Отговори
# 450
  • Мнения: 11 608
Момичета благодаря ви.
Специални благодарности и на Светла, която ми ги изпрати на лични!

# 451
  • София
  • Мнения: 2 831
Благодаря много, Русалке Simple Smile!

# 452
  • София
  • Мнения: 1 292
Здравейте!
Може ли помощ за тази задача? За пети клас.
Благодаря предварително!

# 453
  • Мнения: 6 955
а) 3/2 + 4/2 + 6/2 = 13/2

б) 13/2 = 6 1/2  => Майката е разделила най-малко 7 десерта.

# 454
  • София
  • Мнения: 1 292
а) 3/2 + 4/2 + 6/2 = 13/2

б) 13/2 = 6 1/2  => Майката е разделила най-малко 7 десерта.
Благодаря!

# 455
  • Мнения: 580
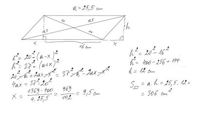
Здравейте и за много години! Може ли помощ за задачa 3 oт 11  клас е?    
Имам идея как да я реша, но не ми се получава отговора.

Последна редакция: нд, 03 яну 2021, 21:42 от titin_ka

# 456
  • Мнения: 9 258
titin_ka, какъв отговор е посочен?
Аз получавам 306, но използвах калкулатор. Не знам това позволено ли е.
Не се сещам за елегантен начин без хамалски сметки.
Каква е вашата идея за решение.

# 457
# 458
  • Мнения: 6 955
И аз получих 306. Решавам я с Питагорова теорема. Височината е 12. 🤷
Добавям моето решение.
Скрит текст:


Русалке, това е много готино! Изобщо бях я бях забравила тази формула и нямаше да се сетя. Hug
П.П.
Извинявай, но защо

Според същата тази Херонова формула няма ли SAOB = SBOC да е възможно само, ако AB = BC? Това прави от успоредника ромб, а пък той не е...
Странно ми е, понеже всички получаваме същия резултат и явно е верният, но нещо ми се губи.
А, не, сама си отговорих. Защото p няма да е същото число...

Последна редакция: пн, 04 яну 2021, 14:05 от Barbabeau

# 459
  • Мнения: 9 258


Русалке, това е много готино! Изобщо бях я бях забравила тази формула и нямаше да се сетя. Hug
П.П.
Извинявай, но защо



Диагоналите на успоредника се разполовяват - следователно лицето на триъгълника ABD е S = BD*височината от А делено на две. Лицата на триъгълниците AOB и AOD = 1/2BD*височината от А делено на две = 1/2S.

И аз я бях тотално забравила Хероновата формула.
Русалка, благодаря Bowtie

# 460
  • Мнения: 6 955
Диагоналите на успоредника се разполовяват - следователно лицето на триъгълника ABD е S = BD*височината от А делено на две. Лицата на триъгълниците AOB и AOD = 1/2BD*височината от А делено на две = 1/2S.

И аз я бях тотално забравила Хероновата формула.
Русалка, благодаря Bowtie
Динчо, благодаря! Това е така. Hug
Или още от формулата за лице на триъгълник по две страни и ъгъл между тях
S = 1/2 * a * b * sin(alpha)
sin(alpha) = sin(180 - alpha)
...
Моят проблем беше, че се заплеснах по Хероновата формула Heart Exl и си въобразих, че щом и за двата триъгълника имаме известни страни 10 и 18,5, няма ли формулата да е вярна, само ако и третата страна е същата?!
Изобщо забравих да отчета, че се променя цялото число p. Мислех само за (p - c), все едно р остава същото. Но хубаво си водих тук диалог сама известно време и по някое време се сетих. Joy

# 461
  • Мнения: 11 608
Момичета, може ли помощ с тези задачи:
цифрата на единиците на двуцифрено число е с 3 по -малка от цифрата на десетиците му. Намерете числото, ако сборът му с числото, записано със същите цифри в обратен ред е 55.

Намерете две последователни нечетни числа, разликата от квадратите на които е 88

# 462
  • Мнения: 9 258
10х +х-3 +10(х-3) + х = 55
22х=88
х=4
41 и 14

(х+2)^2 - х^2=88
(х+2-х)(х+2+х)=88
2х+2=44
х=21
21 и 23.

Последна редакция: пн, 04 яну 2021, 18:20 от Dincho

# 463
  • Мнения: 11 608
Динчо, първата задача не я разбирам въобще. В смисъл как сте съставили уравнението,

# 464
  • Мнения: 9 258
Числото на десетиците е х. Числото на единиците х-3.
Числото е 10*х + х-3.
Например 21 - 2*10 +1
33 - 3*10 +3.
Сега ясно ли е?

Общи условия

Активация на акаунт