Отговори
# 315
  • Мнения: 3 179
Благодаря на всички, които отделиха от времето си и ми помагаха да решим задачата за учениците!
Благодаря на Ant12 за решението ѝ! С кръговете на Ойлер ще ми бъде по-лесно да я обясня на ученика!

# 316
  • Мнения: 6 984
Аз си видях грешката. Към десетте, които съм оставила само с информатика, трябвало да прибавя 10 от тези 40 . Така с 3 предмета, остават 30. Но да, другите предложени решения са по-издържани.

# 317
  • Мнения: 9 260
Здравейте, моля за помощ на задача от 7ми клас -квадрат
На страната АВ на квадра АВСD с център О е отбелязана точка М така, че ъгъл АDM=24  градуса. Намерете ъглите на триъгълника DMO
На отзовалите се - благодаря!

Някой погледна ли тази задача? На мен ми се струва сбъркана.

# 318
  • Мнения: 3 179
Моля за решение за 4 клас:

Учениците в  пети клас имат само шестици . 180 ученика имат  най-малко по  една шестица , 125 имат по две шестици , 89 имат поне 3 шестици, а 38 имат точно по 4 шестици.
Колко общо шестици имат петокласниците?

# 319
  • Мнения: 3 608
Събираме:
38 x 4
(89-38) x 3  (тези с поне 3 шестици включват тези с по 3 и тези с по 4 и вадим тези с по 4, за да получим само тези с по 3)
(125-89) x 2 (аналогично)
(180-125) х 1

# 320
  • Мнения: 623
Геометричните тела се оказаха голяма мъка. Моля за помощ за следната задача!

# 321
  • Мнения: 6 984
Нека ръбовете са a, b, c. Обемът е V=a. b. c
А) Намаляваме c 10 пъти.

 V' = a. b. c/10 =( a. b. c) /10=V/10
Б) Намаляваме и b 10 пъти.
V"= a. b/10.c/10=(a.b.c)100=V/100

В и Г се решават аналогично

# 322
  • Мнения: 2 630
Здравейте! Много моля за решението на следната задача за седми клас. Благодаря!

# 323
  • Мнения: 9 260
Здравейте! Много моля за решението на следната задача за седми клас. Благодаря!

Ъгъл AKL външен за ABK=4a.
ABC равнобедрен ъгъл BAC=5а. Ъгъл KAL=5а- а=4а. Ъгъл ALK=180-8а.
Ъгъл TAK=2а=CAT, страната AT е обща. Търсим ъгъл ACT=АKT
90-5а=4а, а=10. AK=AC, AKC равнобедрен с ъгъл при върха 40. AKC=70.

# 324
  • Мнения: 2 630
Много благодаря, Динчо!

# 325
  • Мнения: 225
Моля за помощ!

стигнах, че е равнобедрен и не успявам.

# 326
  • София
  • Мнения: 20 183
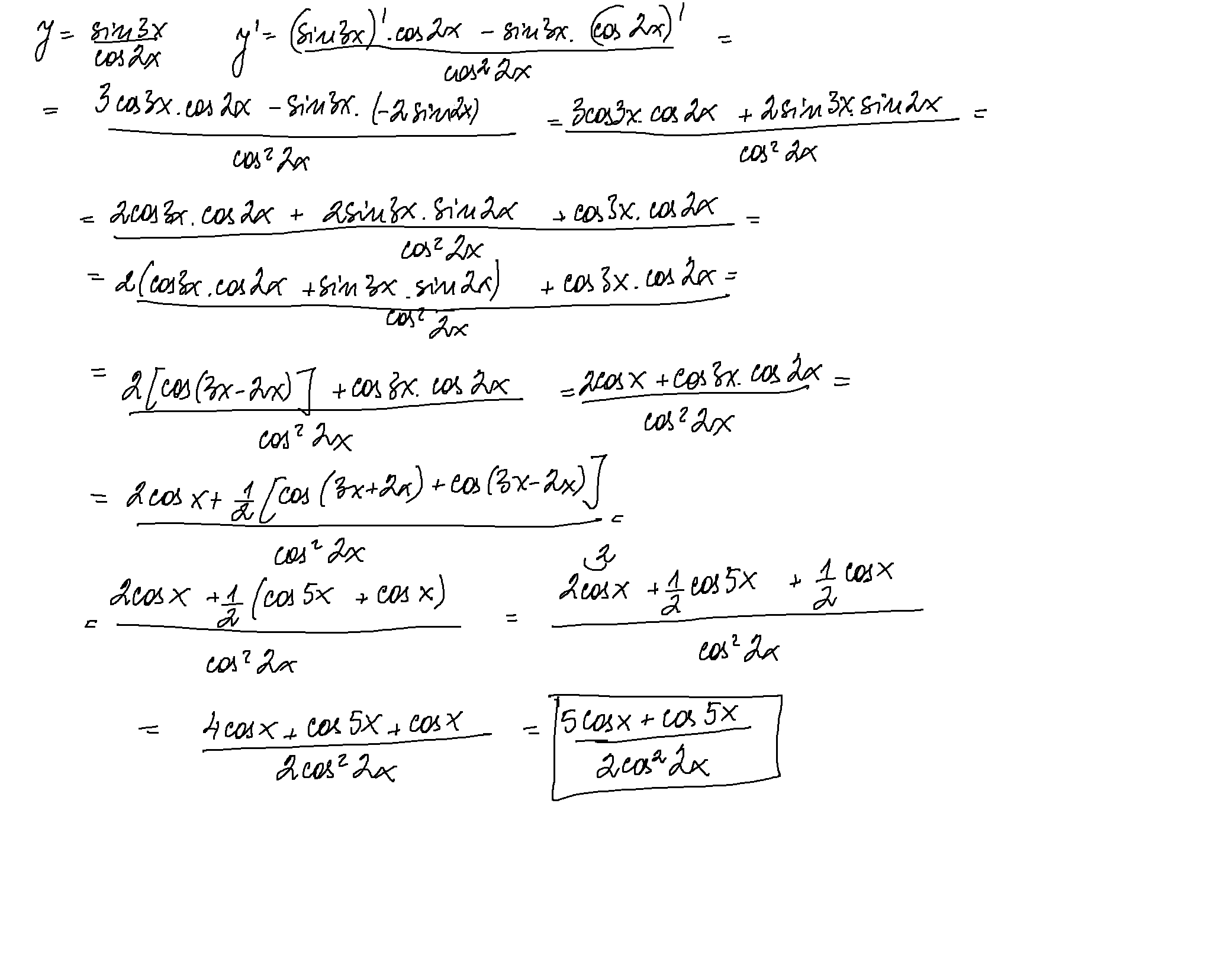
Преди ден-два  помогнах с едно примерче на дете 11 клас. И учителката му казала, че не е така, като станало да я разпише.. Ама да обясни защо не е така- не, просто не е така. 200 пъти се върнах и не си намирам грешката - първо с правилото за диференциране на частно, после със съобразяване с производни на съставни функции, накрая с преобразуване с  тригонометрични формули. Единственото, което ми идва наум, е да си е  решила дамата, че верен отговор е само такъв без преобразувания..Но едва ли е това, понеже е щяла да спре детето в даден момент от по-нататъшни пресмятания..Ако някой за друг проблем се сеща, да каже, моля Simple Smile

ПП   Дороти Simple Smile, ето :

Последна редакция: сб, 14 май 2022, 18:19 от пенсионирана русалка

# 327
  • Мнения: 225
моля за насока!

# 328
  • София
  • Мнения: 20 183
Дороти, исканата насока Simple Smile



# 329
  • София
  • Мнения: 5 559
Преди ден-два  помогнах с едно примерче на дете 11 клас. И учителката му казала, че не е така, като станало да я разпише.. Ама да обясни защо не е така- не, просто не е така. 200 пъти се върнах и не си намирам грешката - първо с правилото за диференциране на частно, после със съобразяване с производни на съставни функции, накрая с преобразуване с  тригонометрични формули. Единственото, което ми идва наум, е да си е  решила дамата, че верен отговор е само такъв без преобразувания..Но едва ли е това, понеже е щяла да спре детето в даден момент от по-нататъшни пресмятания..Ако някой за друг проблем се сеща, да каже, моля Simple Smile

ПП   Дороти Simple Smile, ето :

Когато търсим производна на функция и ако тя не ни е необходима за по- следващо решение, няма смисъл да я преобразуваме.

Общи условия

Активация на акаунт