Отговори
# 240
  • Мнения: 2 630
Просто ми стана смешно. Или децата трябва да разработят варианти. Кой прав, кой полегнал.

# 241
  • Мнения: X
Здравейте,

Имам нужда от помощ за задача от седми клас:

Каква е вероятността трицифрено цисло с неповтарящи се числа  0, 1,3, 4, 5, 6 да се дели на 5?

# 242
  • София
  • Мнения: 20 155
Интересно... Задача от комбинаторика в 7 клас. Тук все още не са учени формули за комбинации, вариации, пермутации, така че вероятно залагат на леко хамалско броене.

За да се дели трицифреното число на 5, следва то да завършва или на 5, или  на 0.

Нека разгледаме случая с 5.
Щом петицата е заета, на първите две позиции могат да се въртят на пръв поглед 5 цифри. Ама не е съвсем така, понеже на позиция 1, тази на стотиците, не може да стои цифрата 0.

105, 135,145, 165
305, 315, 345, 365
405, 415, 435, 465
605, 615, 635, 645
 

Тоест дотук имаме  16 благоприятни  изхода.

При случая с цифра на единиците 0 вариантите ни са:
130,140,150, 160
310,340,350, 360
410, 430, 450,460
510, 530, 540,560
610, 630, 640, 650
Появиха се  още 20 благоприятни изхода. Сборно значи, че са 36.

Сега остава въпросът колко са всички възможни трицифрени числа, съставени с дадените цифри без повторение.

По логиката с петицата горе можем да съставим по 16 трицифрени с цифра на единиците  съответно 1, 3, 4, 5, 6.
=> 5.16= 80 такива числа
80+20 (тези, завършващи на 0)=100 числа общо.

Р=благоприятни/всички = 36/100= 9/25

Последна редакция: ср, 20 май 2020, 17:19 от пенсионирана русалка

# 243
  • Мнения: X
Много, много благодаря!

# 244
  • Мнения: 51
Здравейте моля за вашата помощ за две задачи за 7 клас:
1.   Два различни разтвора чай, съдържащи липов цвят и лайка имат общо тегло      50 ml. В първия разтвор количествата на липов цвят и лайка са в отношение 3 : 2, а във втория лайката е 70%. След смесването им се получава нов разтвор, който съдържа 46% лайка. Да се намери:
А) Колко милилитра е бил първият разтвор?
Б) Колко още милилитра концентрат лайка трябва да се добавят към получения разтвор, за да се получи разтвор съдържащ 40% липов цвят?


2. Даден е равнобедрен правоъгълен триъгълник АВС (∢C = 90⁰ ) Върху катета ВС е избрана произволна вътрешна точка М, а върху продължението на катета АС е взета точка N така, че С е между А и N и CN = CM. Правата АМ пресича BN в точка Р.
А) Докажете, че АР е височина в NАВ.
Б) Aко ∢CBN = 30⁰, BM = a и СМ = b, изразете чрез а и b дължината на   АР.

# 245
  • Мнения: 983
Здравейте,  имам нужда от помощта ви



Задачите са за 7 клас от НВО 7 клас на Анубис Тест 12





# 246
  • Мнения: 434
Здравейте, някой има ли решенията на задачите от поправителната сесия на ДЗИ, проведена на 29.08.2019г? Отговорите ги намирам, но ми трябват решенията.

# 247
  • София
  • Мнения: 109
Здравейте моля за вашата помощ за две задачи за 7 клас:
1.   Два различни разтвора чай, съдържащи липов цвят и лайка имат общо тегло      50 ml. В първия разтвор количествата на липов цвят и лайка са в отношение 3 : 2, а във втория лайката е 70%. След смесването им се получава нов разтвор, който съдържа 46% лайка. Да се намери:
А) Колко милилитра е бил първият разтвор?
Б) Колко още милилитра концентрат лайка трябва да се добавят към получения разтвор, за да се получи разтвор съдържащ 40% липов цвят?


2. Даден е равнобедрен правоъгълен триъгълник АВС (∢C = 90⁰ ) Върху катета ВС е избрана произволна вътрешна точка М, а върху продължението на катета АС е взета точка N така, че С е между А и N и CN = CM. Правата АМ пресича BN в точка Р.
А) Докажете, че АР е височина в NАВ.
Б) Aко ∢CBN = 30⁰, BM = a и СМ = b, изразете чрез а и b дължината на   АР.

# 248
  • София
  • Мнения: 109
Здравейте моля за вашата помощ за две задачи за 7 клас:
1.   Два различни разтвора чай, съдържащи липов цвят и лайка имат общо тегло      50 ml. В първия разтвор количествата на липов цвят и лайка са в отношение 3 : 2, а във втория лайката е 70%. След смесването им се получава нов разтвор, който съдържа 46% лайка. Да се намери:
А) Колко милилитра е бил първият разтвор?
Б) Колко още милилитра концентрат лайка трябва да се добавят към получения разтвор, за да се получи разтвор съдържащ 40% липов цвят?


2. Даден е равнобедрен правоъгълен триъгълник АВС (∢C = 90⁰ ) Върху катета ВС е избрана произволна вътрешна точка М, а върху продължението на катета АС е взета точка N така, че С е между А и N и CN = CM. Правата АМ пресича BN в точка Р.
А) Докажете, че АР е височина в NАВ.
Б) Aко ∢CBN = 30⁰, BM = a и СМ = b, изразете чрез а и b дължината на   АР.

Последна редакция: чт, 21 май 2020, 10:33 от ritun

# 249
  • Мнения: 51
Благодаря!

# 250
  • Мнения: 28
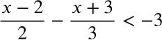
Намерете най-голямото цяло число, което е решение на неравенството

Отговорът е -6 или 5

# 251
  • Мнения: 333



Момичета стигам до 5 мисия и получавам уравнение което няма решение. Съжалявам , но пак Ви моля за помощ.

# 252
  • Мнения: 66
Здравейте! Някой може ли да помогне с тези задачи?



2)б
3 задача и 4.

Последна редакция: чт, 21 май 2020, 16:10 от E_m_

# 253
  • Мнения: 28
Може ли помощ за следната задача за 4 клас е.
Едно число ще наричаме възходящо, ако всяка негова цифра отляво надясно след първата е по-голяма от предходната. Колкобна брой са възходящите четирицифрени числа по-големи от 5000?

Не мога да разбера, дали 5-цата влиза във възходящият ред. Дават отговор 5.

# 254
  • Мнения: 6 924
При зад 3 не съм обяснила, че за да се дели на 24,трябва да се дели на 4 и 6.




Другата по-късно

Последна редакция: чт, 21 май 2020, 17:26 от W

Общи условия

Активация на акаунт