Отговори
# 360
  • у дома
  • Мнения: 8 126
Рукалке,ако знаеш на колко недомислици съм се нагледала на контр-сборник с тях мога да издам-заглавие Задачи,които не трябва да се дават на контролна работа по математика.

# 361
  • София
  • Мнения: 20 178
Рукалке,ако знаеш на колко недомислици съм се нагледала на контр-сборник с тях мога да издам-заглавие Задачи,които не трябва да се дават на контролна работа по математика.

Прибави над тази с прогресията още една от същия тест в помагалото си, сега  разгледах в цялост пуснатото..

 Намерете сбора от коренитЕ на уравнението:

√ (4х-1) = √ (х+1) +1

Кой ще да е този сбор, щом има само един корен уравнението?Flushed

От 4 задачи - две неуместни/грешно зададени..

# 362
  • Мнения: 2 509
Пълен провал на класната по математика....лаптопа ни е стар и му се е изключил почти накрая.Почнал през телефона,по едно време чувам,че реве.Не му стигнало времето,незнаел какво да прави...Госпожата разбрана,чувам,че и други деца имали проблеми с теста,верния отговор го нямало...Да видим какво ще реши в понеделник.
А бе пълна пародия е това ДО,стресираха ни децата...

# 363
  • Русе
  • Мнения: 12 324
При нас по математика ги побърква и на присъствено. Среден успех на класа в езикова гимназия за година под 4. Изобщо това е успеваемостта на всички при тази учителка. Никога не им стига времето, а и като се замотат с някоя задача и не си организират добре, често стигат до 2 и 3. В 8 клас 10% от випуска почти беше на поправителен изпит по математика.
  По тоз повод една от задачите, които беше дала не получавам отговор, който е посочила

# 364
  • у дома
  • Мнения: 8 126
Аз получавам 2 ,ама го смятам наум,без да пиша,та може и да греша.

Последна редакция: пт, 18 дек 2020, 20:11 от svetlaem

# 365
  • Русе
  • Мнения: 12 324
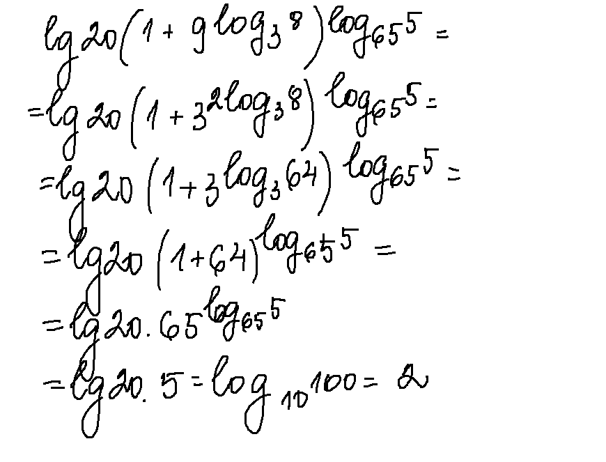
получавам 5lg20 и поне това свойство, което гледам че са учили илиза че e lg(20 на степен 5), освен ако няма друго такова свойство за десетичен логаритъм,където 5 се умножана по 20, ама и с калкулатор го смятам и не получавам 2, какъвто отговор е дала и учителката

# 366
  • Мнения: 3 606
Липсват скоби. lg ако е за целия израз, ще се получи lg100 и ще е равно на 2.

# 367
  • София
  • Мнения: 20 178
получавам 5lg20 и поне това свойство, което гледам че са учили илиза че e lg(20 на степен 5), освен ако няма друго такова свойство за десетичен логаритъм,където 5 се умножана по 20, ама и с калкулатор го смятам и не получавам 2, какъвто отговор е дала и учителката

# 368
  • Русе
  • Мнения: 12 324
Задачата я рeшавам без проблеми. Обаче тъй като няма скоби
смятам lg20 * ..... израза и получавам lg20  * 5 и се получава съвсем друго нещо
Допустим ли е запис без скобите , защото не е все едно
lg20*a и lg(20*a)

# 369
  • София
  • Мнения: 20 178
Задачата я рeшавам без проблеми. Обаче тъй като няма скоби
смятам lg20 * ..... израза и получавам lg20  * 5 и се получава съвсем друго нещо
Допустим ли е запис без скобите , защото не е все едно
lg20*a и lg(20*a)

Според мен още в задаването на  условието си личи, че  целият израз  горе представлява b при логаритъм с основа а=10, а не  отделно десетичен логаритъм от 20, умножен по някакъв отделен множител...Явно и другаде съм го срещала като запис така  и автоматизрано го сметнах. Но иначе, да, най-прецизно би било да има средни скоби пред 20 и в края.

# 370
  • Русе
  • Мнения: 12 324
"Личи си" е едно, ясно и недвусмислено ,каквото трябва да бъде е друго. Ако пишеш софтуер и го зададеш по този начин, машината няма да го отличи. Освен ако няма правило след log, всичко до знак +,-,= да е под знака на log. Може и да ми е деформирано мисленето, но на мен не ми пролича и си ги тълкувах като множители, но и аз не решавам училищни задачи често.

# 371
  • Мнения: 6 961
Къде изчезна интересната задача с равнобедрения триъгълник? Снощи я видях много късно и ми стана интересна, а сутринта я няма.
Дори да сте успели да я решите, покажете я отново.

# 372
  • Мнения: 272
Може ли помощ за тази задача за 4 кл.

# 373
  • Мнения: 6 955
Къде изчезна интересната задача с равнобедрения триъгълник? Снощи я видях много късно и ми стана интересна, а сутринта я няма.
Дори да сте успели да я решите, покажете я отново.
Не, не беше публикувано решение на задачата от снощи. Прерисувах я по спомен, но мисля, че това беше даденото:
Скрит текст:
А, и също така беше уточнено, че е за 7 клас, мисля.



dobrata feia, от първото дадено, че ако чуеш гръмотевицата след 3 секунди, то мълнията е паднала  на приблизително 1000 метра, може да се изведе какво разстояние покрива звукът за 1 секунда, тоест скорост:
vзвук = 1000/3 м/сек.
Сега, с това уточнение, че било около 1000 метра, не знам дали се опитват да им намекнат, че в случая могат да ги представят като 999 м, за да се разделят точно на 3 Thinking и да се получи 333 м/сек.
Честно казано, малко прекалена съобразителност ми се струва като за 4 клас, но може би вече са се срещали с подобни разсъждения. Не знам...

Последна редакция: нд, 20 дек 2020, 15:41 от Barbabeau

# 374
  • Мнения: 3 606
Къде изчезна интересната задача с равнобедрения триъгълник? Снощи я видях много късно и ми стана интересна, а сутринта я няма.
Дори да сте успели да я решите, покажете я отново.
Реших я, по-доста измислен начин, а съм убедена, че има елегантно решение и аз чакам да го видя.

Общи условия

Активация на акаунт