Отговори
# 195
  • Мнения: 9 543
Използвайте свойството на ъглополовящата, че всяка точка от нея е на равно разстояние от рамената на ъгъла. (доказва се с еднакви триъгълници, ако трябва обосновка)
Пресичната точка на ъглополовящите в триъгълника се намира на равни разстояния от трите страни.

Пробвайте с тази подсказка първо Hands V

ПП:
268
Първо намерете дължините на страните от пропорциите и периметъра
270
Използвайте, че лицето на големия триъгълник е сума от лицата на три триъгълника с връх пресечната точка на ъглополовящите и с височина 2см към всяка от траните на големия триъгълник

# 196
  • софия
  • Мнения: 31 752
Моля за помощ:




Благодаря, математически богини и богове.

# 197
  • Мнения: 11
Може ли малко помощ за тази задача за 7 клас?

# 198
  • София
  • Мнения: 20 173


Последна редакция: ср, 13 мар 2024, 19:35 от пенсионирана русалка

# 199
  • Мнения: 9 258
Може ли малко помощ за тази задача за 7 клас?


CD височина и ъгъл ВАС=45, следователно ADC равнобедрен правоъгълен и CD=AD.
Триъгълник DBC - ъгъл B=x, ъгъл С=90-х.
От D си спуснете височини към АМ и ВС - Н1 и Н2.
Триъгълници CDH2 и АDH1 еднакви. Ъгъл АDM=DCB=90-x.
Триъгълник AMB. Ъгъл А=90-х, ъгъл В=х. Търсеният АМВ=180-90+х-х=90

# 200
# 201
  • в морето до колене
  • Мнения: 2 508
peneva_a, благодаря!
Като ми покажат какво да гледам и се получава... Ама сама не се сещам какво да гледам. Sad

# 202
  • София
  • Мнения: 20 173


Спирам,  че нещо много тригонометрично ми стана.. Дайте някоя геометрия Simple Smile

# 203
  • София
  • Мнения: 5 558
Доста тежко решение.

Последна редакция: ср, 13 мар 2024, 21:34 от ganis

# 204
  • София
  • Мнения: 20 173
Е, аз не съм казала никъде, че е рационално решението ми Laughing, написах  двата начина, които ми хрумнаха на  прима виста. Аз лично останах доволна, че сработи идеята с равнобедрения триъгълник. Просто ме кефи идеята дадена задача да се реши с никаква или  с малко тригонометрия Simple Smile Струва ми се по-интересно от прилагането на формули за удвоени, утроени ъгли, за произведения...Но пък, да, те вероятно това учат децата в училище в момента и точно това се чака от тях.

# 205
  • софия
  • Мнения: 31 752
Е, аз не съм казала никъде, че е рационално решението ми Laughing, написах  двата начина, които ми хрумнаха на  прима виста. Аз лично останах доволна, че сработи идеята с равнобедрения триъгълник. Просто ме кефи идеята дадена задача да се реши с никаква или  с малко тригонометрия Simple Smile Струва ми се по-интересно от прилагането на формули за удвоени, утроени ъгли, за произведения...Но пък, да, те вероятно това учат децата в училище в момента и точно това се чака от тях.
Кръстоса погледа на дъщерята 🫣 Беше изпаднала в безмълвие.

Благодаря отново за помощта 🤍

# 206
  • София
  • Мнения: 502
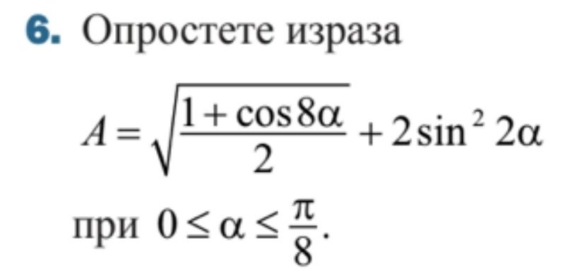
Добър ден, бихте ли помогнали с тази задача за 11. клас?

# 207
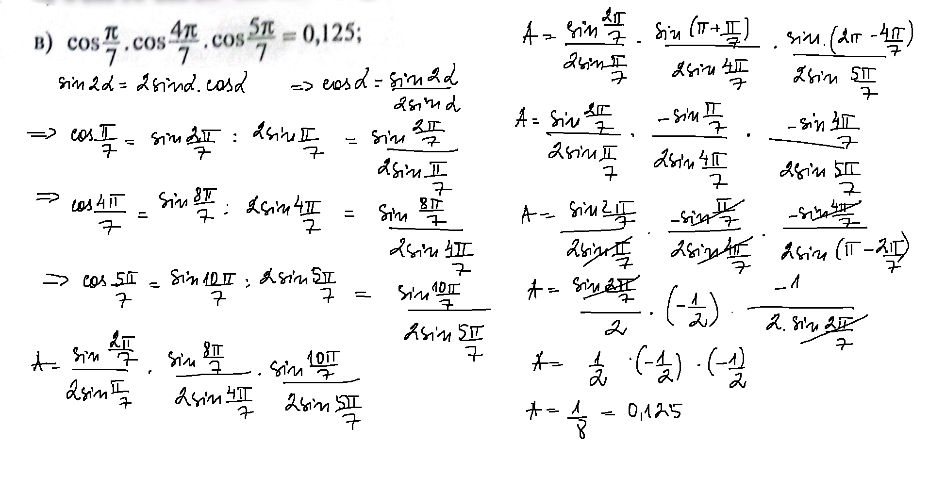
# 208
  • София
  • Мнения: 502
Много благодаря, ganis.

# 209
  • Мнения: 65
Здравейте, мога ли да помоля за помощ за задача от 8 клас

Общи условия

Активация на акаунт