Q&A
Обобщени въпроси и отговори от темата *
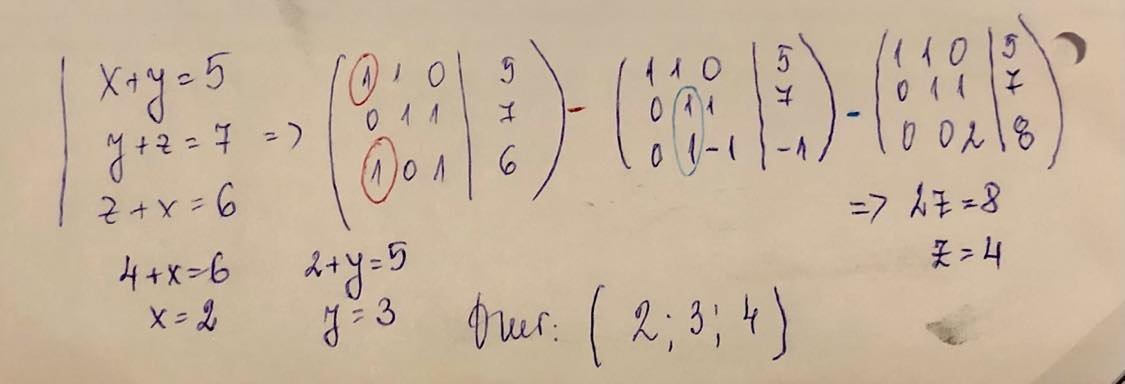
Как да решите уравнението 12 + x = 4x?
Как се изчислява дължината на медианата в триъгълник?
Как можем да намерим обиколката на четириъгълник, описан около окръжност?
* Предложените въпроси и отговори се генерират машинно от автоматизиран езиков модел на база потребителските мнения в темата. Генерираното съдържание може да е непълно, неактуално, подвеждащо или неподходящо. Вашите оценки спомагат за подобряване на модела и неговото усъвършенстване.
-
Как да решите уравнението 12 + x = 4x?
-
Как се изчислява дължината на медианата в триъгълник?
За да намерим дължината на медианата, можем да използваме разстоянието от върха до медианата. Тя разделя медиана в отношение 2:1 от върха, така че ако разстоянието от върха до медиана е 3 см, целият размер на медиана е 4,5 см, тъй като 3 см представляват 2/3 от нея. При подобни случаи аналогично изчисляваме и другите две медианни.
-
Как можем да намерим обиколката на четириъгълник, описан около окръжност?
Според теоремата за четириъгълници, описани около окръжност, сумата от противоположните страни е равна. Следователно, ако знаем, че АВ + DC = AD + BC, можем да изчислим обиколката, като вземем предвид дължините на страните. При дадени стойности за основите, можем да изчислим обиколката на четириъгълника.
-
Как можем да използваме теоремата на синуса за намиране на радиуса на окръжност?
-
Как можем да проверим математически задачи за четирицифрени числа с определени условия?


