Седмокласници 2023/2024 - тема 4

  • 39 687
  • 775
  •   1
Отговори
# 105
  • Мнения: 2 707
При набора беше така.
Първите два часа си учат по програма, ползват си голямото междучасие и следващите четири часа са оставени за пробния изпит. Правили са преразказ.

# 106
  • Мнения: 4 684
В нашето училище организират един пробен изпит и той ще е през пролетта. Класното им по БЕЛ утре ще е във формата на НВО, първи модул за два часа.

# 107
  • Мнения: 1 959
При нас мина класната по БЕЛ тази седмица, по математика ще е идната седмица. През втория срок ще им правят пробните. По математика е предвидила 5, по БЕЛ трябва да са 3. И на мен ми се струва, че засега не правят достатъчно преразкази, а ОЛВ изобщо не са правили.

# 108
  • Мнения: 487
Момичета, моля някоя от вас да ми изпрати скоро давана за пробна матура по БЕЛ. Все още нямам достъп до пощата. Благодаря!

# 109
  • Мнения: 6 643
Про моето дете пробните и по МАТ, и по БЕЛ бяха след часовете, с пълното време и формат на НВО.
Заложени са по 3 пробни по предмет, доколкото разбрах в началото на уч.година - за всички училища сe отнасяло, но като ви чета, а и с познати като коментирам -явно всяко училище само си преценЯ Laughing

# 110
  • Мнения: 1 692
Каза, че е решил задачите на олимпиадата. Дано да са верни и да им напишат по някоя 6-ца на децата с повече точки.

# 111
  • Мнения: 2
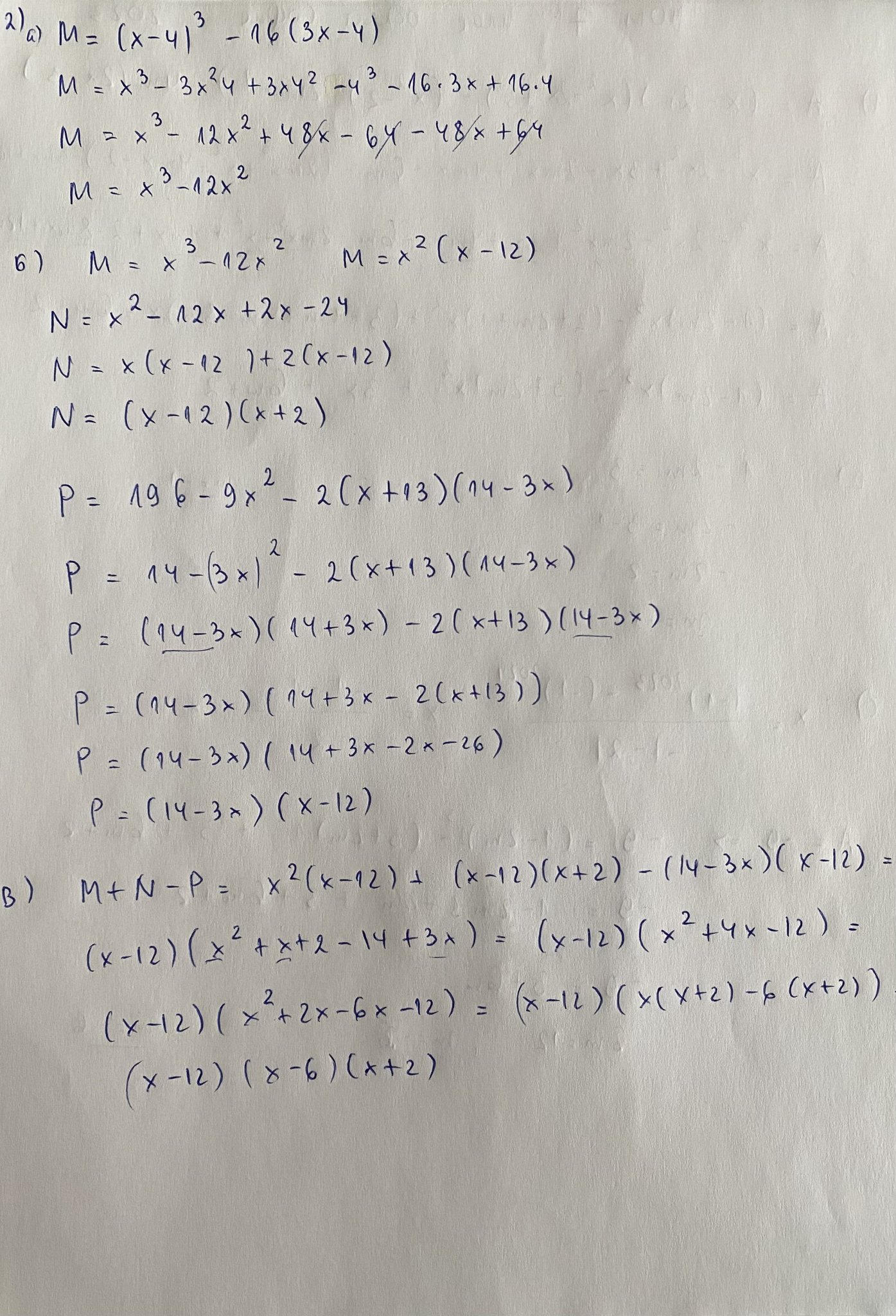
Здравейте, качвам решенията на задачите от НОМ, за проверка на нетърпеливите Wink

# 112
  • Мнения: 440
След часовете беше пробното НВО по математика днес им е изпратила още един пробен тест на имейлите в срок от два дни да го направи и да го прати ще направи сбор от двете оценки и ще пише оценка това е новост от тази сутрин на имейла която им е написала! Класното по математика им е по другата седмица и ще го правят по формата на НВО но за 45 минути час какво ще им даде идея си нямам а тя и отново беше болна ще разчита другата седмица според мен може да им даде част от първи модул и някоя задача от втори модул! Някой ако прави класно по формата на НВО математика да сподели информация!

# 113
  • Мнения: 1 959
Не сте имали геометрична задача на НОМ в Сф. Мислех, че непременно едната е такава Thinking

# 114
  • Варна
  • Мнения: 2 201
Момичета, моля някоя от вас да ми изпрати скоро давана за пробна матура по БЕЛ. Все още нямам достъп до пощата. Благодаря!
Здравейте!
Може ли и на мен да се изпрати Hands Pray
Благодаря!

# 115
  • В Страната на чудесата
  • Мнения: 413
Не сте имали геометрична задача на НОМ в Сф. Мислех, че непременно едната е такава Thinking

И аз така мислех, но нали тази година им е разместена програмата... те реално до геометрия още не са стигнали. А така, с една по-завъртяна задача от "движение" ще отсеят децата за областния кръг.
При вас каква е била геометричната задача?

# 116
  • Пловдив
  • Мнения: 678
Реално геометричната е със знания от 6 ти клас. Координатна система, триъгълник, след което завъртане по оста, за да стане конус и да му се намери повърхнина и обем мисля. Това е била 2ра задача в Пловдив

# 117
  • Мнения: 19
Здравейте! Към кои школи и пробни матури сте се насочили? Школите са много пробните изпити се засичат, защото са в събота и неделя. Какво ви води в изобора ви? Интересува ме мнение за школа "Аслан" и "Ния".

# 118
  • Мнения: 1 959
И аз така мислех, но нали тази година им е разместена програмата... те реално до геометрия още не са стигнали. А така, с една по-завъртяна задача от "движение" ще отсеят децата за областния кръг.
При вас каква е била геометричната задача?
Трудна Joy
Там е запънала моята девойка. За пирамида е била, ама тя като не е много по преразказването на задачите… Втората е била за движение. Ама, каквото е направила, такова. Малко упражнение за класната вдругиден.

# 119
  • European Union
  • Мнения: 2 042
Момичета, моля някоя от вас да ми изпрати скоро давана за пробна матура по БЕЛ. Все още нямам достъп до пощата. Благодаря!
Здравейте!
Може ли и на мен да се изпрати Hands Pray
Благодаря!
Имам последния на Междучасие. Ако никой не ви го е изпратил, ми пишете утре, че днес съм без компютър.

Общи условия

Активация на акаунт