Стойности при кръвен тест за бременност з

  • 4 559
  • 38
  •   1
Отговори
# 15
  • На изток от Ада
  • Мнения: 10 558
От лекарства с чгх  . Пусни кръвен но след 48ч

# 16
  • София
  • Мнения: 18 561
Приемала ли си лекарства с чхг?
Иначе познато усещане от чхг и от бременност категорично нямаш. Поне не на този етап. Вероятно имаш повишен прогестерон и от него имаш разни симптоми.
Пусна ли си прогестерон? Той е добре да се изследва заедно с чхг.

# 17
  • Мнения: 18


Здравейте! Не разбирам от резултата нищо.. Може ли да ми кажете мнение?

# 18
  • София
  • Мнения: 18 561
Е, какво има за разбиране? 0,6 е по-малко от 5 и няма бременност. От 5 до 25 има неясен резултат. Над 25 има бременност.

# 19
  • На изток от Ада
  • Мнения: 10 558


Здравейте! Не разбирам от резултата нищо.. Може ли да ми кажете мнение?
отрицателен

# 20
  • Мнения: 18
Е, какво има за разбиране? 0,6 е по-малко от 5 и няма бременност. От 5 до 25 има неясен резултат. Над 25 има бременност.

Благодаря за отговора, но е не нужно да ми се карате. Нали затова е този сайт? Да питаме и да си пагаме. Лека вечер и бъдете здрави!

# 21
  • София
  • Мнения: 18 561
Не се карам. Неслучайно има референтни стойности, за да няма място за чудене.

# 22
  • Мнения: 2
Здравейте момичета след трансфер съм 8 ми ден с две ембриончета кога мога да направя тест за бременност и чхг благодаря

# 23
  • Мнения: 2 234
Здравейте момичета след трансфер съм 8 ми ден с две ембриончета кога мога да направя тест за бременност и чхг благодаря

Ако са 5-дневни - пускай тест. 🍀💚

# 24
  • Мнения: 18
Здравейте пак ❤ Имах преглед при гинеколог и ми каза че имам киста( имам и пкя).. Каза да направя цветна снимка и да направя тест преди това.  Имах две бледи черти.
Отидох да дам кръв, и излезе 2.81 чгх. Според вас има ли стойността на чгх общо с кистата?

# 25
  • Мнения: 4



Здравейте, да питам и аз, за да съм сигурна.

# 26
  • Мнения: 8
Кръвен тест на 34 ден от последната менструация отрицателен(14.09.),но все още не ми идва,дали да повторя с домашен тест или най-вероятно причината е друга за закъснението. Имам много нередовен цикъл и реално не знам колко ми закъснява варира ми от 26 до 36 дни.

# 27
  • Мнения: 3
има ли някой да ми отговори имали нещо

# 28
  • На изток от Ада
  • Мнения: 10 558
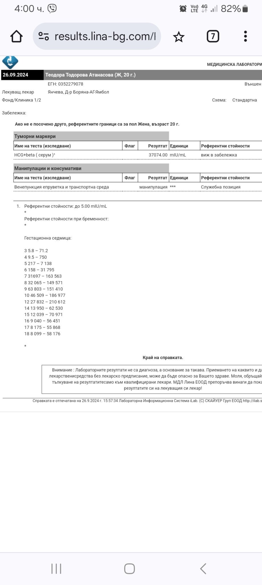
Теди има, запиши час за АГ

# 29
  • Мнения: 125
Здравейте направих си кръвен тест
Горе долу може ли Да се разбера в коя г седмица съм от  единиците  1290.29

Общи условия

Активация на акаунт