СЕДМОКЛАСНИЦИ 2024/2025 - Тема 4 - Седмокласникът над пробни се поти, мама точките брои

  • 33 046
  • 806
  •   1
Отговори
# 540
  • у дома
  • Мнения: 8 093


Иначе едно съм забелязала: родител не трябва да обучава собственото си дете. Трудно ни е да схванем как не разбират какво им обясняваме и почваме да викаме. Чужд човек би имал повече успех, към него ще има респект и няма да им вика.
Това го потвърждавам със сигурност,с уточнението,че лично аз много добре схващам какво не разбира и не викам за това,но просто не мога да схвана как може да е от мен и толкова да го мързи...

Последна редакция: нд, 05 яну 2025, 12:38 от svetlaem

# 541
  • Мнения: 2 215
Присъединявам се към последните две мнения. Направих грешката аз да се занимавам с него по бел - ад под небето е положението. Даже в момента сме в жестока криза и се чудя какво да правя. Частен учител вече няма да мога да намеря и мисля да взема крайното решение изцяло да прекратим заниманията по предмета. Каквото научи в училище, това да е. Госпожата им е много добра, ще разчитам на това за някакъв приличен резултат в диапазона 70-80 точки.
И аз искам само да сме здрави, а нервите са необходимо условие за това Wink

# 542
  • Мнения: 3 079
За ваканцията щерката имаше около стотина задачи от госпожата по математика. Пъшка, охка, но мълчи и решава. Питам я: "Защо, миналата година, АЗ като ти дам, през уикенда десетина задачи допълнително ми крещеше и се тръшкаше?". Отговор: "Ти пак ще ме обичаш".

# 543
  • софия
  • Мнения: 220
Може ли помощ за задача 9

# 544
# 545
  • Мнения: 942
Според мен е отг.В,.
Споко, и моето не е от отличниците, борим се за макс.резултат по БЕЛ, и евентуално 60-70 т. по мат. За училищата, които уж иска, посмъртно няма да й стигнат. Но каквото, такова. Така и така три дена "решаваме" заедно задачи - т.е. аз се опитвам да обяснявам, а тя ме гледа умно - сега сме обидени и скарани.

# 546
  • Варна
  • Мнения: 2 429
За много години! Здрави нерви и търпение!
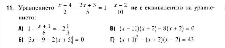
Малко помощ за тази задача:

# 547
  • у дома
  • Мнения: 8 093
За много години! Здрави нерви и търпение!
Малко помощ за тази задача:

Решавате основното уравнение и после др в отг-където е с разл решения не е еквивалентно.

По принцип се "вижда" ,че уравнението ит подточка в е от втора степен и ще има два корена,но децата не винаги виждат това.
В началото разписах и как става допълването до точен квадрат за предната задача-последните 3 год във втората част винаги се пада разлагане на квадратен тричлен.

Последна редакция: нд, 05 яну 2025, 12:35 от svetlaem

# 548
  • Варна
  • Мнения: 2 429
  Аз благодаря и той- нацупен, също. Simple Smile

# 549
  • Мнения: 423
Аз бих искала някой да разясни задачите от движение как се решават стъпка по стъпка. Да, таблица с данните, ясно. Ама като имаме две лодки, дето тръгват една срещу друга, и едната има престой, а другата не помня вече какво, и има движение по течението и срещу течението....Въпросът ми е има ли универсален начин за решаването им.

# 550
  • Мнения: 36 297
Чак универсален, не мисля...Ползва се само формулата за път е равно на скорост по време и се правят варианти в зависимост от задачата.

# 551
  • Мнения: 2 305
С риск да прозвуча лека инфантилно - обяснявала съм такъв тип задачи още в 3ти клас на принципа да си представя какво се случва и да мисли на база на това.
Пример: като плуваш срещу течението е по-трудно, съответно ще си по-бавен и скоростта ти ще е по-бавна. Обратното, ще ти е по-лесно и по-бързо по течението.
Или престой - няма как докато си в престой да има скорост и път.
Не мисля, че има конкретен механизъм, освен стъпки, които са универсални за всичките текстови задачи като например какво е дадено, какви са допустимите стойности и т.н.

# 552
  • София
  • Мнения: 2 474
Аз бих искала някой да разясни задачите от движение как се решават стъпка по стъпка. Да, таблица с данните, ясно. Ама като имаме две лодки, дето тръгват една срещу друга, и едната има престой, а другата не помня вече какво, и има движение по течението и срещу течението....Въпросът ми е има ли универсален начин за решаването им.
Ивчето, това ми се струва доста систематизирано, дано да ви е полезно!
Най-важното в да се запази фокус - какво е изразено с х и какво се търси всъщност!



# 553
  • София
  • Мнения: 3 946
При задачите за движение следваме една и съща схема.
Таблица, в която за колонки имаме превозните средства. Във всяка коланка важи формулата S=V*t.
Чертеж за пътя. От него разбираме какво уравнение да съставим:
- ако са тръгнали от едно и също място и да стигнали до едно и също, пътищата им са равни
-ако са тръгнали един срещу друг и са се срещнали, то сборът от пътищата им е равен на общия.
- ако са тръгнали един срещу друг и в един момент са на 30км, то сборът от пътищата им + тези 30 е равно на общия път. Има вариант да са разминали и да са се отдалечили на 30 км. Тогава общият път е сборът от пътищата минус тези 30 км.
-когато тръгват по различно време трябва да означим едното време с х, а другото до изразим чрез х. Пример: който е тръгнал с 30 мин по-късно, ще има време х -0.5 ( времето винаги е в часове).

Последна редакция: пн, 06 яну 2025, 12:46 от Грета Ей

# 554
  • Мнения: 2 305
И като се поусложни малко задачата удрят на камък като търсят типологизиране.
Според мен е по-важно да стигат сами до извода кога да извадят или кога да прибавят, а не да учат готови модели. Не, че не може, но до един етап и после остава от този предмет едно голямо нищо и много решени и наизустени, но неразбрани задачи.

Общи условия

Активация на акаунт