Отговори
# 435
  • Мнения: 6 953
И аз ги изкарвам 63.
Без нищо.     - 3
С по 1 сос.    - 12
С 2 соса.       -  48
Като приемам, че втората добавка може да е същата като първата.

# 436
  • Мнения: 2 285
Моето тълкувание е такова:
1 основна, без добавки; 4 разл. варианта с 1 добавка; 6 разл. варианта с 2 добавки.
(1 + 4 + 6) х 3 размера = 33.

Ооо, W откри къде е заровено кучето. Hug
Ако се сложи 2 пъти една и съща добавка, това прави още 4 х 3 = 12 пици и така докарваме отговора, който е 45.

# 437
  • София
  • Мнения: 20 169
Ми според мен не са 45,а  повече. Ако двойната доза сос  е еднаква с единичната при иначе равен размер на пицата,  са 51. Иначе са 63.
1.3 + 3.4 +3.4.4  (-12) = 63 или 51

# 438
  • Мнения: 492
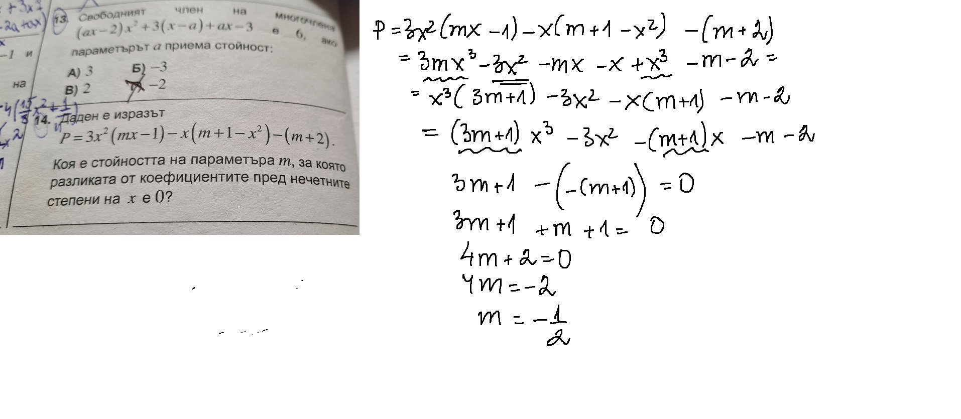
Здравейте,може ли помощ за тази задача  за 7 клас-многочлени.Не разбираме какво иска да каже авторът с тези коефициенти.Детето е докарало многочлена до вида 3mx-3х на втора-хm-xx на трета -m-2   и дотук.Нататък не знаем какво се.прави.

# 439
# 440
  • Мнения: 492
Пенсионирана русалка,а как преминахте от 4 на 5 ред в решението,къде изчезват хиксовете и откъде се появи нулата🤪

# 441
  • Мнения: 9 252
Търси се разликата от коефициентите на нечетните степени. Нечетни са х на трета степен и х на първа. Числата с които са умножени тези х е написала Русалка. А нулата е защото се търси разликата да е нула.

Последна редакция: пн, 06 мар 2023, 20:31 от Dincho

# 442
  • Пловдив
  • Мнения: 4 176
Помощ с подточка б:

# 443
  • Мнения: 492
Dincho,благодаря,толкова е близко до ума......

# 444
# 445
  • Мнения: 983

30. Отговор:  А) 3.2.2.2.2.2

Решение:


Нека означим квадратите на чертежа с буквите А, Б, В, Г, Д и Е, както е показано на чертежа по-долу.



Нека разделим числата на двойки с разлика 3: 1 – 4; 2 – 5; 3 – 6.

Започваме да попълваме числата в квадратите, стартирайки от квадрат А.

За квадрат А има 6 възможности – всяко едно от шестте числа.

Тогава, за квадрат Г има само една възможност – второто число, което е в двойка с числото записано в А.

За квадрат Б има 4 възможности – всяко от четирите числа, различни от числата записани в А и Г.

За квадрат В има 2 възможности – всяко от двете останали числа, което не са в двойка с числото записано в Б.

За квадрат Д има 2 възможности – всяко от двете останали числа.

За квадрат Е има 1 възможност – последното останало число.

Окончателно, броят различни начини е равен на 6.4.2.1.2.1 = 3.2.2.2.2.2.

# 446
  • София
  • Мнения: 20 169
Dincho,благодаря,толкова е близко до ума......

Мис Сиксти, при тези задачи трябва да се знаят няколко важни неща.
1. Параметърът, в нашия случай m, не е променлива  като х, и затова се причислява към коефицента.
2. Преди да се отговаря на зададени въпроси ce разкриват скоби (ако има), многочленът се привежда в нормален вид, за да са видими коефициентите (съдържащи в повечето случаи параметър) пред различните степени на променливата.
3. Чак след това се отговаря на въпросите.

Използвайте примерно приведeния в нормален вид многочлен от задачатa и пробвайте да отговори детето нa други въпроси:
1. За коя стойност на параметъра m степента на многочлена е с 1 по-ниска?
2. За коя стойност на пaраметъра m коефициентът пред кубичната степен е равен на  свободния член?

ПП Ант, може ли само отговорче (не решение)  на задачата с пиците, ако е  удобно? Чудя се в такива задачи как очакват децата да разберат някои неща - например малка пица с единична доза чеснов сос за същата ли я броим като малка с двойна доза чеснов? Откъм видове продукти е еднаква, да, ама втората е "по-богата" на една от съставките...Joy

Последна редакция: пн, 06 мар 2023, 21:48 от пенсионирана русалка

# 447
  • Пловдив
  • Мнения: 4 176
Благодаря.
Ние решихме, че щом има ъглополовяща то ъгълът се разделя на два пъти алфа върху две.
И от там се оплетохме в някакви хамалски сметки.

# 448
  • Мнения: 983
ПП Ант, може ли само отговорче (не решение)  на задачата с пиците, ако е  удобно?

Аз бих решил задачата с презумпцията, че, например, малка пица с единичен пикантен сос с гъби и малка пица с двоен пикантен сос с гъби са два различни варианта.

В този случай, ако за краткост означим сосовете с А, Б, В и Г, то ще имаме 15 различни варианта за сосове – без сос, А, Б, В, Г, АА, ББ, ВВ, ГГ, АБ, АВ, АГ, БВ, БГ, ВГ. Имаме 3 варианта за размера на пицата, откъдето, получаваме общо 15.3 = 45 варианта.

# 449
  • София
  • Мнения: 20 169
Благодаря Simple Smile И все пак си мисля, че е редно задачите да  са така формулирани, че да не допускат различни начини на тълкуване. Ако това е състезание и едно дете я реши задачата с презумпцията, че са два различни варианта, а друго ги приеме за един, кое ще получи точките - това, чието тълкувание просто съвпада с това на автора на задачата...

Общи условия

Активация на акаунт