COVID-19 (COrona VIrus Disease-2019) Тема - 6

  • 1 138 150
  • 22 903
  •   1
Отговори
# 21 240
  • Мнения: 5 986
Как се чувстват вашите близки след АЗ?
Моите познати са с доста изявени реакции - температура, втрисане, отпадналост и изобщо казват, че са се чувствали доста зле около 24 часа.
При поставилите Файзър няма такива оплаквания.
Така е, 24ч. след поставянето бяхме с температура и болки в мускулите, но отшумя и на другия ден все едно нищо не е било. Чувала съм, че при рнк ваксините тези ефекти са по-силни след втората доза, докато при АЗ обратното. Пак казвам - чувала съм, дали е така наистина не знам.

Моя братовчедка получи втора доза от Пфайзер тази седмица. В деня на ваксинирането, само болка в ръката, както първия път. На следващия ден, няколкочасово втрисане.

# 21 241
  • Варна
  • Мнения: 696
В тази статия има адреси на всички имунизационни кабинети в страната.
https://bg.zanas.eu/568499/?fbclid=IwAR1z_e_PtOljm0GImKGRvc1EthV … Q2FbXpHx3CCcmYg90

# 21 242
  • Мнения: 1 213
Кунчев каза, че в някаква антиваксърска група във Фб имало подобни призиви: да се записват за ваксини, и после да не ходят, за да саботират процеса. Не е казвал, че в Пловдив се е случило такова нещо. Просто той беше там, като даваше интервюто.

# 21 243
  • Мнения: 9 276
Повече от 12 часа след ваксината - леки болки в мускулите и загряване, които започнаха локално и изразено от страната на ваксинацията като се усилват и изглежда стават глобални, ще видим утре, но засега се търпи и не е болка за умиране.
Понеже много хора искаха да докладвам реакциите затова го пиша - утре повече. Simple Smile

# 21 244
  • При семейството си
  • Мнения: 7 875
Кунчев за “организираните”! антиваксъри (във видеото от 5.30 до 6.45 минута):
https://www.plovdiv24.bg/novini/plovdiv/V-Plovdiv-razkriha-nai-n … vaksurite-1054011

Последна редакция: нд, 21 фев 2021, 23:56 от Не се сърди, човече

# 21 245
  • Немция
  • Мнения: 7 873
Вярно ли е това, което чета в немска медия?
-България обмисля да поръча ваксина от Русия, ако доставките на одобрени от ЕС ваксини се забавят, каза здравният министър Костадин Ангелов.
….....….....................
И още е добавено, което вече знаем:
В България имаше свободен капацитет от ваксини, тъй като през последните няколко дни не всички българи, регистрирали се за приоритетни фази, се явиха за ваксинацията. Те включват лекари и фармацевти, както и служители в жизненоважни области.

https://www.tagesschau.de/newsticker/liveblog-coronavirus-freitag-201.html

# 21 246
  • Мнения: 1 213
Вярно ли е това, което чета в немска медия?
-България обмисля да поръча ваксина от Русия, ако доставките на одобрени от ЕС ваксини се забавят, каза здравният министър Костадин Ангелов.
….....….....................
И още е добавено, което вече знаем:
Имаше свободен капацитет от ваксини, тъй като през последните няколко дни не всички българи, регистрирали се за приоритетни фази, се явиха за ваксинацията. Те включват лекари и фармацевти, както и служители в жизненоважни области.

https://www.tagesschau.de/newsticker/liveblog-coronavirus-freitag-201.html
Аз не съм попадала на такава информация, но няма да е лошо, ако го направят. Доста хора има, които твърдят, че биха се ваксинирали само със Спутник. Нека да има, та да кандисат да се ваксинират и те.

# 21 247
  • Мнения: 18 539
Не е нещо уникално неявяването за ваксинация. Тук също се оплакваха от доста такива случаи.

# 21 248
  • Немция
  • Мнения: 7 873
То е ясно, че и на други места има неявяване за ваксина, въпросът колко масово е.

Словашкият премиер бил фен на руския Спутник, опозицията е против, гражданите не били опитни зайчета.

https://www.sueddeutsche.de/politik/slowakei-sputnik-v-1.5213038

Последна редакция: пн, 22 фев 2021, 00:45 от Бибит

# 21 249
  • Мнения: 1 213
Излезе статистиката. Над 11000 ваксинирани за днес. Мисля, че през делнични дни може и да се удвои тази цифра.
Другата статистика: 227, от които 1/3 софиянци. И вчера София беше "добре" представена.

# 21 250
  • Мнения: 4 595
С това стълпотворение днес, очаквах да има подобрение на петъчния рекорд от 13500 ваксинирани.

# 21 251
  • Мнения: 2 998
350 нови мнения! Dizzy Face

Излезе статистиката. Над 11000 ваксинирани за днес. Мисля, че през делнични дни може и да се удвои тази цифра.
Другата статистика: 227, от които 1/3 софиянци. И вчера София беше "добре" представена.
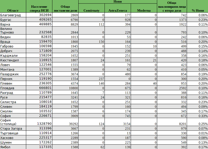
Обнових таблицата, ако представлява интерес.

Скрит текст:

# 21 252
# 21 253
  • Мнения: X
За дамите, които се притесняват за бъдеща бременност и ваксина
https://www.nadezhda.bg/novini/stanovishte-na-mbal-nadejda-za-va … 9wDm1YPD-gyHzlUIY

Становище на МБАЛ „Надежда“ за ваксинирането на пациенти, планиращи бременност

Настоящoто изложение е насочено само към пациенти на болницата и има за цел да покаже нашите препоръки към тях. Разбирайки сложността на ситуацията в страната, ние не търсим дебат с официалните мнения по темата. Нашето становище носи препоръчителен характер и е продиктувано от нашата отговорност и дълг, които носим към пациентите си.

Ние ще препоръчаме на нашите пациенти да се ваксинират, защото смятаме, че ваксинирането ще съхрани репродуктивните способности при бъдещите родители.

1. Смятаме за неоснователни теориите, че ваксината може да засегне фертилитета, в тази посока няма нито едно доказателство и ако това беше така, жените, прекарали COVID-19, не биха забременявали.

2. Ваксинирането отлага плановете за бременност с не повече от 2 месеца, СЗО и всички водещи експертни организации не изискват тест за бременност при ваксиниране, което показва, че ваксината не вреди при бременност.

3. При заразяване с COVID-19 и тежко протичане, възстановителният период е много дълъг, а репродуктивните планове могат да се отдалечат с години.

4. Жените, планиращи бременност, са потенциалът на бъдещото общество, не можем да лишим от ваксиниране тези, които ще създадат поколенията след нас.

5. При мъжете няма основание да се опасяваме от различия във фертилността и репродуктивните функции след ваксиниране, но тежко протекъл COVID-19 може да ги понижи за дълъг период.

6. Жени, на които предстои процедура по асистирана репродукция в „Надежда“, ние консултираме индивидуално, и ако жената е от хората с повишен риск от заразяване, препоръчваме ваксиниране. Това се отразява минимално на самата процедура по асистирана репродукция – или я отлагаме с два месеца след ваксинацията, или провеждаме стимулацията, замразяваме ембрионите, жената се ваксинира и правим трансфер два месеца след това.

7. Жени в напреднала репродуктивна възраст, които замразяват ембриони, могат да се ваксинират и по време на самите процедури.

# 21 254
  • София
  • Мнения: 62 595
А всъщност на антиваксърите защо им е толкова важно никой да не се ваксинира? Искат да умрат хора от епидемията ли? Аз разбирам те да не искат ваксина за тях си - добре. Ама защо никой друг да не се ваксинира?

Те сами си измислят ситуации, живеят с мисълта, че са като партизани от съпротивата през войната.

От думите на Кунчев си направих извода, че рядко хората си правят труда да рапортуват страничните реакции. Само до момента в нашата тема има десет човека, които казаха за реакции. И допълнително съм с едно на ум, за мен просто в момента ваксините дават повече и по-често реакции, защото не са ги "калибрирали", но с времето ще го оправят.

Общи условия

Активация на акаунт