Q&A
Обобщени въпроси и отговори от темата *
Какво означава МГБ?
Допустимо ли е подреждането: 2/4 + 4/8 + 0 = 1 (2 над 4, 4 над 8)?
Колко време обикновено отнема решаването на тест 37 B за 6-ти клас?
* Предложените въпроси и отговори се генерират машинно от автоматизиран езиков модел на база потребителските мнения в темата. Генерираното съдържание може да е непълно, неактуално, подвеждащо или неподходящо. Вашите оценки спомагат за подобряване на модела и неговото усъвършенстване.
-
Какво означава МГБ?
-
Допустимо ли е подреждането: 2/4 + 4/8 + 0 = 1 (2 над 4, 4 над 8)?
-
Колко време обикновено отнема решаването на тест 37 B за 6-ти клас?
-
Как да намерите липсващото число в последователността 24, 31, ..., 15, 12?
-
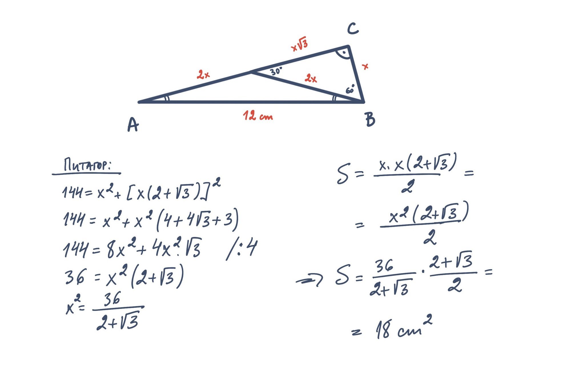
Как се решава задачата за намиране на най-малкото общо кратно (LCM) на четири дроби?


Никой не отрича необходимостта да умеят да го докажат децата- още повече, че във втората част прилагането на ОЗ без аргументация няма да им го признаят така или иначе. Но за първата част от НВО си е улеснение. Знаещият задачата ще я реши наум и ще продължи напред, спестявайки време за друга, която го затруднява примерно.. Същото е и с ОЗ за ъглополовящите (вътрешни и/или външни), и с тази за височината в остроъгълен, и с още доста..