Отговори
# 480
  • Мнения: 3 179
Моля за решение на следната задача /само условие  б/:

От правоъгълен лист ламарина с дължина 150 см и ширина 85 см изрязали във всеки от ъглите му еднакви квадрати със страна 18 см. От останалата част чрез прегъване и запояване направили съд с форма на правоъгълен паралелепипед без капак. Намерете:
а/ от колко квадратни дециметра ламарина е направен съдът;

Намерихме, че съдът е направен от 114,54 кв. дм

б/ колко грама боя са били необходими за боядисването на съда, ако стените му са били боядисани отвън и отвътре, а дъното му само отвътре и за 1 кв.дм се изразходват 2,5  грама боя.

/Интересуваме се само от решението на буква б/

# 481
  • Мнения: 6 960
"се добавя към 24" = "сумата им е 24" ?
Много странен израз. Вярно, че отдавна не живея в България и е възможно да се заблуждавам, но за мен този израз "се добавя към 24" не звучи ясно.

# 482
  • Мнения: 17 994
Моля за решение на следната задача /само условие  б/:

От правоъгълен лист ламарина с дължина 150 см и ширина 85 см изрязали във всеки от ъглите му еднакви квадрати със страна 18 см. От останалата част чрез прегъване и запояване направили съд с форма на правоъгълен паралелепипед без капак. Намерете:
а/ от колко квадратни дециметра ламарина е направен съдът;

Намерихме, че съдът е направен от 114,54 кв. дм

б/ колко грама боя са били необходими за боядисването на съда, ако стените му са били боядисани отвън и отвътре, а дъното му само отвътре и за 1 кв.дм се изразходват 2,5  грама боя.

/Интересуваме се само от решението на буква б/
Дъното на съда е 55,86 кв.дм
Изваждате го от лицето на съда - 114,54
Полученото число умножавате по 5 грама (вътре и вън по 2,5грама), а дъното умножават само по 2,5. Двете получени числа ще покажа разхода на боя за целия съд

# 483
  • Мнения: 252
peneva_a ,благодаря.

# 484
  • Най-красивата страна
  • Мнения: 13 203
Здравейте момичета.
Цял следобед решава задачи детето,но с тези четири не успя да се справи.И аз не успях.
Моля за помощ.Ще съм много благодарна,ако някой може да помогне.

зад.3,4


зад.7,8

# 485
  • София
  • Мнения: 20 187



Другите ; по-късно мога пак да се включа, ако дотогава някой не ги е решил.

# 486
  • Мнения: 983
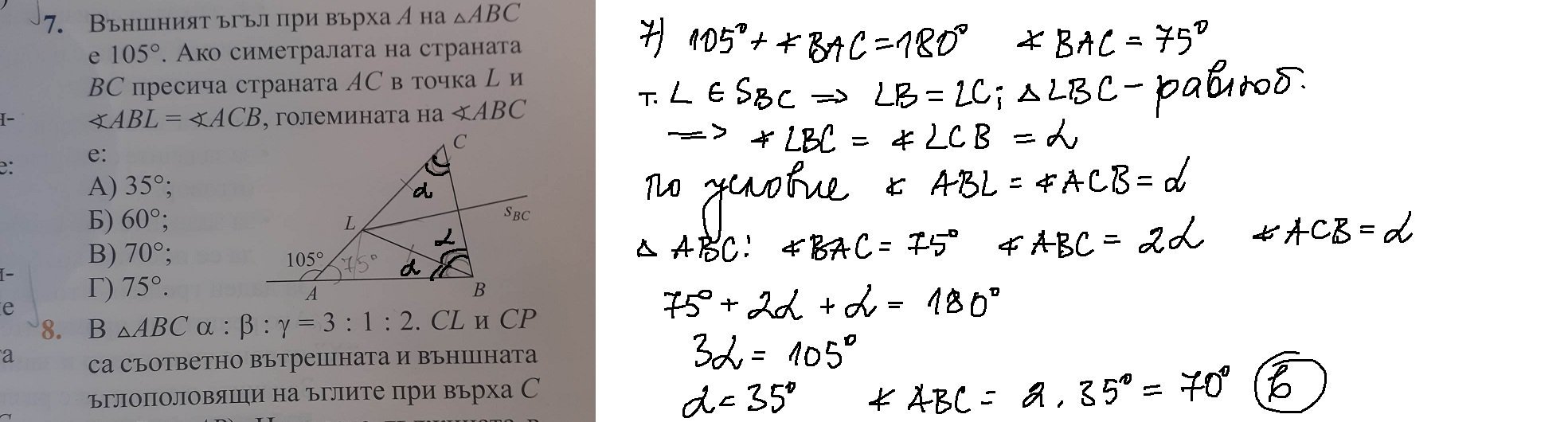
Момичета, много моля за помощ за тази геометрична задача за 5 клас.

В подобни задачи за тази възрастова група обикновено се ползва т. нар. „лема за хвърчилото“ – пост # 73, от 4 ноем. 2020, 23:09 ч., на линка по-долу.

https://www.bg-mamma.com/?topic=1260564.msg41683681#msg41683681

На линка има и решения на две подобни задачи.

Ето и решението на самата задача.

Скрит текст:

Понеже отговорът ми се стори „крив“, реших задачата и по друг начин (получи се същия отговор) – с техниката „тегло на точка и център на тежестта на триъгълник“. На английски е известна като mass point geometry.

За пълнота, ето и това решение.

Скрит текст:

Тази техника е интуитивна и лесно се възприема и от малки състезатели (5/6 клас).

В нета има много материали на английски.

Децата от тази възрастова група, които се явяват по „азиатски“ състезания биха имали полза ако я научат.


https://www.parkrapids.k12.mn.us/cms/lib/MN02207558/Centricity/D … 86/Mass_Point.pdf

https://mathcircle.berkeley.edu/sites/default/files/archivedocs/ … etry_8Sep2015.pdf

https://www.parkrapids.k12.mn.us/cms/lib/MN02207558/Centricity/D … _With_Answers.pdf

# 487
# 488
# 489
  • Най-красивата страна
  • Мнения: 13 203
Специално искам да благодаря на Пенсионирана русалка и Ант12,които ни спасяват за пореден път.Благодаря ви,че помагате на детето ми .
Ако с нещо мога да помогна и аз,пишете ми.

# 490
  • Мнения: 252


Моля отново за помощ за тези 2 задачи.
Тези дни тотално съм спряла. Както и детето явно.
Благодаря

# 491
  • Мнения: 9 263


Моля отново за помощ за тези 2 задачи.
Тези дни тотално съм спряла. Както и детето явно.
Благодаря

1. АВ=a, BC=АС=b, BM=MC=c, AM=b-c
Разликата е a+2b-a-b=b

2. От точка О пуснете височината към АВ да кажем АН. Триъгълник НМО правоъгълен с ъгли 30.60.90. НМ = х, ОМ =2х.
Триъгълник АМО също правоъгълен с 30, 60, 90. АМ=2ОМ=4х
АН=НВ=3х АВ=6х, МВ=2х=5

# 492
  • Мнения: 3 179
Моля за решение: /5 клас/

Дадени са два еднакви куба. Всеки ръб на единия куб се намалява с 3 см. Ръбовете на втория куб също се намаляват по един и същи начин, след което се оказва, че общата дължина от ръбовете на двата куба е с 6,06 дм по-малка от първоначалната. Кой от така получените кубове има по-голям обем?

# 493
  • Мнения: 1 905
Моля за решение: /5 клас/

Дадени са два еднакви куба. Всеки ръб на единия куб се намалява с 3 см. Ръбовете на втория куб също се намаляват по един и същи начин, след което се оказва, че общата дължина от ръбовете на двата куба е с 6,06 дм по-малка от първоначалната. Кой от така получените кубове има по-голям обем?

# 494
  • Мнения: 131
Благодаря на Ant 12 за предложените решения

Общи условия

Активация на акаунт