Q&A
Обобщени въпроси и отговори от темата *
Как мога да увелича площта на правоъгълник с 36%, като същевременно поддържам пропорциите му?
Как се решава задачата за намиране на стойностите на a, b и c в уравнението a^2 + 10a - 75 = 0?
Как мога да намеря площта на триъгълник, като използвам две страни и един ъгъл, и как мога да намеря ъгъла на триъгълник, ако знам една страна и два ъгъла?
* Предложените въпроси и отговори се генерират машинно от автоматизиран езиков модел на база потребителските мнения в темата. Генерираното съдържание може да е непълно, неактуално, подвеждащо или неподходящо. Вашите оценки спомагат за подобряване на модела и неговото усъвършенстване.
-
Как мога да увелича площта на правоъгълник с 36%, като същевременно поддържам пропорциите му?
За да увеличите площта на правоъгълник с 36%, трябва първо да определите процента увеличение за всяка страна. Тъй като площта се увеличава поради увеличаване на дължината и ширината, можем да използваме формулата за процентно увеличение: (крайна стойност - първоначална стойност) / първоначална стойност * 100. За по-малката страна увеличението е 60%, така че новата дължина е 1,6 пъти по-голяма от първоначалната. За по-голямата страна намалението е с 15%, така че новата ширина е 2,55 пъти по-голяма от първоначалната. Следователно площта на правоъгълника се увеличава с 36%. Важно е да се внимава при изчисленията и да се следи логиката на увеличаването и намаляването на страните.
-
Как се решава задачата за намиране на стойностите на a, b и c в уравнението a^2 + 10a - 75 = 0?
Уравнението a^2 + 10a - 75 = 0 може да бъде решено чрез разлагане на квадрата върху двучлен, което е подходящ метод за ученици в гимназията. След разлагане се получават две скоби, които се равняват на нула и така се намират стойностите на a. Този метод е подходящ за ученици в този клас, като е важно да обърнат внимание на правилното разлагане на уравнението.
-
Как мога да намеря площта на триъгълник, като използвам две страни и един ъгъл, и как мога да намеря ъгъла на триъгълник, ако знам една страна и два ъгъла?
За да намерите площта на триъгълник, използвайте формулата за лице на триъгълник: S = 0,5 * a * b * sin(C), където 'a' и 'b' са двете страни, а 'C' е ъгълът между тях. Тази формула е подходяща за ученици в 10-ти клас. За да намерите ъгъла на триъгълник, когато знаете една страна и два ъгъла, използвайте теоремата на синуссите. Формулата е a/sin(A) = b/sin(B) = c/sin(C), където 'a', 'b' и 'c' са страните на триъгълника, а 'A', 'B' и 'C' са съответните ъгли. Този метод е подходящ за ученици в 7-ми клас и може да се използва за намиране на ъгъла на триъгълник.
-
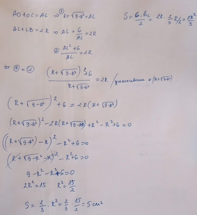
Как да намерите радиуса на вписаната полукръг в правоъгълен триъгълник?
-
Какви са описаните съобщения във форума?




