Хормонални изследвания - 11

  • 57 247
  • 740
  •   1
Отговори
# 720
  • София
  • Мнения: 38 353
Привет пак от мен , този път да споделя , както поиска .
Скрит текст:
Ходих на лекар още след отговора ти , от прегледа не се видя киста , каза , че всичко е наред . Понеже имах неописуеми болки в ляво потърсих още мнения и днес най-после попаднах на моя Лекар ❤️
Първо каза , че е трябвало да спра добавката , която съм вземала минимум пет дена преди самото изследване, второ е трябвало да ги пусна на 3- ти , не на 4- ти ден при моя разбъркан цикъл съвсем ...
Та нямам кисти, имам остро и сериозно възпаление на левият яйчник , което е вече и към други места и е в шок , че никой не е видял и са ме тъпкали с хормони до сега / на кратко казвам / . Та сега съм на инжекции , последващо следене и терапия и после се надявам всичко да е наред и вече да си имаме бебче Simple Smile
Благодаря за вниманието ти в различните групички ❤️ Бъди здрава , да ни даваш насоки и виртуални сили 🤗




Здравей отново мила Денис и компания , моля за коментар ,че съм силно притеснена от разбърканите ми хормони  Sad Прилагам от днес резултатите  / това каза да пусна АГ , нямам кисти гледа ме на видеозон , след
Скрит текст:
цикъл съм при нея чак . Пуснах в пакет с пролактина , лаборантката каза ,че цената е по-ниска и имам бонус още един хормон Wink за него обаче не бяха особено спазени изискванията от покой и спокойни гърди .
На 33г. съм , цикъл през 25 дни / продължителност 5 дена / , не раждала , без проблеми до сега , без кисти , нормална ПАП група . От Дуфастона получих остър гастрит  и много още допълнителни " екстри " + непоносимост някаква , та това са изследвания след спрян на 21-ия ден от АГ прием на Дуфастон , сменен и пробвано и с Утрогестан , но се чувствах много зле и го спряхме наложително  / пих го поради извънменструално зацапване / кървене / /
Изследванията са на 4-ти ден , приемам бутирин заради стомаха и две инжекции но-шпа , днес преди даване на кръв не съм приемала нищо от тях  , ама лаборантката каза ,че не е добре с прием на биотин да се пускат хормони , не знам защо .
Благодаря за отделеното време Simple Smile

Здравей!
Според мен има киста - потърси второ мнение. Е2 е много висок, висок е и Прогестеронът ( което показва, че може да е лутеинова киста или киста на ЖТ), а ЛХ и ФСХ са ниски - т.е. потисната е тяхната функция, най-вероятно от кистата.
Ще чакам да споделиш какво се случва.
ПП.
Да, Биотинът се спира ( поне за 5-6 дни) , защото дава фалшиви отклонения, при някои показатели, но това не важи, в случая, за теб. Simple Smile

ППП. Друга причина за тези отклонения е, да си с много високи нива на някои андрогени, вкл. на 17ОН Прогестерона.
По-малкото зло е кистата, така че не се плаши от нея Simple Smile
Благодаря, че сподели - бързо оздравяване.

# 721
  • Мнения: 22
град Русе , Д-р Луиза Тончева


# 722
  • Мнения: 37
Здравей denis,
На 39 години съм и ми предстои инвитро процедура. Днес си направих изследване на AMX - 0.42 е резултата. За съжаление не мога да кандидатствам с този резултат към ЦАР. Имам 2 операции на ендометриоза и съответно яйчниковия резерв съвсем намаля. Има ли някаква добавка, която да вземам, за да си повиша AMX и качеството на яйцеклетките.
Благодаря!

# 723
  • София
  • Мнения: 38 353
Здравей denis,
Скрит текст:
На 39 години съм и ми предстои инвитро процедура. Днес си направих изследване на AMX - 0.42 е резултата. За съжаление не мога да кандидатствам с този резултат към ЦАР. Имам 2 операции на ендометриоза и съответно яйчниковия резерв съвсем намаля. Има ли някаква добавка, която да вземам, за да си повиша AMX и качеството на яйцеклетките.
Благодаря!
Има тема за добавките - може да пишеш там.
Най-общо - подбират се на база възраст, състояние на репр. функция, ЯР, здравословни проблеми и т.н. Добре е да се приема всеки елемент поотделно, за да може да се правят най-подходящите за всеки комбинации, в подходящи дози и форми с висока бионаличност.
Ще ти изброя какво се ползва, което не означава че за теб всичко е подходящо Simple Smile
Омега 3, DHA, Омега 7, МВИ, Масло от Пореч, Лецитин
Инозитол, NAC, Аргинин
Бета-Каротин, Вит. А, Е, Д, С
вит. В комплекс (  В1, В5, В6, В12, ФК)
Калциеви формули
Цинк, Селен, Мед, Желязо, Манган
R-ALA, Ресвератрол, Астаксантин, Ликопен, СoQ10, PQQ, NMN, NR...
Биофлавоноиди, Спирулина
Колаген тип I и III и т.н.

# 724
  • Мнения: 1 755
Здравей Денис Simple Smile
Мога ли да те помоля да погледнеш тези резултати, тъй като ми престои преглед на 18.11. но искам да имам някои насоки преди това Yellow Heart
Здравей Денис и мили момичета ! Писала съм и преди и съм получавала страхотен отзив и съвети. Сега отново бих искала да помоля да хвърлите поглед. На 41 г и неуспешно се боря с регилиране на хормони, с цел забременяване. Това са изследвания пуснати 7 дни, след преполагаема овулация(която така и не засякох на тестовете за ову). бях на преглед преди това и се видя порастнал фоликул, който предстоеше уж до 2-3 дни.. За лекаря всичко изглеждаше чудесно и ме прати да съм правила опити. Хубаводе, но няколко месеца поред съм с доста висок естрадиол, който на 3ти ден е около 440 , а след овулация е 1440.. Вече втори месец, Също повишен ми е и прогестерона, почти двойно.
Прилагам изследванията, отдолу. Обръщам внимание, че имам и ниско желязо.. и хемоглобина ми е около 112, последно измерен. Изследвала съм б12, в средата съм, знам че трябва да са горни граници, Вит, Д също приемам.
Едва ли всеки месец е ЗФ, но не го изключвам, макар че на прегледите не се вижда нищо, добре ми е лигавицата..
Получих кървене между цикъла, което се видя че може би имам за махане едно мини полипче и предстои да го махам, като според лекарката ще е по-леката процедура, нямало нужда от хистероскопия.. Според нея се намирам в перименопауза и в момента образувам повече фоликулии затова ми е висок естрадиола.. НО това малко ме съмнява, че е ок толкова време да е така.
Ще съм благодарна на вашето мнение Purple Heart
Скрит текст:

# 725
  • София
  • Мнения: 38 353
Здравей Денис Simple Smile
Мога ли да те помоля да погледнеш тези резултати, тъй като ми престои преглед на 18.11. но искам да имам
Скрит текст:
някои насоки преди това Yellow Heart
Здравей Денис и мили момичета ! Писала съм и преди и съм получавала страхотен отзив и съвети. Сега отново бих искала да помоля да хвърлите поглед. На 41 г и неуспешно се боря с регилиране на хормони, с цел забременяване. Това са изследвания пуснати 7 дни, след преполагаема овулация(която така и не засякох на тестовете за ову). бях на преглед преди това и се видя порастнал фоликул, който предстоеше уж до 2-3 дни.. За лекаря всичко изглеждаше чудесно и ме прати да съм правила опити. Хубаводе, но няколко месеца поред съм с доста висок естрадиол, който на 3ти ден е около 440 , а след овулация е 1440.. Вече втори месец, Също повишен ми е и прогестерона, почти двойно.
Прилагам изследванията, отдолу. Обръщам внимание, че имам и ниско желязо.. и хемоглобина ми е около 112, последно измерен. Изследвала съм б12, в средата съм, знам че трябва да са горни граници, Вит, Д също приемам.
Едва ли всеки месец е ЗФ, но не го изключвам, макар че на прегледите не се вижда нищо, добре ми е лигавицата..
Получих кървене между цикъла, което се видя че може би имам за махане едно мини полипче и предстои да го махам, като според лекарката ще е по-леката процедура, нямало нужда от хистероскопия.. Според нея се намирам в перименопауза и в момента образувам повече фоликулии затова ми е висок естрадиола.. НО това малко ме съмнява, че е ок толкова време да е така.
Ще съм благодарна на вашето мнение Purple Heart
Скрит текст:

Здравей!
Е2 и Прогестеронът са доста високи - ако няма бременност, може да е от О., но да има и ЗФ, киста... които също да  продуцират тези два хормона и от там и по-високите им нива. Друга причина, да си с ПКЯ + да е имало О., друга причина -  Инсулинът е висок, може от там да си с по-високи нива на естрогените, 17 ОН прогестерон .. + да е имало и О.
Трябва отново да те видят на УЗ - през ЛФ, преди следваща М. и на база тези изследвания и резултата от УЗ, да се прецени какъв е проблемът.
Да, възможно е Е2 да е високи от пременопаузата, но ми е малко съмнително само това да е причината?!
Повече фоликули се образуват при ПКЯ и при пременопауза и то без да се стига до О., т.е. ако Е2 е висок от това, каква е причината и Прогестеронът да е висок ?! ( това, лекар трябва да го обясни, след като го твърди) - той се повишава при/след О, или ако има лутеинова киста, ЛУФ ( от предходен МЦ).
Без УЗ може само да се предполага Simple Smile
Може да повториш Е2 и Прогестерон към края на МЦ + преглед с УЗ и всеки един АГ би трябвало да може да прецени какво се случва.
ИР повишава Естрогените, затова е добре да вземеш мерки. Ако Инсулинът е висок на гладно, това означава че не се храниш правилно. Аз съм с ИР и с години поддържам инсулин около 5.0 - така, че след като аз мога и ти трябва да можеш Simple Smile, не е трудно.
Феритинът е много нисък - трябва да е около 100... трябва да приемаш желязо.
Попълни, ако имаш дефицити на  вит. Д... цинк, мед и селен, В12, ФК, защото в противен случай трудно се попълва желязото... и влизаш в един омагьосан кръг.
За МЛ - 7 ден след О. не трябва да е по-дебела от 16мм - това го споменавам заради по-високите нива на естрогена... който кара МЛ да расте повече от нормалното, а това е опасно ( т.н. Хиперплазия на МЛ)

Последна редакция: ср, 13 ное 2024, 08:22 от denis©

# 726
  • Мнения: 1 755
Здравей Денис Simple Smile
Мога ли да те помоля да погледнеш тези резултати, тъй като ми престои преглед на 18.11. но искам да имам
Скрит текст:
някои насоки преди това Yellow Heart
Здравей Денис и мили момичета ! Писала съм и преди и съм получавала страхотен отзив и съвети. Сега отново бих искала да помоля да хвърлите поглед. На 41 г и неуспешно се боря с регилиране на хормони, с цел забременяване. Това са изследвания пуснати 7 дни, след преполагаема овулация(която така и не засякох на тестовете за ову). бях на преглед преди това и се видя порастнал фоликул, който предстоеше уж до 2-3 дни.. За лекаря всичко изглеждаше чудесно и ме прати да съм правила опити. Хубаводе, но няколко месеца поред съм с доста висок естрадиол, който на 3ти ден е около 440 , а след овулация е 1440.. Вече втори месец, Също повишен ми е и прогестерона, почти двойно.
Прилагам изследванията, отдолу. Обръщам внимание, че имам и ниско желязо.. и хемоглобина ми е около 112, последно измерен. Изследвала съм б12, в средата съм, знам че трябва да са горни граници, Вит, Д също приемам.
Едва ли всеки месец е ЗФ, но не го изключвам, макар че на прегледите не се вижда нищо, добре ми е лигавицата..
Получих кървене между цикъла, което се видя че може би имам за махане едно мини полипче и предстои да го махам, като според лекарката ще е по-леката процедура, нямало нужда от хистероскопия.. Според нея се намирам в перименопауза и в момента образувам повече фоликулии затова ми е висок естрадиола.. НО това малко ме съмнява, че е ок толкова време да е така.
Ще съм благодарна на вашето мнение Purple Heart
Скрит текст:

Здравей!
Е2 и Прогестеронът са доста високи - ако няма бременност, може да е от О., но да има и ЗФ, киста... които също да  продуцират тези два хормона и от там и по-високите им нива. Друга причина, да си с ПКЯ + да е имало О., друга причина -  Инсулинът е висок, може от там да си с по-високи нива на естрогените, 17 ОН прогестерон .. + да е имало и О......
Денис, благодаря от сърце за вниманието и насоките Yellow Heart
И аз имах подобни съмнения и съм доста объркана от двата завишени хормона (Е +прогестерона). При предишните ми такива, отново бяха завишени и като ги изпратих на лекарката тя смяташе, че може да е бременност .
Ами бременност нямаше, както и предполагам и сега. За съжаление цикъла се очаква съвсем тези 2-3 дни , а прегледа ми е на 18.11 не успях да променя часа за по-ранен, дори се очаква да съм в първите си дни на МЦ и не знам как ще ме прегледа. ПКЯ, никога не съм имала, за всички години, но пък ЗФ предполагам, че ще е първото, за което ще се усъмни лекарката.
Предстои ми преглед при друг лекар, защото искам да получа второ мнение, тъй като няколко месеца, вече нещата се въртят в кръг...
Озадачена съм и за инсулина, че е по-висок... може ли да започвам да развивам ИР? ОТ години поддържам едни кг около 50-51, сега леко съм качила 1 до 2, искам да хвана нещата, докато е време.
Приемам като добавки 2х2000 вит.Д, ФК, доскоро и цинк (сега съм спряла от няколко седмици), витБ12, магнезий.Желязото явно не го усвоявам, защото пия и билкова кръв и наскоро приемах и друг тип желязо (С*рбифер)
Има ли смисъл да пускам отново Е + Прогестерон, ако цикъла предстои до 1-2 дни или е добре за контрола?

# 727
  • Мнения: 1 488
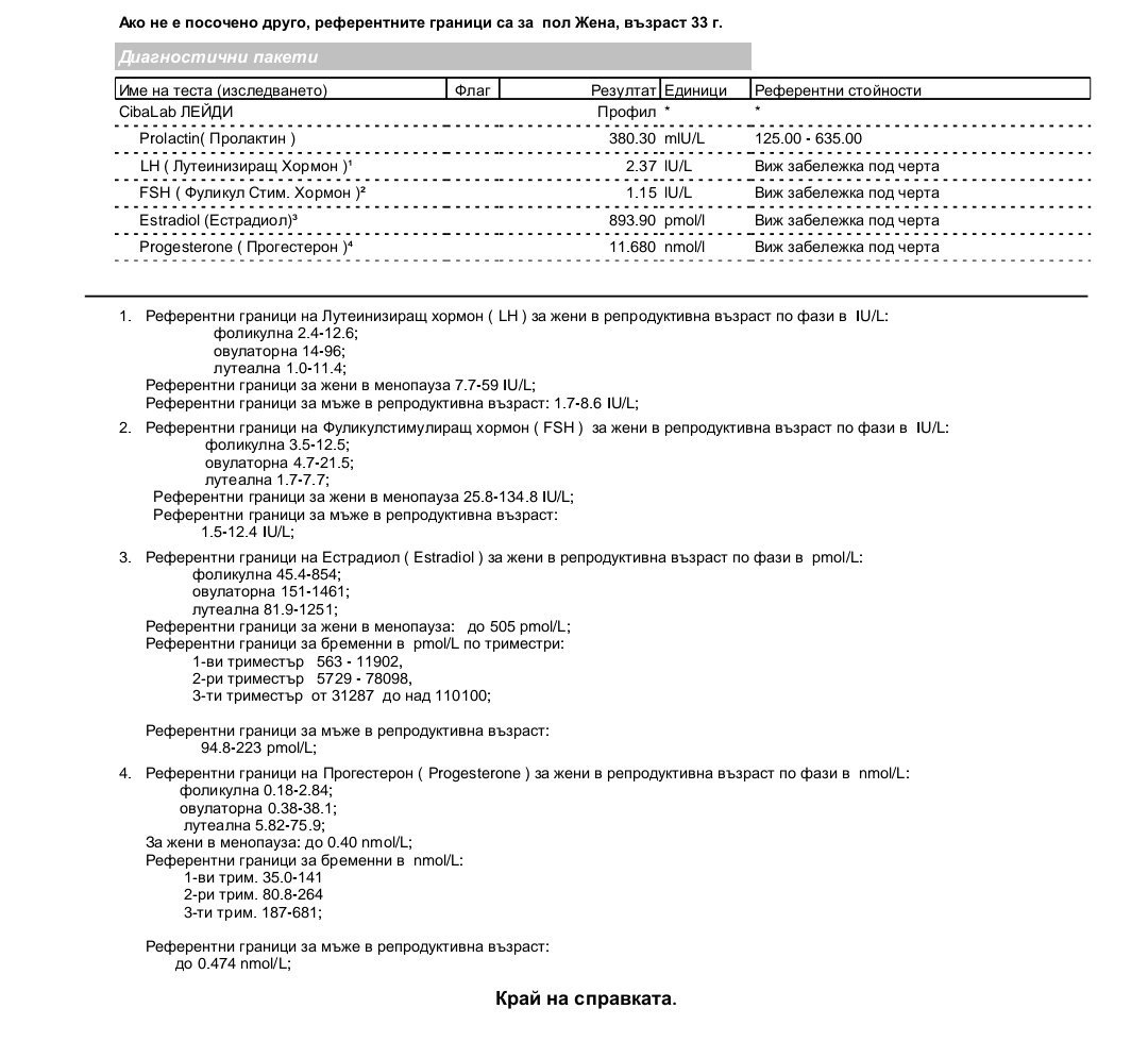
Здравейте, да питам за моите изследвания - жена на 33г, аз писах за съмнение за кисти, което се потвърди на ехограф и пуснах всичко преди да ида на ендокринолог. Имам редовна менструация. Изследванията са направени седмица преди цикъл, а хормоните - след 15 минути покой, на 4-ти ден от цикъл, че трети беше неделя. Вит б12 и фолиева - 3 седмици след спиране на добавките, вит. Д по време на прием. Не съм тествала желязо, защото в момента приемам. 17-ОН прогестеронът ме притесни леко.

Скрит текст:




# 728
  • Мнения: 80
Здравейте! От 8 месеца приемам л-тироксин 0,25 с цел забременяване, назначено от д-р Начев след като ТСХ показателите ми тогава бяха 2,8. Успявах до преди близо два мсеца да сваля до 2.1 като след това ми октриха СИБО и диетата ми рязко се промени, тъй като не мога да приемам никакви бобови и подобни, почти никаква "зеленина" и т.н.
Преди 2 седмици изследвах и получих следните резултати (гастрото каза, че вероятно ми се е забързал метаболизма), като вит Д започнах да взимам и не съм правила почивка (за това е малко по-"завишен"):
Скрит текст:


Реших, че трябва да намаля дозата на л-тироксина и започнах прием през ден, но днес виждам двойно увеличение.. Започвам отново всяка сутрин и ще изследвам след 3 седмици отново, но исках да получа съвет за това как да продължа приема, като трябва да приемам вит Д и фолиева (много е ниска) + витамин Б12.. и дали трябва да се притеснявам и да се сръжа с ендокринолог за това покачване. Нужно ли е да изследвам друг показател?

Скрит текст:

# 729
  • София
  • Мнения: 38 353
Скрит текст:
Здравей Денис Simple Smile
Мога ли да те помоля да погледнеш тези резултати, тъй като ми престои преглед на 18.11. но искам да имам
Скрит текст:
някои насоки преди това Yellow Heart
Здравей Денис и мили момичета ! Писала съм и преди и съм получавала страхотен отзив и съвети. Сега отново бих искала да помоля да хвърлите поглед. На 41 г и неуспешно се боря с регилиране на хормони, с цел забременяване. Това са изследвания пуснати 7 дни, след преполагаема овулация(която така и не засякох на тестовете за ову). бях на преглед преди това и се видя порастнал фоликул, който предстоеше уж до 2-3 дни.. За лекаря всичко изглеждаше чудесно и ме прати да съм правила опити. Хубаводе, но няколко месеца поред съм с доста висок естрадиол, който на 3ти ден е около 440 , а след овулация е 1440.. Вече втори месец, Също повишен ми е и прогестерона, почти двойно.
Прилагам изследванията, отдолу. Обръщам внимание, че имам и ниско желязо.. и хемоглобина ми е около 112, последно измерен. Изследвала съм б12, в средата съм, знам че трябва да са горни граници, Вит, Д също приемам.
Едва ли всеки месец е ЗФ, но не го изключвам, макар че на прегледите не се вижда нищо, добре ми е лигавицата..
Получих кървене между цикъла, което се видя че може би имам за махане едно мини полипче и предстои да го махам, като според лекарката ще е по-леката процедура, нямало нужда от хистероскопия.. Според нея се намирам в перименопауза и в момента образувам повече фоликулии затова ми е висок естрадиола.. НО това малко ме съмнява, че е ок толкова време да е така.
Ще съм благодарна на вашето мнение Purple Heart
Скрит текст:

Здравей!
Е2 и Прогестеронът са доста високи - ако няма бременност, може да е от О., но да има и ЗФ, киста... които също да  продуцират тези два хормона и от там и по-високите им нива. Друга причина, да си с ПКЯ + да е имало О., друга причина -  Инсулинът е висок, може от там да си с по-високи нива на естрогените, 17 ОН прогестерон .. + да е имало и О......
Денис, благодаря от сърце за вниманието и насоките Yellow Heart
И аз имах подобни съмнения и съм доста объркана от двата завишени хормона (Е +прогестерона). При предишните ми такива, отново бяха завишени и като ги изпратих на лекарката тя смяташе, че може да е бременност .
Ами бременност нямаше, както и предполагам и сега. За съжаление цикъла се очаква съвсем тези 2-3 дни , а прегледа ми е на 18.11 не успях да променя часа за по-ранен, дори се очаква да съм в първите си дни на МЦ и не знам как ще ме прегледа. ПКЯ, никога не съм имала, за всички години, но пък ЗФ предполагам, че ще е първото, за което ще се усъмни лекарката.
Предстои ми преглед при друг лекар, защото искам да получа второ мнение, тъй като няколко месеца, вече нещата се въртят в кръг...
Озадачена съм и за инсулина, че е по-висок... може ли да започвам да развивам ИР? ОТ години поддържам едни кг около 50-51, сега леко съм качила 1 до 2, искам да хвана нещата, докато е време.
Приемам като добавки 2х2000 вит.Д, ФК, доскоро и цинк (сега съм спряла от няколко седмици), витБ12, магнезий.Желязото явно не го усвоявам, защото пия и билкова кръв и наскоро приемах и друг тип желязо (С*рбифер)
Има ли смисъл да пускам отново Е + Прогестерон, ако цикъла предстои до 1-2 дни или е добре за контрола?
Е2, ЛХ, ФСХ и Прогестерон - на 3 ден от МЦ ... след това трябва да те видят и на УЗ
На 7-ми ден, след предполагаема О. - отново Е2 и Прогестерон + УЗ
Добре е да направиш поне 2-ва, поредни МЦ, ФМ + изследване на тези хормони... за да може да се установи какво се случва. От произволни и хаотични изследвания, няма много полза и това те обърква още повече.
Изследвания + УЗ, се допълват много добре (информативно).
Ако го направиш, ще чакам да споделяш какво се случва, моля.


Здравейте, да питам за моите изследвания - жена на 33г, аз писах за съмнение за кисти, което се потвърди на ехограф и пуснах всичко преди да ида на ендокринолог. Имам редовна менструация. Изследванията са направени седмица преди цикъл, а хормоните - след 15 минути покой, на 4-ти ден от цикъл, че трети беше неделя. Вит б12 и фолиева - 3 седмици след спиране на добавките, вит. Д по време на прием. Не съм тествала желязо, защото в момента приемам. 17-ОН прогестеронът ме притесни леко.

Скрит текст:




Здравей!
17ОН Прогестерон е висок, дори и за 4-ти ден... той задължително се изследва точно на 3 ден от МЦ.
Като цяло, има една лека тенденция към по-високи нива на андрогените. Трябва да се консултираш с Ендокринолог. Това може да е причина за ПКЯ.
ФК трябва да е на горна граница. Вит. Д е нисък, ако не е правена пауза ( 20-на дни... време, което показва реалните нива) - увеличи си дозата, включи К2, Магнезий... провери цинк, мед и селен - те имат отношение и към андрогените, освен че са важни за калциевият метаболизъм и оптималните нива на вит. Д.
Желязото го спираш за 4-5 дни и пускаш целият т.н. Железен панел.
КЗ на гладно е висока?!

Последна редакция: пн, 18 ное 2024, 19:20 от denis©

# 730
  • Мнения: 1 755
Скрит текст:
Здравей Денис Simple Smile
Мога ли да те помоля да погледнеш тези резултати, тъй като ми престои преглед на 18.11. но искам да имам
Скрит текст:
някои насоки преди това Yellow Heart
Здравей Денис и мили момичета ! Писала съм и преди и съм получавала страхотен отзив и съвети. Сега отново бих искала да помоля да хвърлите поглед. На 41 г и неуспешно се боря с регилиране на хормони, с цел забременяване. Това са изследвания пуснати 7 дни, след преполагаема овулация(която така и не засякох на тестовете за ову). бях на преглед преди това и се видя порастнал фоликул, който предстоеше уж до 2-3 дни.. За лекаря всичко изглеждаше чудесно и ме прати да съм правила опити. Хубаводе, но няколко месеца поред съм с доста висок естрадиол, който на 3ти ден е около 440 , а след овулация е 1440.. Вече втори месец, Също повишен ми е и прогестерона, почти двойно.
Прилагам изследванията, отдолу. Обръщам внимание, че имам и ниско желязо.. и хемоглобина ми е около 112, последно измерен. Изследвала съм б12, в средата съм, знам че трябва да са горни граници, Вит, Д също приемам.
Едва ли всеки месец е ЗФ, но не го изключвам, макар че на прегледите не се вижда нищо, добре ми е лигавицата..
Получих кървене между цикъла, което се видя че може би имам за махане едно мини полипче и предстои да го махам, като според лекарката ще е по-леката процедура, нямало нужда от хистероскопия.. Според нея се намирам в перименопауза и в момента образувам повече фоликулии затова ми е висок естрадиола.. НО това малко ме съмнява, че е ок толкова време да е така.
Ще съм благодарна на вашето мнение Purple Heart
Скрит текст:

Здравей!
Е2 и Прогестеронът са доста високи - ако няма бременност, може да е от О., но да има и ЗФ, киста... които също да  продуцират тези два хормона и от там и по-високите им нива. Друга причина, да си с ПКЯ + да е имало О., друга причина -  Инсулинът е висок, може от там да си с по-високи нива на естрогените, 17 ОН прогестерон .. + да е имало и О......
Денис, благодаря от сърце за вниманието и насоките Yellow Heart
И аз имах подобни съмнения и съм доста объркана от двата завишени хормона (Е +прогестерона). При предишните ми такива, отново бяха завишени и като ги изпратих на лекарката тя смяташе, че може да е бременност .
Ами бременност нямаше, както и предполагам и сега. За съжаление цикъла се очаква съвсем тези 2-3 дни , а прегледа ми е на 18.11 не успях да променя часа за по-ранен, дори се очаква да съм в първите си дни на МЦ и не знам как ще ме прегледа. ПКЯ, никога не съм имала, за всички години, но пък ЗФ предполагам, че ще е първото, за което ще се усъмни лекарката.
Предстои ми преглед при друг лекар, защото искам да получа второ мнение, тъй като няколко месеца, вече нещата се въртят в кръг...
Озадачена съм и за инсулина, че е по-висок... може ли да започвам да развивам ИР? ОТ години поддържам едни кг около 50-51, сега леко съм качила 1 до 2, искам да хвана нещата, докато е време.
Приемам като добавки 2х2000 вит.Д, ФК, доскоро и цинк (сега съм спряла от няколко седмици), витБ12, магнезий.Желязото явно не го усвоявам, защото пия и билкова кръв и наскоро приемах и друг тип желязо (С*рбифер)
Има ли смисъл да пускам отново Е + Прогестерон, ако цикъла предстои до 1-2 дни или е добре за контрола?
Е2, ЛХ, ФСХ и Прогестерон - на 3 ден от МЦ ... след това трябва да те видят и на УЗ
На 7 ден след предполагаема О. - отново Е2 и Прогестерон + УЗ
Добре е да направиш поне 2-ва, поредни МЦ, ФМ + изследване на тези хормони... за да може да се установи какво се случва. От произволни и хаотични изследвания, няма много полза и това те обърква още повече.
Изследвания + УЗ, се допълват много добре (информативно).
Ако го направиш, ще чакам да споделяш какво се случва, моля.

Скрит текст:





Денис, благодаря от сърце Yellow Heart
Днес бях на лекар, доста дълъг преглед ми направи... тъй като се засече с 2ри ден от МЦ.. Видя се че имам ехоразнородна формация -14 мм(ЗФ), който другата седмица ще гледаме отново.Вероятно от там високия естрадиол идва и явно се е получило за втори път да имам, почти поредни МЦ.
Утре ще пускам хормоните, но предполагам няма да са добре, предвид че се видя само 1 тръгнало по-голямо фоликолче..и няколко мини, които няма да се развият.
Искаше да ми изпише противозачатъчни (1 месец), но после каза че ще е прогерстеронов вариант, сигурно, следващия път ще ми го изпише, като види и изследванията.
За съжаление не се видя полипа обаче, вероятно защото не е подходящо сега и той ще се търси следващия път, за да види дали ще се наложи хистероскопия (имам и едно малко миомно възелче).
Та това е за сега.

# 731
  • София
  • Мнения: 38 353
Здравейте! От 8 месеца приемам л-тироксин 0,25 с цел забременяване, назначено от д-р Начев след като ТСХ показателите ми тогава бяха 2,8. Успявах до преди близо два мсеца да сваля до 2.1 като след това ми октриха
Скрит текст:
СИБО и диетата ми рязко се промени, тъй като не мога да приемам никакви бобови и подобни, почти никаква "зеленина" и т.н.
Преди 2 седмици изследвах и получих следните резултати (гастрото каза, че вероятно ми се е забързал метаболизма), като вит Д започнах да взимам и не съм правила почивка (за това е малко по-"завишен"):
Скрит текст:


Реших, че трябва да намаля дозата на л-тироксина и започнах прием през ден, но днес виждам двойно увеличение.. Започвам отново всяка сутрин и ще изследвам след 3 седмици отново, но исках да получа съвет за това как да продължа приема, като трябва да приемам вит Д и фолиева (много е ниска) + витамин Б12.. и дали трябва да се притеснявам и да се сръжа с ендокринолог за това покачване. Нужно ли е да изследвам друг показател?

Скрит текст:
Здравей!
Ако си с Хипофункция на ЩЖ, няма значение дали се е забързал метаболизма или не - не трябва да си променяш дозата и схемата на прием, защото това само стресира ЩЖ.
При първото изследване: ТСХ е добре, но Т4 е нисък и показва, че дозата ти е ниска и че си с Хипофункция на ЩЖ.
В12, ФК и вит. Д са ниски.
При второто изследване: ТСХ е висок, а Т4 е нисък - показват също, че си с Хипофункция на ЩЖ.
ФК отново е много ниска.
Феритинът е желателно да е около 100 - за да е от полза и за ЩЖ.
Лекарят да ти определи дозата и си я приемай стриктно, без да си правиш експерименти, защото може само да си навредиш.

# 732
  • Мнения: 1 488
Благодаря, ти, Денис. Да, за декември имам час при ендокринолог. Мислех след 10-тина дни като се пада около 7 след овулация да пусна естрадиол, прогестерон, кортизол и витамините. Ще спра желязото да го тествам и него тогава. Кръвната захар винаги ми е била около 5 на гладно, но аз си похапвах сладко в последно време. За витамин Д, четох, че не е нужно спирането, пръскам си на бетер ю спрея с вит К, 3 впръсквания, но моят беше на долна граница юни, както и вит Б12, и фолиевата.

Последна редакция: пн, 18 ное 2024, 20:02 от hoaxy

# 733
  • София
  • Мнения: 38 353
Скрит текст:
Скрит текст:
Здравей Денис Simple Smile
Мога ли да те помоля да погледнеш тези резултати, тъй като ми престои преглед на 18.11. но искам да имам
Скрит текст:
някои насоки преди това Yellow Heart
Здравей Денис и мили момичета ! Писала съм и преди и съм получавала страхотен отзив и съвети. Сега отново бих искала да помоля да хвърлите поглед. На 41 г и неуспешно се боря с регилиране на хормони, с цел забременяване. Това са изследвания пуснати 7 дни, след преполагаема овулация(която така и не засякох на тестовете за ову). бях на преглед преди това и се видя порастнал фоликул, който предстоеше уж до 2-3 дни.. За лекаря всичко изглеждаше чудесно и ме прати да съм правила опити. Хубаводе, но няколко месеца поред съм с доста висок естрадиол, който на 3ти ден е около 440 , а след овулация е 1440.. Вече втори месец, Също повишен ми е и прогестерона, почти двойно.
Прилагам изследванията, отдолу. Обръщам внимание, че имам и ниско желязо.. и хемоглобина ми е около 112, последно измерен. Изследвала съм б12, в средата съм, знам че трябва да са горни граници, Вит, Д също приемам.
Едва ли всеки месец е ЗФ, но не го изключвам, макар че на прегледите не се вижда нищо, добре ми е лигавицата..
Получих кървене между цикъла, което се видя че може би имам за махане едно мини полипче и предстои да го махам, като според лекарката ще е по-леката процедура, нямало нужда от хистероскопия.. Според нея се намирам в перименопауза и в момента образувам повече фоликулии затова ми е висок естрадиола.. НО това малко ме съмнява, че е ок толкова време да е така.
Ще съм благодарна на вашето мнение Purple Heart
Скрит текст:

Здравей!
Е2 и Прогестеронът са доста високи - ако няма бременност, може да е от О., но да има и ЗФ, киста... които също да  продуцират тези два хормона и от там и по-високите им нива. Друга причина, да си с ПКЯ + да е имало О., друга причина -  Инсулинът е висок, може от там да си с по-високи нива на естрогените, 17 ОН прогестерон .. + да е имало и О......
Денис, благодаря от сърце за вниманието и насоките Yellow Heart
И аз имах подобни съмнения и съм доста объркана от двата завишени хормона (Е +прогестерона). При предишните ми такива, отново бяха завишени и като ги изпратих на лекарката тя смяташе, че може да е бременност .
Ами бременност нямаше, както и предполагам и сега. За съжаление цикъла се очаква съвсем тези 2-3 дни , а прегледа ми е на 18.11 не успях да променя часа за по-ранен, дори се очаква да съм в първите си дни на МЦ и не знам как ще ме прегледа. ПКЯ, никога не съм имала, за всички години, но пък ЗФ предполагам, че ще е първото, за което ще се усъмни лекарката.
Предстои ми преглед при друг лекар, защото искам да получа второ мнение, тъй като няколко месеца, вече нещата се въртят в кръг...
Озадачена съм и за инсулина, че е по-висок... може ли да започвам да развивам ИР? ОТ години поддържам едни кг около 50-51, сега леко съм качила 1 до 2, искам да хвана нещата, докато е време.
Приемам като добавки 2х2000 вит.Д, ФК, доскоро и цинк (сега съм спряла от няколко седмици), витБ12, магнезий.Желязото явно не го усвоявам, защото пия и билкова кръв и наскоро приемах и друг тип желязо (С*рбифер)
Има ли смисъл да пускам отново Е + Прогестерон, ако цикъла предстои до 1-2 дни или е добре за контрола?
Е2, ЛХ, ФСХ и Прогестерон - на 3 ден от МЦ ... след това трябва да те видят и на УЗ
На 7 ден след предполагаема О. - отново Е2 и Прогестерон + УЗ
Добре е да направиш поне 2-ва, поредни МЦ, ФМ + изследване на тези хормони... за да може да се установи какво се случва. От произволни и хаотични изследвания, няма много полза и това те обърква още повече.
Изследвания + УЗ, се допълват много добре (информативно).
Ако го направиш, ще чакам да споделяш какво се случва, моля.

Скрит текст:





Денис, благодаря от сърце Yellow Heart
Днес бях на лекар, доста дълъг преглед ми направи... тъй като се засече с 2ри ден от МЦ.. Видя се че имам ехоразнородна формация -14 мм(ЗФ), който другата седмица ще гледаме отново.Вероятно от там високия естрадиол идва и явно се е получило за втори път да имам, почти поредни МЦ.
Утре ще пускам хормоните, но предполагам няма да са добре, предвид че се видя само 1 тръгнало по-голямо фоликолче..и няколко мини, които няма да се развият.
Искаше да ми изпише противозачатъчни (1 месец), но после каза че ще е прогерстеронов вариант, сигурно, следващия път ще ми го изпише, като види и изследванията.
За съжаление не се видя полипа обаче, вероятно защото не е подходящо сега и той ще се търси следващия път, за да види дали ще се наложи хистероскопия (имам и едно малко миомно възелче).
Та това е за сега.
И аз благодаря, че сподели.
Ако задържаш фоликули, попитай лекаря дали не е ЛУФ ( при него има по-високи нива на Прогестерона)... макар, че и за лекарите е трудно да го установяват, защото трябват повече изследвания и УЗ прегледи.
За медикамента - каквото и да ти препоръча ще бъде от полза, защото по-бързо ще изчезват и ще подпомагат и следващия МЦ.
За изследванията - да, най-вероятно няма да са Ок., но това е нормално, защото те показват какво е положението с текущия МЦ и какво да се очаква.
Хубавото е, че горе-долу има вече някаква яснота, остава лекаря да прецени и да приложи най-удачния за теб подход. Нищо страшно, действай смело Peace
Ще чакам новини ... все по-хубави

# 734
  • Мнения: 80
Скрит текст:
Здравейте! От 8 месеца приемам л-тироксин 0,25 с цел забременяване, назначено от д-р Начев след като ТСХ показателите ми тогава бяха 2,8. Успявах до преди близо два мсеца да сваля до 2.1 като след това ми октриха
Скрит текст:
СИБО и диетата ми рязко се промени, тъй като не мога да приемам никакви бобови и подобни, почти никаква "зеленина" и т.н.
Преди 2 седмици изследвах и получих следните резултати (гастрото каза, че вероятно ми се е забързал метаболизма), като вит Д започнах да взимам и не съм правила почивка (за това е малко по-"завишен"):
Скрит текст:


Реших, че трябва да намаля дозата на л-тироксина и започнах прием през ден, но днес виждам двойно увеличение.. Започвам отново всяка сутрин и ще изследвам след 3 седмици отново, но исках да получа съвет за това как да продължа приема, като трябва да приемам вит Д и фолиева (много е ниска) + витамин Б12.. и дали трябва да се притеснявам и да се сръжа с ендокринолог за това покачване. Нужно ли е да изследвам друг показател?

Скрит текст:
[/quote]
Здравей!
Ако си с Хипофункция на ЩЖ, няма значение дали се е забързал метаболизма или не - не трябва да си променяш дозата и схемата на прием, защото това само стресира ЩЖ.
При първото изследване: ТСХ е добре, но Т4 е нисък и показва, че дозата ти е ниска и че си с Хипофункция на ЩЖ.
В12, ФК и вит. Д са ниски.
При второто изследване: ТСХ е висок, а Т4 е нисък - показват също, че си с Хипофункция на ЩЖ.
ФК отново е много ниска.
Феритинът е желателно да е около 100 - за да е от полза и за ЩЖ.
Лекарят да ти определи дозата и си я приемай стриктно, без да си правиш експерименти, защото може само да си навредиш.
[/quote]

Много благодаря за коментара! Интересното е, че не са ми споменали до момента да съм с хипофункция, а и аз нямам представа как да разчета резултатите... Ще запазя час вероятно за януари и муждувременно ще изследвам пак в декември..
Относно феритина - ще започна прием на вит. Ц.. доста ми се събират добавките. Дали приема според схемата по-долу е удачен:

Л-тироксин в 8:00ч
Фолиева (след храна) в 14:00ч
Вит. Д и Б12 в 15:00-16:00ч
Вит. Ц (след храна) 19:00ч

Между храненията взимам и ензимил, както и една добавка с лайка, нар, живовлек, маточина, тимокс и фенел (изписани от гастроентеролозите).

Общи условия

Активация на акаунт