Отговори
# 585
  • Мнения: 1
Може ли някой да ми помогне с тази задача. За девети клас е. Благодаря! https://prnt.sc/x4n1mn Nerd Nerd Nerd

# 586
  • София
  • Мнения: 2 828
Може ли някой да ми помогне с тази задача. За девети клас е. Благодаря! https://prnt.sc/x4n1mn Nerd Nerd Nerd
Ето едно от възможните решения - с почленно изваждане се тръгва, което е равносилно да умножим по (-1) второто уравнение и почленно да съберем.

Последна редакция: пн, 18 яну 2021, 18:51 от Sunny bunny

# 587
# 588
  • Мнения: 6
Много Моля за решение на следните три задачи за 11клас:
1. В трапец ABCD  с основи  AB=16, CD=5 и височина h=12, намерете лицата на триъгълниците AOB, BOC, COD, DOA
2. В равнобедрен трапец с малка основа b диагоналът сключва с нея ъгъл (алфа), а с бедрото - (бета).
Намерете голямата основа, бедрата и диагоналите на трапеца.
3. Около окръжност е описан равнобедрен трапец ABCD с основи AB=8 и CD=2. Намерете лицето на трапеца.

Последна редакция: вт, 19 яну 2021, 09:44 от r123

# 589
  • Мнения: 258
Зад.40: Лицето на околната повърхнина на прав кръгов цилиндър е S,а лицето на осното му сечение e Q.Намерете отношението S:Q.

Прав кръгов цилиндър с лице  на повърхнината (пълната) 96п кв.дм е описан около кълбо (кълбото се допира до основите на цилиндъра и околната му повърхнина).Намерете обема на кълбото.

Може ли някои да помогне с тези две задачи.

Последна редакция: вт, 19 яну 2021, 09:48 от sonja12

# 590
  • Мнения: 11 490
Момичета, може ли да ми помогнете със следните задачи:

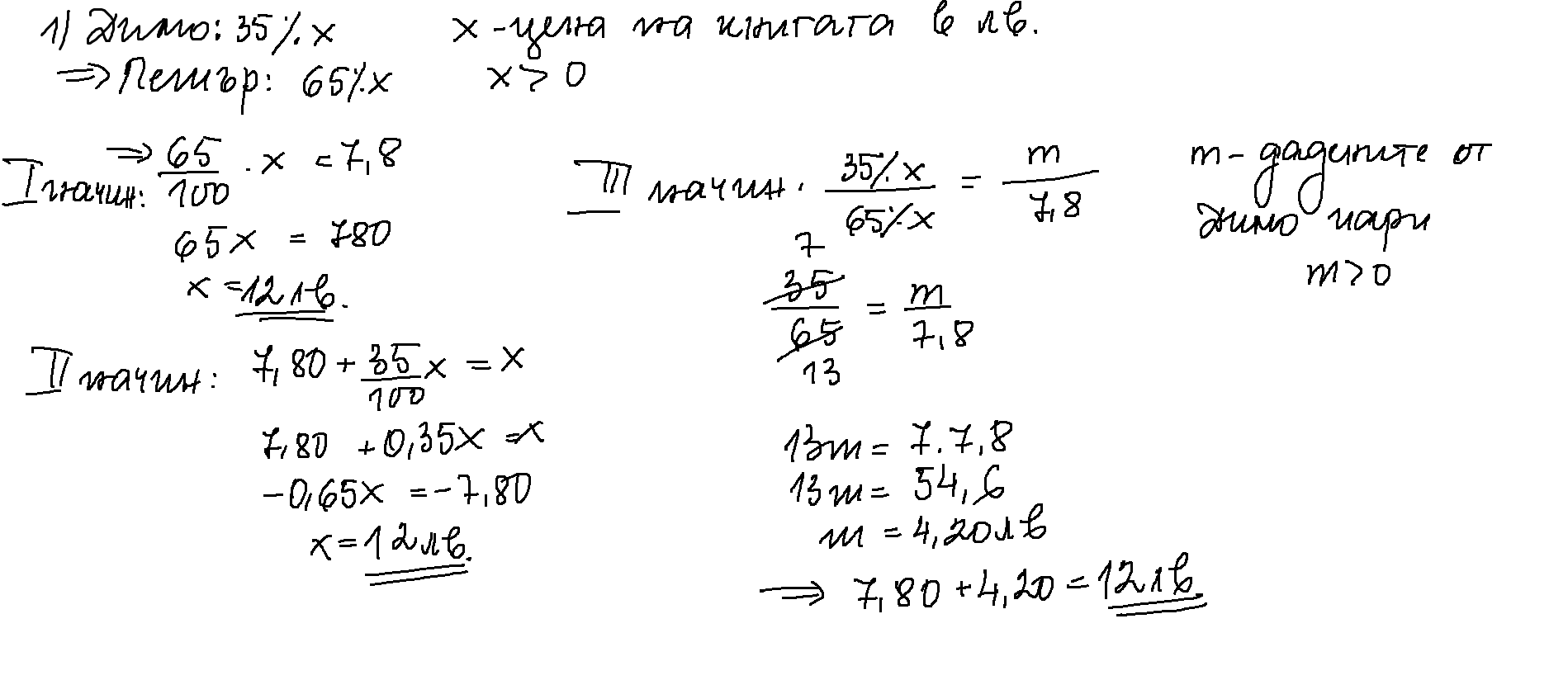
Петър и Димо са купили нова книга. Петър платил 7,80 лв., а Димо 35% от цената на книгата. Колко лева струва книгата?

Единият от четири ъгъла, образувани от две пресекателни прави, е с 240 градуса по-малък от сбора на останалите три ъгъла. Мерките на всеки от четирите ъгъла са:

# 591
# 592
  • Мнения: 9 542
Момичета, може ли да ми помогнете със следните задачи:

Петър и Димо са купили нова книга. Петър платил 7,80 лв., а Димо 35% от цената на книгата. Колко лева струва книгата?

Единият от четири ъгъла, образувани от две пресекателни прави, е с 240 градуса по-малък от сбора на останалите три ъгъла. Мерките на всеки от четирите ъгъла са:
Петър е платил 7,80лв, което е (100-35)% от цената
0,65*х=7,80
х=7,80/0,65=12лв

Пресичането на 2 прави образува 4 ъгъла, като два по два кръстните са равни, а сумата на съседните е 180о.
х+240о=2*(180о-х)+х
х+240о=360о
х=60о

# 593
  • Мнения: 11 490
Благодаря момичета. Много сте полезни и сте много умни. Искрено ви се възхищавам.
И си пожелавам поне малкия син да е като вас. С големия ще го мъчим живота, поне до матурата.

# 594
  • Мнения: 258
Може ли някой да помогне  и да обясни  задачата  ми? Sad
Прав кръгов цилиндър с лице  на повърхнината (пълната) 96п кв.дм е описан около кълбо (кълбото се допира до основите на цилиндъра и околната му повърхнина).Намерете обема на кълбото.

Последна редакция: вт, 19 яну 2021, 16:40 от sonja12

# 595
  • Мнения: 9 542
Може ли някой да помогне  и да обясни  задачата  ми? Sad
Прав кръгов цилиндър с лице  на повърхнината (пълната) 96п кв.дм е описан около кълбо (кълбото се допира до основите на цилиндъра и околната му повърхнина).Намерете обема на кълбото.
Радиуса на вписаното кълбо е равен на радиуса на основата на цилиндъра и едновременно с това е равен на 1/2 от височината на цилиндъра (h=2r).
96П=2*Пr2+2Пr*2r
Делим на 2П
3r2=48
r2=16
r=4дм

Vk=(4/3)Пr3=256П/3

# 596
  • Мнения: 6
Извинявам се, може ли поне една от трите?? Sweat

Много Моля за решение на следните три задачи за 11клас:
1. В трапец ABCD  с основи  AB=16, CD=5 и височина h=12, намерете лицата на триъгълниците AOB, BOC, COD, DOA
2. В равнобедрен трапец с малка основа b диагоналът сключва с нея ъгъл (алфа), а с бедрото - (бета).
Намерете голямата основа, бедрата и диагоналите на трапеца.
3. Около окръжност е описан равнобедрен трапец ABCD с основи AB=8 и CD=2. Намерете лицето на трапеца.

# 597
  • Мнения: 9 542
Извинявам се, може ли поне една от трите?? Sweat

Много Моля за решение на следните три задачи за 11клас:
1. В трапец ABCD  с основи  AB=16, CD=5 и височина h=12, намерете лицата на триъгълниците AOB, BOC, COD, DOA
2. В равнобедрен трапец с малка основа b диагоналът сключва с нея ъгъл (алфа), а с бедрото - (бета).
Намерете голямата основа, бедрата и диагоналите на трапеца.
3. Около окръжност е описан равнобедрен трапец ABCD с основи AB=8 и CD=2. Намерете лицето на трапеца.
1. триъгълниците  AOB и COD са подобни с коефициент на подобност 16:5, съответно частите от височината са 16/21*12 и 5/21*12. Намирате лицата по страна и височина срещу нея.
SBOC = SABC- SAOB и по същия начин на DOA

3. Щом трапеца е описан около окръжност, то сумата на бедрата е равна на съмата на основите. Намирате бедрото и с питагорова теорема височината от триъгълника, който се образува с острия връх, височината и бедрото.

Последна редакция: вт, 19 яну 2021, 19:43 от peneva_a

# 598
  • Мнения: 6 953
Аз на първата не разбрах къде е точка О?

А втората пробвах с тригонометрия, обаче много засукано ми се получава и реших, че нещо не съм на прав път. Thinking

# 599
  • Мнения: 6
Аз на първата не разбрах къде е точка О?

А втората пробвах с тригонометрия, обаче много засукано ми се получава и реших, че нещо не съм на прав път. Thinking
извинявам се, т.О е пресечната точка на диагоналите на трапеца.
Огромно благодаря на peneva_a , с нейните насоки реших 1ва и 3та.
Ако има кой да помогне и за 2ра, ще е чудесно!🙂

Последна редакция: вт, 19 яну 2021, 19:34 от r123

Общи условия

Активация на акаунт