Най-голямото трицифрено число записано с тези цифри е cba, а най-малкото – abc.

Търсим трицифрено число xyz, където x, y, z, са цифрите a, b, c в някакъв ред, за което xyz = cba – abc.

xyz = cba – abc = 100c + 10b + a – 100a – 10b – c = 99c – 99a = 99(a – c)

Имаме, че 2 ≤ c – a ≤ 9 – 1 = 8 (c – a = 1, т.е. c = a + 1 е невъзможно, защото тогава a < b < a + 1).

Следователно, xyz е някое от числата: 198 = 2.99; 297 = 3.99; 396 = 4.99; 495 = 5.99; 594 = 6.99; 693 = 7.99; 792 = 8.99.

Ако xyz = 198, то a = 1, b = 8, c = 9, но 981 – 189 = 792 ≠ 198 – противоречие.

Ако xyz = 297, то a = 2, b = 7, c = 9, но 972 – 279 = 693 ≠ 297 – противоречие.

Ако xyz = 396, то a = 3, b = 6, c = 9, но 963 – 369 = 594 ≠ 396 – противоречие.

Ако xyz = 495, то a = 4, b = 5, c = 9 и 954 – 459 = 495 – решение.

Ако xyz = 594, то a = 4, b = 5, c = 9, но 954 – 459 = 495 ≠ 594 – противоречие.

Ако xyz = 693, то a = 3, b = 6, c = 9, но 963 – 369 = 594 ≠ 693 – противоречие.

Ако xyz = 792, то a = 2, b = 7, c = 9, но 972 – 279 = 693 ≠ 792 – противоречие.


2. Отговор: 120

Решение:


Скрит текст:
Нека b = a + x, c = b + y = a + x + y, d = c + z = a + x + y + z, където x, y, z са естествени числа (x, y, z ≥ 1).

Имаме, че x + y + z < a + x + y + z = d ≤ 60, т.е x + y + z < 60.

Тогава, (d – c)(c – b)(b – a) = xyz и следователно, xyz се дели на 2023 = 7.17.17.

Нито едно от числата x, y, z не може да се дели едновременно на 7.17 = 119 или на 17.17 = 289. Например, ако x се дели на 7.17 = 119, то x + y + z ≥ 119 + y + z > 60, но това е невъзможно. Аналогично, ако например y се дели на 17.17 = 289, то x + y + z ≥ x + 289 + z > 60, но това е невъзможно. Следователно, от числата x, y, z точно едно се дели на 7, но не се дели на 17, а останалите две се делят на 17, но не се делят на 7 или на 17.17.

Тогава, числата x, y, z в някакъв ред може да бъдат: 7, 17, 17; 14, 17, 17; 21, 17, 17; 7, 17, 34.

Ако x, y, z в някакъв ред са 7, 17, 17, то те може да бъдат подредени по три различни начина: 7, 17, 17; 17, 7, 17; 17, 17, 7.

Имаме, че 1 ≤ a и а + 7 + 17 + 17 = d ≤ 60, откъдето a ≤ 19, т.е. 1 ≤ а ≤ 19 или a може да приема 19 различни стойности.

Като комбинираме три възможни начина за подреждане на 7, 17, 17 с 19 възможни стойности на a, получаваме 3.19 = 57 „приятелски групи“.

Ако x, y, z в някакъв ред са 14, 17, 17, то те може да бъдат подредени по три различни начина: 14, 17, 17; 17, 14, 17; 17, 17, 14.

Имаме, че 1 ≤ a и а + 14 + 17 + 17 = d ≤ 60, откъдето a ≤ 12, т.е. 1 ≤ а ≤ 12 или a може да приема 12 различни стойности.

Като комбинираме три възможни начина за подреждане на 14, 17, 17 с 12 възможни стойности на a, получаваме 3.12 = 36 „приятелски групи“.

Ако x, y, z в някакъв ред са 21, 17, 17, то те може да бъдат подредени по три различни начина: 21, 17, 17; 17, 21, 17; 17, 17, 21.

Имаме, че 1 ≤ a и а + 21 + 17 + 17 = d ≤ 60, откъдето a ≤ 5, т.е. 1 ≤ а ≤ 5 или a може да приема 5 различни стойности.

Като комбинираме три възможни начина за подреждане на 21, 17, 17 с 5 възможни стойности на a, получаваме 3.5 = 15 „приятелски групи“.

Ако x, y, z в някакъв ред са 7, 17, 34, то те може да бъдат подредени по шест различни начина: 7, 17, 34; 7, 34, 17; 17, 7, 34; 17, 34, 7; 34, 7, 17; 34, 17, 7. 

Имаме, че 1 ≤ a и а + 7 + 17 + 34 = d ≤ 60, откъдето a ≤ 2, т.е. 1 ≤ а ≤ 2 или a може да приема 2 различни стойности.

Като комбинираме шест възможни начина за подреждане на 7, 17, 34 с 2 възможни стойности на a, получаваме 6.2 = 12 „приятелски групи“.

Окончателно, общият брой приятелски групи е равен на 57 + 36 + 15 + 12 = 120.

# 679
  • Мнения: 3 179
Моля за решение на следните задачи /5 клас/:

1. Колко седемцифрени числа, започващи с 2023 се делят на 6, 7, 8  и  9?     БЛАГОДАРЯ НА  Ant12  ЗА РЕШЕНИЕТО НА ТАЗИ ЗАДАЧА!

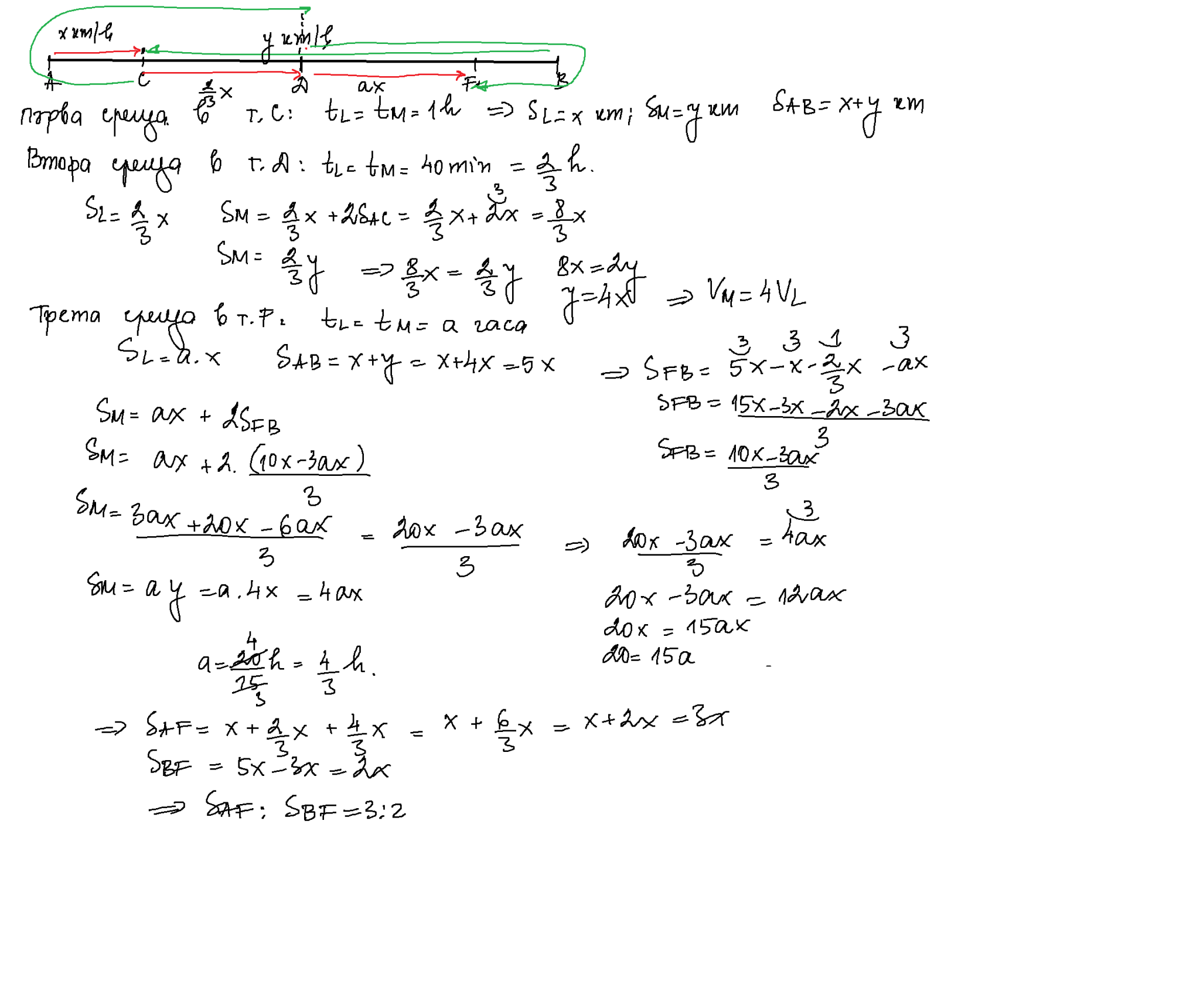
2.Лин тръгнала пеша от град А към град В, а Майк тръгнал с колело от град В към град А по същия път. Те тръгнали едновременно и след 1 час се срещнали. Когато Майк пристигнал в А, незабавно тръгнал обратно към В. Четиридесет минути след първата им среща, той настигнал Лин, която все още се движила към град В. Когато Майк стигнал в град В, веднага тръгнал обратно към  А. Намерете отношението между разстоянията от мястото на тяхната трета среща съответно до град  А и град  В.     БЛАГОДАРЯ НА РУСАЛКАТА ЗА РЕШЕНИЕТО НА ТАЗИ ЗАДАЧА!

Последна редакция: чт, 23 мар 2023, 13:13 от Лукреция

# 680
# 681
  • Мнения: 983
1. Колко седемцифрени числа, започващи с 2023 се делят на 6, 7, 8  и  9?

Отговор: 2 – 2 023 056 и 2 023 560

Решение:


Седемцифрените числа започващи с 2023 са не по-малки от 2 023 000 и не по-големи от 2 023 999.

Щом едно число се дели едновременно на 6, 7, 8 и 9, то се дели на НОК (6, 7, 8, 9) = 504.

Всички естествени числа, които се делят на 504, може да се представят във вида k . 504, където k е естествено число – 1.504, 2.504. 3.504, . . .

2 023 000 : 504 = 4 013 ( остатък 448 )

4 013 . 504 = 2 022 522 < 2 023 000

4 014 . 504 = 2 023 056, 2 023 000 < 2 023 056 < 2 023 999 – изпълнява условието

4 015 . 504 = 2 023 560, 2 023 000 < 2 023 560 < 2 023 999 – изпълнява условието  

4 016 . 504 = 2 024 064 > 2 023 999

Всички числа, за които k ≤ 4 013 са по-малки от 2 023 000 и не изпълняват условието и тези, за които k ≥ 4 016 са по-големи от 2 023 999 и също не изпълняват условието.

# 682
  • Мнения: 17 910
Момичета, ако една задача на НВО е решена правилно, но по различен начин, ще я зачетат ли за вярна?
Например тази задача:


Аз я решавам и обяснявам на детето така:
3 : 2
36 : х
х *3 = 36 * 2
х= (36*2)/3 (върху три)
Съкращавам 36 на 3
х = 12*2= 24 4-стайни апартамента
Тъй като тристайните и четиристайните са половината от всички, то двустайните са 36+24=60
От там:
а) 36+24+60=120
б) 60*1700= 102 000
    36 * 2 000= 72 000
    24*2 500 = 60 000
Общо за изолация на блока събирам трите произведения
в) полученото число за изолация на блока деля на 120 и получавам средно на апартамент.
Тъй като в условието има пропорции, учителката им показва в час чрез пропорции, но детето ето,че не може да успее да запише всичко вярно, второ и на двете тези пропорции са ни трудни, задачата става много дълга и объркваща.
Важно ли е по какъв начин е решена задачата или се гледа дали е решена?

# 683
  • Мнения: 9 217
Мама Ру, важното е да е решена с изучаван материал. Например в 7-клас знаят, че н правоъгълен триъгълник катет, който е 1/2 от хипотенузата лежи срещу ъгъл ат 30 градуса. Това е така, защото синус от 30 е 1/2, но ако го напишат със синус няма да им го зачетат. Или ако решат квадратно уравнение, за да разложат .
В случая ти използваш права пропорция. Как го обяснява учителката?

# 684
  • Мнения: 17 910
Аз не разбрах. Детето е преписвало, но явно не всичко и не вярно.
Видях задачи с дроби като решение и нещо от типа на (3х+2х) /  4 или 7 в знаменателя.
Аз използвам много така нареченото просто тройно правило, защото е много лесно за запомняне и спестява от изчисленията. Използвам го още от трети клас и никога учител не е казвал, че не бива така да решавам, т.е  не са ми правили проблем, че задачата не е решена според изучавания материал. Но сега чета разни коментари и се чудя. Тъй като моето има затруднения в разбирането винаги търся най-лесният и разбираем за нея начин.  Детето беше изписало повече от страница голям формат, тя пише и едро и прескача понякога редове, но аз лично нищо не разбрах от нейното преписано, а тя каза, че нищо не разбира от обяснението на учителката.

Ако трябва да перифразирам задачата по по-лесен за нея начин бих я направила така:
Имаме един блок. Не знаем на колко етажа е, но знаем, че на всеки етаж половината апартаменти са двустайни, три са тристайни и два са четиристайни. Знаем, че в блока има 36 тристайни апартамента. Щом знаем, че има общо 36 апартамента и на всеки етаж има по 3 тристайни лесно ще намеря етажите, а като знам етажите ще намеря колко са двустайни и четиристайните. От там колко са всички апартаменти в блока....

Последна редакция: чт, 23 мар 2023, 15:12 от Mama Ru

# 685
  • Мнения: 9 217
Не ти е нужно това дори. Половината апартаменти са тристайни и четиристайни и те се отнасят като 3:2, значи общо 5 части от 1/2. 3/10 от х е =36. Х е 120 всички апартаменти. Половината е 60. 2/10 от 120 е 24.
Просто тройно правило е права пропорция и не знам да не се учи.
Един добронамерен съвет, има и обратна пропорция и тогава не се умножава на кръст. Трябва да се научите да ги различавате с детето. Спомням си, че преди време Русалка ти го беше обяснила. С две думи- просто тройно правило е чудесно, но не трябва да му се предоверявате.

# 686
  • Мнения: 17 910
Така с дреби и и части й е трудно. Не го разбира, не умее да съкращава.
Ще прегледам пак обратната пропорция.

# 687
# 688
  • Мнения: 9 217
Мама Ру, за тази точно задача си е права пропорция или просто тройно правило.

# 689
  • Мнения: 17 910
А)Ако се увеличи два пъти делимото,  частното ще се увеличи два пъти.
Например 160:4=40, а 320:4= 80
Б) частното ще се намали два пъти - 80:4=20
В) частното ще се намали два пъти - 160:8= 20
Г) частното ще се увеличи два пъти - 160:2= 80
Д) частното ще остане същото - 320:8= 40
Е) частното ще се увеличи 4 пъти - 320:2= 160

Общи условия

Активация на акаунт