Отговори
# 615
  • Мнения: 10 945
Здравейте, може ли помощ за задача 11 клас, която е решена, но има неясноти в начина на решаване:
Да се представи в десетична бройна система числото


По-точно не е ясно защо се замества b с 11 и c с 12. Ако може това да обясните, за да може девойката да схване как се решават задачите от подобен тип.
Благодаря предварително!
в 13-бройна система цифрите са от 0 до 12, или   0, 1, 2, 3, 4, 5, 6, 7, 8, 9, А, B, C
A=10
B=11
C=12

# 616
  • София
  • Мнения: 2 822
Pepina_n3, много благодаря за бързия отговор!
Лека вечер Simple Smile

Последна редакция: пн, 29 ное 2021, 20:46 от Sunny bunny

# 617
  • София
  • Мнения: 778
Здравейте,
може ли помощ за тази задача /6 клас/:
Като се раздели едно естествено число на 65 се получава някакво
частно и остатък 6. Ако същото число се раздели на 22, частното се утроява, а
остатъка се намалява три пъти. Това естествено число е?

Благодаря предварително.

# 618
# 619
  • София
  • Мнения: 778
Благодаря, хубав ден!

# 620
  • Мнения: 10 945
Здравейте,
може ли помощ за тази задача /6 клас/:
Като се раздели едно естествено число на 65 се получава някакво
частно и остатък 6. Ако същото число се раздели на 22, частното се утроява, а
остатъка се намалява три пъти. Това естествено число е?

Благодаря предварително.
Число=частно*65+6
Число=частно*3*22+6:3=частно*66+2

приравняваме двете десни страни:

частно*66+2=частно*65+6
частно*66-частно*65=6-2
частно*(66-65)=4
частно*1=4
частно=4

Число=частно*65+6=4*65+6=260+6=266

Отговор 266

# 621
  • Мнения: 623
Здравейте! Може ли помощ за следната задача за 5 клас?

# 622
  • Мнения: 6 944
Скорост по течението  = Скорост на катера + Скорост на течението
или
233/10 = Скорост на катера + 5/2
...
Скорост срещу течението  = Скорост на катера - Скорост на течението
...

# 623
  • Мнения: 1 778
Добър вечер!
Искам да помоля за помощ за три задачи от седми клас - 4 задача, подточки "в", "е" и "ж".

# 624
  • Мнения: 6 912


Последна редакция: вт, 30 ное 2021, 20:27 от W

# 625
  • Мнения: 1 778
Благодаря!

# 626
  • Мнения: 190

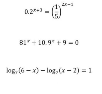
Здравейте, няколко пъти пробвах да реша тези уравнения, но ми ги връщат, защото били грешни(някой, ако може да помогне с някое). Благодаря предварително.

Последна редакция: чт, 02 дек 2021, 13:11 от Mishimm

# 627
  • Мнения: 9 539

Здравейте, няколко пъти пробвах да реша тези уравнения, но ми ги връщат, защото били грешни(някой, ако може да помогне с някое). Благодаря предварително.
0.2x+3=(1/5)2x-1
(1/5)x+3=(1/5)2x-1
(едно редче, което може да се прескочи 5-(x+3)=5-(2x-1)
x+3=2x-1
x=4

81x+10.9x+9=0
92x+2.5.9x+52-16=0
(9x+5)2-42=0
(9x+1)(9x+9)=0
9x > 0 за всяко х, няма решение
което се вижда още от уравнението в началото, че лявата част е винаги >9, няма как да е =0

log7(6-x)-log7(x-2)=1
log7(6-x)/(x-2)=1
(6-x)/(x-2)=7
6-x=7x-14
x=5/2

# 628
  • Мнения: 190
Много благодаря.

# 629
  • София
  • Мнения: 5 558

Здравейте, няколко пъти пробвах да реша тези уравнения, но ми ги връщат, защото били грешни(някой, ако може да помогне с някое). Благодаря предварително.
0.2x+3=(1/5)2x-1
(1/5)x+3=(1/5)2x-1
(едно редче, което може да се прескочи 5-(x+3)=5-(2x-1)
x+3=2x-1
x=4

81x+10.9x+9=0
92x+2.5.9x+52-16=0
(9x+5)2-42=0
(9x+1)(9x+9)=0
9x > 0 за всяко х, няма решение
което се вижда още от уравнението в началото, че лявата част е винаги >9, няма как да е =0

log7(6-x)-log7(x-2)=1
log7(6-x)/(x-2)=1
(6-x)/(x-2)=7
6-x=7x-14
x=5/2
На логаритмичното уравнение трябва задължително да има ДС, за да се разбере дали х=5/2 е решение.
ДС :(2;6)

Общи условия

Активация на акаунт