Резултат при болест на Даун - тема 3

  • 134 575
  • 1 055
  •   2
Отговори
# 825
  • Мнения: 22 903
Нищо страшно няма, според е добре да се направи неинвазивен тест, за да си напълно спокойна! Както и ФМ при доказан специалист (Не знам при кого си правила досега?). Сигурна съм, че бебето ще ти е здраво. Успех!

# 826
  • София
  • Мнения: 40 958
Моля пуснете нова тема.

# 827
  • Мнения: 10
Здравейте.Има ли нещо притеснително?


# 828
  • гр.Пловдив
  • Мнения: 4 291
Не,изобщо не се тревожете,далеч сте от рисковите резултати

# 829
  • Мнения: 9
Добро утро, момичета!
Вчера ми излязоха резултатите от БХС и не са добри, следящата лекарка препоръча Нифти тест, който е 1600лв и се праща до Пекин. Само маркерите за Даун са ми лоши.

Някой може ли да ми каже каква е разликата между пренататест и нифти, освен че пренатата може да се пусне евтин (за 680лв) само за Даун, докато нифти-то няма опция за 1 от трите хромозомни аномалии и следователно цените започват от 1600 нагоре?

Да правя ли прената на своя глава или да търся пари за нифти?

# 830
  • Мнения: 309
Аз не знам какво да те посъветвам. Не знам на какъв принцип лекарите препоръчват точно даден тест. На мен д-р Сигридов ми препоръча Верасити, който пуснах в бодимед лабораторията, а те мисля, че го изпращат в Кипър. Цената беше около 800-900лв за трите тризомии, и тъй като цената ме устройваше пуснах него и не съм разглеждала другите. Всички тестове са с 99,8-99,9 сигурни резултати. Аз на твое място бих проучила нещата и бих отишла и на второ мнение, тъй като разликата в парите е доста. Но при всички положения си направи теста. Надявам се някой по-запознат да се включи. На какъв принцип се препоръчват различните тестове.
Желая ти безпроблемна бременност и всичко да е наред !

# 831
  • Бургас
  • Мнения: 3 962
Моята АГ ми препоръчваше Vision, просто защото работеше с тях / а сигурно получава и процент за това/.

# 832
  • Мнения: 1 514
Аз съвсем скоро трябва да си получа резултатите от неинвазивния. Направих го , защото съм на 40г и адски ме е страх. Това е втора бременност, с едно нормално живородено дете преди 10г.
Аз едно не мога да разбера- значи всички тези синдроми и малформации са , защото яйцеклетката е била некачествена и от там при деленето на клетката са се получили повечето хромозомни аномалии. Но навсякъде чета, че около 70% от тези бременности завършват със спонтанен аборт до 12 г.с. и много малка част преживяват по-натам и се раждат живи бебета. Явно някой от бременностите все пак се задържат щом има все още аномалии, които са открити в по-късен етап.

# 833
  • Мнения: 2 449
Не само яйцеклетката, но и сперматозоида може да е бил некачествен.
И да някои се задържат. Има много деца родени със синдром на Даун. А аз имам аборт в 13/14 седмица, заради симдром на Патау. До последно беше живо бебчето. 🥺

# 834
  • Мнения: 3 160
Здравейте искам да попитам дали има или сте чували за жени,които са правили  всички морфологии,слядали са при двама АГ-та,имат неинвазивен тест Вижън и всичко съответно е било наред,но след като родят детските лекари се съмняват че бебето има Даун. Бременоста е зачената инвитро и следенето е било стриктно. Вече седмица откакто съм родила и се побъркавам. Моето бебе че няма такива външни белези за Даун,но от неонатологията в Сливен ми казаха че имат предположения че е с лека форма на Даун. Какво означава лека форма? То нали е нарушение в хромозомата,в смисъл допълнение в хромозома 21! Утре сме при друг специалист да видим какво ще ни кажат. Не мога да си го обесня двама АГ та посещавах,отделно бях за задържане и последната седмица ходих при друг АГ нокой нищо такова не е видял. Отделно имам и Вижън тест. Мога да кача снимки на моята бебка,но честно казано аз не виждам прилики. Докторите съдят че очичките и били близко разположени и има голяма фонданела на главата,но тя се роди и големичка 4.100кг. Благодаря предварително на включвлуте се,но просто съм в шок от всичко случващо се!

# 835
  • Мнения: 4 924
Чувала съм за мозаечен Даун, който може да има по-малко признаци, да не би това да са имали предвид под "лека форма"?
Фонтанелата не съм чувала да зависи от теглото на бебето.
Опитайте да не се притеснявате, тестовете по време на бременност не са със 100 процента точност, но и неонатолозите сега не могат да ви кажат със сигурност и може да грешат. Отидете на специалист, ако се наложи, ще направи допълнителни изследвания. Успех!

# 836
  • Мнения: 3 160
Чувала съм за мозаечен Даун, който може да има по-малко признаци, да не би това да са имали предвид под "лека форма"?
Фонтанелата не съм чувала да зависи от теглото на бебето.
Опитайте да не се притеснявате, тестовете по време на бременност не са със 100 процента точност, но и неонатолозите сега не могат да ви кажат със сигурност и може да грешат. Отидете на специалист, ако се наложи, ще направи допълнителни изследвания. Успех!
Ами не точно думите бяха лека форма на Даун! Фонтанелата изтъкват че е по голяма,защото главичката и е голяма на бебка. В смисъл обиколката е 35 см,което си е ОК за мен. Синът ми го родих с обиколка на глава 37 см.Този мозаечен Даун не се ли отчита в тези премълчи тестове? Утре сме на специалист. Опитвам се да се успокоя ама някакси не става. Пет години я чакаме нашата буба и съм била на прегледи на две седмици и съм изследвала какво ли не и тестове и да има такъв пропуск😢🤷♀Мисля да и пуснем пълния набор от хромозоми за да се види точно. То е ясно че каквото е решил Бог това ще е. Ние няма да си я оставим,но ми е чудно как толкова специалисти и тест ще имат пропуски? И как неонатолозите съдят по едни очи и прочие?

# 837
  • Мнения: 4 924
35см  е нормална обиколка на новородено, 37см е голяма. Странно е, че са ви го казали.
Единственият сигурен тест, доколкото ми е известно, е амниоцентезата, пренаталните са с 98-99 процента точност, ако не се лъжа.
Може и да не е Даун, може да е просто някаква особеност, стискам палци!

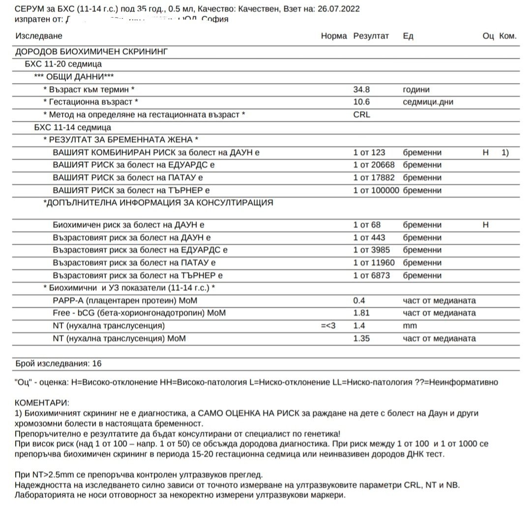
# 838
  • Мнения: 27


Здравейте,
Днес ми излезнаха резултатите от скрининга и съм много притеснена. Много ли са високи? Има ли мамита,които са имали такива резултати и какво би следвало да направя? 14г.с съм сега ..
Total b-HCG - H - 80738,66
AFP - H - 14,14

# 839
  • Мнения: 22 903
Сисилия, резултатите са ти от някаква лаборатория, от която няма как да разберем почти нищо. Както и да опитвам - не се разбира. Трябва да ти ги разтълкува някой оттам, ние тук няма как да успеем. На нормалните изследвания си пише всички стойности и рискове, твоето е като някаква загадка... ако някой го разбере, да пише.

Общи условия

Активация на акаунт