Пусти неудачи с няколко задачи - някой ако смогне, нека да помогне :)

  • 32 009
  • 780
  •   1
Отговори
# 255
  • София
  • Мнения: 20 168
E, по-рано си бях свалила  другата като условие, ама междувременно  си я изтрила. Там получих 8.

# 256
  • София
  • Мнения: 6 309
E, по-рано си бях свалила  другата като условие, ама междувременно  си я изтрила. Там получих 8.
Извинявай, Русалче. Ти си много бърза, не очаквах някой да реагира веднага. Детето си я реши другата, но ще му предам отговора ти, благодаря.

# 257
  • Б
  • Мнения: 954
link=topic=1537996.msg46319758#msg46319758 date=1682074131]
.
[/quote]
Не знам каква е била идеята на възложителя на задачите, но те са от учебник за осми клас. Урокът е " Моделиране с дробни уравнения".
[/quote

Задачите са дадени за упражнение за подготовка за НВО за 7 клас. Идеята била се стигне  до уравнението без да се решават задачите.

# 258
  • София
  • Мнения: 20 168
Това е малко безсмислено задание (според мен).. Седмокласникът няма в общич случай навици за моделиране на уравнения с неизвестно в знаментеля. А за да се измъкне само с едно неизвестно, начинът е дробно уравнение.. По-добре би било да им дадат по-завързани седмокласни задачи с такова искане, даже на места по сборниците има такова условие с въпроса кое от четирите моделирани уравнения е вярното, тоест не се иска  въпросното уравнение да се решава..

# 259
  • Мнения: 983
Пустaтa задачa e за профилирана подготовка в 11 клас.
Моля някой да помогне.


Скрит текст:

# 260
  • София
  • Мнения: 20 168
Ант,  аз затова се въздържах за другата, иначе също получих 26/3. Но според мен производни се учат в 12 клас, а Спунк каза 11-ти.  Тази с отговор 8 просто я направих  с рационализиране на числителя с тригонометрична  формула и после с основни граници.

Извини ме, ако греша и  са учени производни и правило на Лопитал още в 11-ти.

# 261
  • Мнения: 492
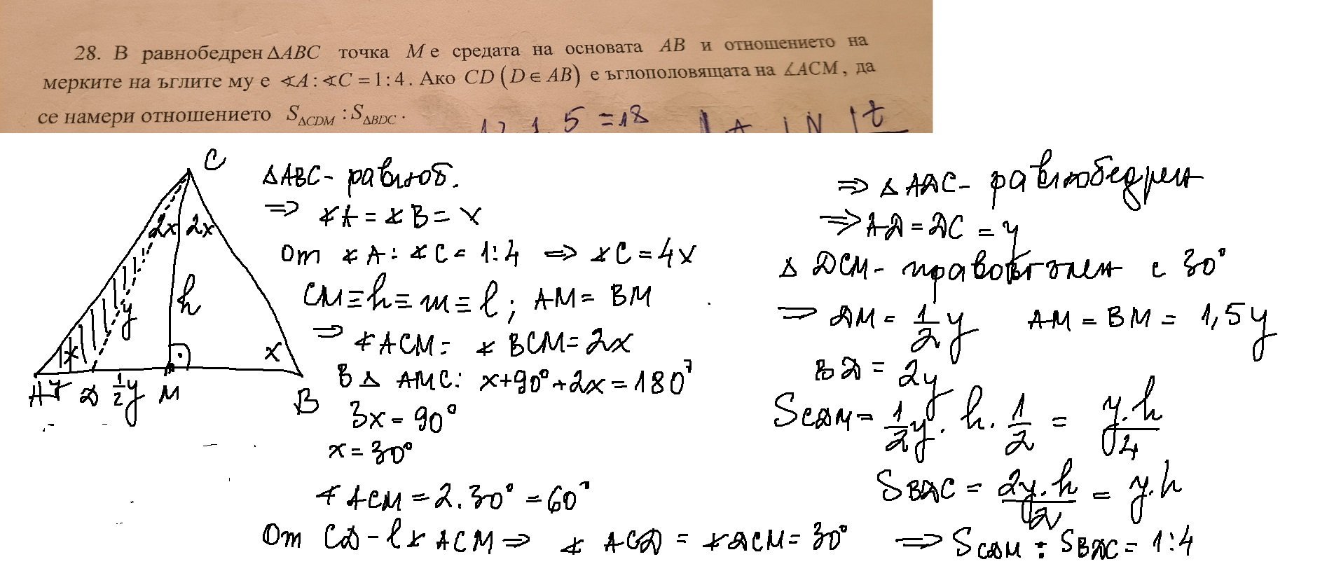
Здравейте,имаме затруднение със задача 28 от едно пробно НВО за 7 клас.Ще помогнете ли?

# 262
  • Мнения: 983
Ант,  аз затова се въздържах за другата, иначе също получих 26/3. Но според мен производни се учат в 12 клас, а Спунк каза 11-ти.  Тази с отговор 8 просто я направих  с рационализиране на числителя с тригонометрична  формула и после с основни граници.

Извини ме, ако греша и  са учени производни и правило на Лопитал още в 11-ти.

Без Лопитал.

Скрит текст:

Последна редакция: нд, 23 апр 2023, 11:03 от Ant12

# 263
  • София
  • Мнения: 6 309
Много, много благодаря.
Предавам както двете решения, така и упътването за решената задача.

Последна редакция: нд, 23 апр 2023, 11:02 от Спунк

# 264
  • Мнения: 17 951
Здравейте,имаме затруднение със задача 28 от едно пробно НВО за 7 клас.Ще помогнете ли?
Аз я решавам така, но те съм математик.
Тъй като триъгълникът е равнобедрен, то СМ е височина към АВ и ъглополовяща на ъгъл АСВ. СD е ъглополовяща на АСМ следователно триъгълникът DCM е 1/4 от триъгълника АВС, а триъгълникът DBM е 3/4 от АВС. 1:3

# 265
  • Мнения: 369
Моля за помощ за зад.9 и зад.11
Скрит текст:

# 266
  • София
  • Мнения: 20 168


Бебчето, снимката не е прикачена и няма условие..

# 267
  • Мнения: 928
Моля за помощ с тази зад за 7 клас. Стигаме до лицето на квадрата - 108 кв.см.
Благодаря предварително!

# 268
# 269
  • Мнения: 928
пенсионирана русалка, хиляди благодарности! Много лесно, ама кой да се сети 😄

Общи условия

Активация на акаунт