Отговори
# 615
  • Мнения: 6 953
Тя е искала да представи целия израз за Х и смята умаляемо минус разлика
В такъв случай тази част, която е умалител, трябва да се третира като 'цял' израз и трябва да я огради в скоби или поне да си я представи все едно е в скоби.
- 2х + 6  -->  - (2х - 6)

# 616
  • Мнения: 623
Моля за помощ за следната задача за 6 клас

# 617
  • Мнения: 9 241
Моля за помощ за следната задача за 6 клас


За 36 минути или 3/5 часа със скорост 200 км/час се изминават
120 км. Пистата е 6 км, изминати са 20 обиколки. По-бавният е изминал 19 обиколки или 114км за 3/5 часа. 114 км делено на 3/5 часа = 190 км/час.

Последна редакция: ср, 14 дек 2022, 22:02 от Dincho

# 618
  • София
  • Мнения: 225
моля за помощ за задача 2  7 клас

# 619
  • Мнения: 6 953
100.x + 10.y + z + 297 = 100.z + 10.y + x
y = 7
z = 2x
=>   
100x + 70 + 2x + 297 = 200x + 70 + x
99x = 297
x = 3
z = 2х = 6

Числото: 376

Проверка: 376 + 297 = 673

# 620
  • Мнения: 6 945
Малко набързо, но мисля, че става ясно.

# 621
  • Б
  • Мнения: 954
Може ли помощ за тази задача за работа?

# 622
  • Мнения: 57
Моля за помощ за следните задачи за 5 клас.
1 зад. /а/ 3 зад. и зад 5. /1,2/

# 623
  • Мнения: 17 953
моля за помощ за задача 2  7 клас
Аз подходих малко по-различно:
___ ___ ___
-2    9.    7
___________
       7   
Построих така задачата и започнах да разсъждавам. Цифрата на стотиците трябва да се дели на две, значи може да е 8, 6 или 4
Опитах с 8, но тогава 8+7=15 . В такъв случай според условието 5 трябва да е цифрата на стотиците, но 5 не е два пъти по-малко от 8. Тогава опитах с 6. 6+7=13, а 3*2 =6, следователно получих 376.
 673 - 297= 376

# 624
  • София
  • Мнения: 1 610
Може ли помощ за тази задача за работа?

# 625
  • Мнения: 9 241
Може ли помощ за тази задача за работа?

Първият х часа. Вторият (х-1/2)
х/10=(х-1/2)/4
Ако не съм объркала сметките х=5/6 или 50 минути. В 8 и 50 минути ще се е източило еднакво количество гориво, т.е. ще е останало пак еднакво в резервоарите.

# 626
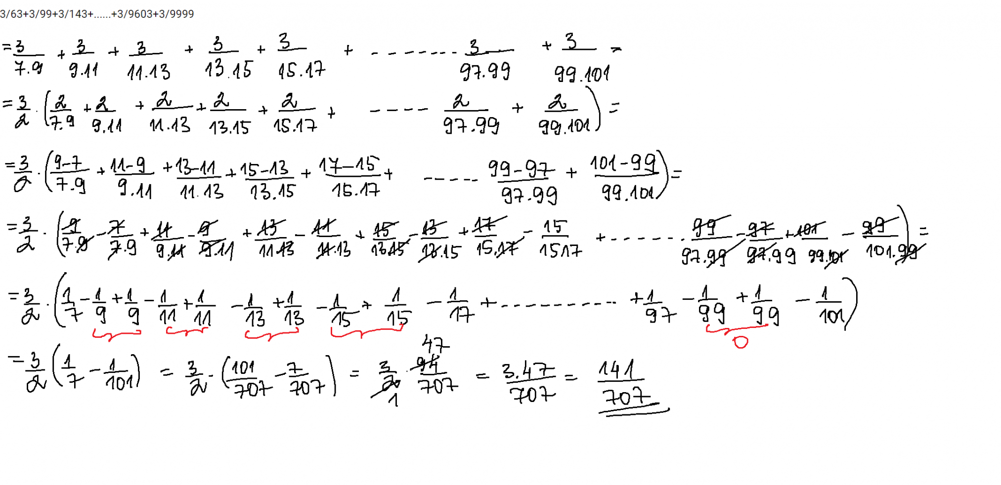
  • Мнения: 3 179
Моля за решение на тази египетска дроб:

А= 3/63+3/99+3/143+......+3/9603+3/9999= 3/7.9+3/9.11+3/11.13+.......+3/97.99+3/99.101
 не знам дали правилно решавам
 Ако представя 3/7.9 = 1/7-1/9    нещо греша тук

# 627
  • София
  • Мнения: 20 168
Моля за решение на тази египетска дроб:

А= 3/63+3/99+3/143+......+3/9603+3/9999= 3/7.9+3/9.11+3/11.13+.......+3/97.99+3/99.101
 не знам дали правилно решавам
 Ако представя 3/7.9 = 1/7-1/9    нещо греша тук

# 628
  • Мнения: 17 953
Нещо не разбрах днешния урок на детето - 6 клас степени.
Трябваше да изразят някакво число чрез сбор от числа с 10 на степен. Извинете, ако неточно предавам условието, но например 325 - 3*10^2 + 2*10^1 + 5*10^0 Не разбрах каква е тази степен 0? Как така едно число умножение по 10 на нула степен дава същото число? Нали нещо като се умножи на 0 дава 0? И не видях в урока как се действа след десетична запетая, в единия случай след запетаята получихме -50 - 300. Как трябва да се запише - .... , 53 или ...., 35?

# 629
  • Мнения: X
Десет на нулева е единица.
Нещо такова?

Общи условия

Активация на акаунт