Бебчето ни малко е сега и сбъдва нашата коледна мечта - мами Юли 2021, Тема 2

  • 49 905
  • 751
  •   1
Отговори
# 165
  • Мнения: 495
Казаха ми, че мога да изчакам до 20гс., но ако мпого се притеснявам може още 1 ФМ в 15гс. Мисля да не го правя. Все пак ме увериха на първата морфология, че всичко е наред. Този статистически тест ми е малко второстепенен.

Аз идвам да помрънкам... днес ходих до лабораторията за БХс и ме върнаха, трябвало след измерванията на плода до 24 часа да дадеш кръв. Е естествено аз не съм го знаела и лекарката нищо не ми каза и сега ще трябва пак да ходя до нея. Много се чудя дали да ходя, днес и утре просто няма шанс да изляза от работа и остава чак за януари месец а аз на 19.01 имам записан час при нея. След като ми каза че всичко изглежда нормално , не знам дали е необходимо сега разправията като тези данни не се знае и колко верни ще бъдат. Какво бихте направили?

# 166
  • Мнения: 177
Здравейте. Има ли някоя годила в майчин дом? Моята лекарка ми каза там да отида,а сега ви чета,че трябва и ехографка снимка. Някой знае ли как сроя нещата дали трябва да записвам час там и трябва ли преди това да ходя на преглед,защото клиниката къдвто ходя на консултации е в другия край на София

# 167
  • Мнения: 1 074
Nana, носиш листта, който лекарят ти е дал с описани размери при прегледа, когато влезеш в майчин дом трябва да попълниш и декларация. Работното им време, до колкото знам, е до обяд. Специално за БХС.
Утре сутринта иди. Не е задължително, на никой не ми трябва ехографска снимка. Трябва им бланката за БхС. Входът е задния, в двуетажната сграда, като влезеш веднага в ляво. Влизаш през вратата в коридорчето и първата врата е за БХС. Декларацийте се намират на една масичка точно от входа в ляво.

# 168
  • Мнения: 181
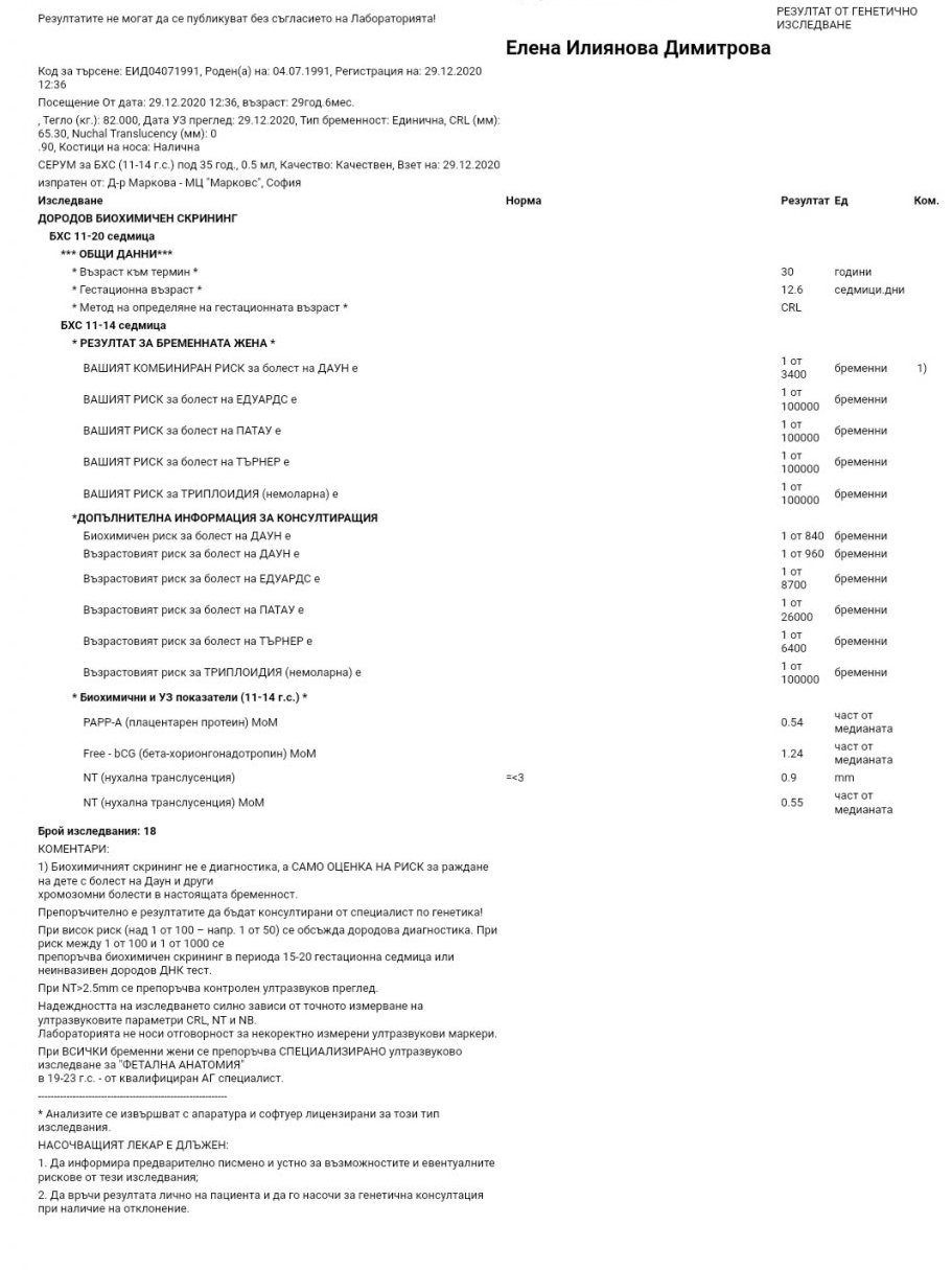
Здравейте,излязоха ми резултатите от БХС може ли да погледнете и да кажете има ли нещо притеснително понеже си нямам на представа

# 169
  • Мнения: 177
Nana, носиш листта, който лекарят ти е дал с описани размери при прегледа, когато влезеш в майчин дом трябва да попълниш и декларация. Работното им време, до колкото знам, е до обяд. Специално за БХС.
Утре сутринта иди. Не е задължително, на никой не ми трябва ехографска снимка. Трябва им бланката за БхС. Входът е задния, в двуетажната сграда, като влезеш веднага в ляво. Влизаш през вратата в коридорчето и първата врата е за БХС. Декларацийте се намират на една масичка точно от входа в ляво.
.       Благодаря ти за инфото

# 170
  • Мнения: 347
Момичета мина и моята ФМ, всичко си е наред с бебето и се поуспокоих (май ще си имаме момченце,ама не е сигурно много) , но д-р Стоилов видя, че съм с плацента превия и каза да лежа, ако ходя на работа да прекратя и тн. и тн. Дори ме попита дали съм кървяла (имах зацапване в началото около 5г.с) явно е било от това.. Има ли някоя мама от вас която е в такова положение, знам че е доста опасно и сега само ще почивам спирам с разходките, пък дано се качи нагоре. Пожелавам ви весело изкарване на Новата година, нека следващата бъде по - добра във всяко отношение!

Последна редакция: чт, 31 дек 2020, 09:35 от Усмивка07

# 171
  • Мнения: 1 074
Усмивке, лягай и почивай максимално ❤ Ще се намести плацентата.
Не знам много за плацента превия, но ако му имаш доверие на този доктор го слушай, ако пък прецениш, може консултация да направиш още една по повода. Но всичко ще е наред, бебче е здраво ❤
Пренатеста ми излезе. Момиче е 💗💗💗

# 172
  • Мнения: 547
Усмивка07, почивай щом така са казали - книжки, филмчета, уют! Всичко ще бъде наред, аз съм сигурна! Hug
Лиилоо, честита розова принцеска! Heartpulse Аз още не знам със сигурност пол, но доктора за сега също клони към момиче! Heart Eyes

Пожелавам на всички весело прекарване на новогодишната нощ и много здраве през 2021-ва година! Това е годината,  в която всички ще гушнем нашите бебчета! Heart

# 173
  • Мнения: 347
Благодаря момичета, лошото е, че чак сега разбирам за проблема, а не съм се пазила - постоянно разходки напред назад. Наистина най-важно е почивката и спокойствието, от днес започвам да мързелувам.

Лило честита принцеса!

# 174
  • Мнения: 128
Усмивка наистина това е кофти, но бъди спокойна и повече почивки и всичко ще е наред. Моята приятелка миналата година беше така и с пазене стигна до щастлив финал. Ако не се намести секциото е задължително. Слушай докторите и всичко ще мине добре.
На всички пожелавам приятна новогодишна нощ, за новата година нека на всички да донесе само положителни емоции. Весел празник.

# 175
  • Мнения: 1 074
Усмивке, това, че до сега не си се пазила явно не се е отразило зле. Детето е супер ❤ Сега вече знаеш и пазиш! Вземи си болничен, позволен ти е до раждането и това е. Приятна почивка му се вика ❤ И шофирането, и возенето в кола като цяло избягвай за дълъг път.
Весело посрещане на новата по-красива година ❤

# 176
  • Мнения: 460
Аз също ходих при лекаря при който е ходила Усмивка07, 30 мин преглед и много подробни обеснения, кое мери колко е стойността, какви са референтните граници за седмицата която съм и при какви стоийности се говори за генетичен проблем.
Накрая 5 страници информация за всичко което ми говори през целия преглед.Според него бебето е в нормите и не вижда отклонение за генетичен проблем въпреки високия ми риск за Даун от БХС.Два пъти ми мери нухалната транслуценция и изрази съмнение че не е измерена правилно от следящия ми гинеколог. Пола не успяхме да видим,защото имам срамежливо бебе, но според лицевия ъгъл ми каза че може би ще е момче.Още преди да му кажа че имам ниска стойност на ПАПП протеина ме попита дали съм била пушачка ама не съм, но имам риск за високо кръвно след 20та седмица заради някакъв кръвооток така и не запомних за кой точно става въпрос.Правихме доплер на сърцето, обеснява ми как при деца с проблеми кривата на сърцето нямала два върха, а само един, бояхме пръстчетата, гледахме бъбреците, пикочния мехур, уста, нос,гръбачен стълб, поназами мозъка, показа ми аортата, стомаха, всичко което е трябвало да се развие до 13та седмица го прегледахме.
Каза ми че това БХС въобще не трябва да се коментира с гинеколог, а директно с генетик.
Не ме насочи да правя пренатест, защото според него няма маркер който да показва проблем. Каза ми ч със сигурност ще ми кажат да направя второ БХС, че даже и амниоцинтеза и ако искам да ми е мирна главата и да не се стресирам както сега да дам 600 лв за тест за Даун. Но всички тези неща да съм ги обсъдела със следящото Аг.
Радвам се че се освободи час и успях да отида на тази ранна фетална и че не послушах другите лекари че нямало нужда от нея.

# 177
  • Мнения: 325
Здравейте, момичета! В 10+3 г.с. съм, вчера бях на преглед и всичко за момента е наред Simple Smile днес обаче се появиха болки в кръста :/ дали защото бях в колата по- дълго време не зная, след като легнах за малко се пооправих, имам съвсем леко усещане, не може да се каже болка. Случвало ли ви се е?

# 178
  • Мнения: 181
Здравейте, момичета! В 10+3 г.с. съм, вчера бях на преглед и всичко за момента е наред Simple Smile днес обаче се появиха болки в кръста :/ дали защото бях в колата по- дълго време не зная, след като легнах за малко се пооправих, имам съвсем леко усещане, не може да се каже болка. Случвало ли ви се е?
Аз знам че е нормално,  и аз също имам болки в кръста но като усетя лягам и почивам 🤗

# 179
  • Мнения: 181
Честита нова година на всички! Пиша ви малко притеснена.. та давам на право-вчера с мъжа ми правихме секс,от около месец не бяхме го правили. Преди малко както си лежах усетих че се подмокрих доста все едно се напишквам,веднага изтичах в банята и по бельото ми имаше течност все едно вода но много бледо розова и изпаднах в ужас беше малко ,колкото да ми подмокри бельото,но аз силно се притеснявам ,дали е възможно да е заради секса вчера? Също така се случва около  датата на цикъла ми  4-ти дали е възможно да е заради това?

Общи условия

Активация на акаунт