Пусти неудачи с няколко задачи - някой ако смогне, нека да помогне :)

  • 32 080
  • 780
  •   1
Отговори
# 660
  • Мнения: 930
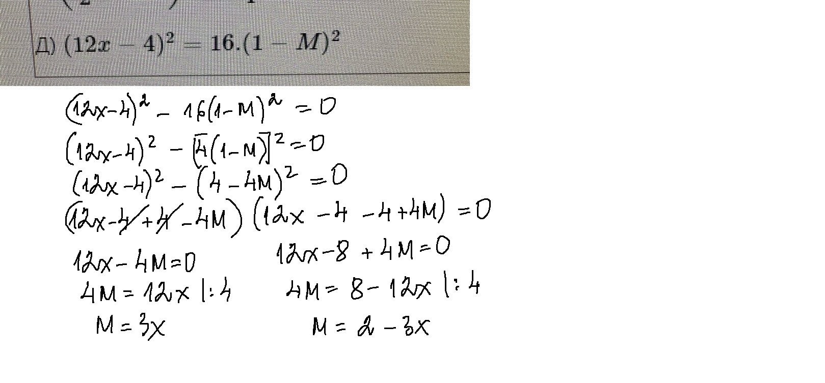
Моля някой да разпише решението на това уравнение за неизвестното М. (седми клас)
Благодаря предварително!

# 661
  • Sofia
  • Мнения: 214
По диагонал ли ги преброихте 5?
Намира се с Питагорова теорема
Моля някой да разпише решението на това уравнение за неизвестното М. (седми клас)
Благодаря предварително!

Моля някой да разпише решението на това уравнение за неизвестното М. (седми клас)
Благодаря предварително!

# 662
  • Пловдив
  • Мнения: 4 176
По диагонал ли ги преброихте 5?
Намира се с Питагорова теорема
Уф, вярно.
Благодаря!

# 663
  • Мнения: 930
Благодаря, Sashy! И ние до там го докарваме, но отговора е 3x (вероятно е грешен).

# 664
  • София
  • Мнения: 20 183



За да е е само 3 х отговорът, трябва да има още нещо в условието, примерно, че М е едночлен. Във втория вариант е  многочлен и тогава този отговор ще отпадне.

# 665
  • Sofia
  • Мнения: 214
Благодаря, Sashy! И ние до там го докарваме, но отговора е 3x (вероятно е грешен).
Ако се разложи се получава и другият отговор. Пенсионирана Русалка го е решила

# 666
  • Мнения: 5
(12x-4)^2=16(1-M)^2
(12x-4)^2=[4(1-M)]^2
(12x-4)^2-(4-4M)^2=0
(12X-4-4+4M)(12x-4+4-4M)=0
12x-8+4M=0 =>M=2-3x
12x-4M=0=>M=3x

# 667
  • Мнения: 51
Здравейте, моля пак за помощ. Задачата е за 7 клас,  Б и В не мога да реша




 

Благодаря!

# 668
  • София
  • Мнения: 502
Не е точно задача, но само аз ли мисля, че отговорът трябва да е корен от 10см, а не 10см.

# 669
  • Пловдив
  • Мнения: 4 176
Може би са искали да напишат 10 дм в условието

# 670
  • София
  • Мнения: 20 183
Не е точно задача, но само аз ли мисля, че отговорът трябва да е корен от 10см, а не 10см.

Правилно си е. 1 кв. дециметър е равен на 100 кв. см. => a^2=100; a>0 a=10 cm. Следователно страната е 10 см =1дм.

# 671
  • София
  • Мнения: 1 610
Квадрат с лице 1 кв.дм има страна 1 дм или 10 см .

# 672
  • Мнения: 9 260
1дм по 1дм е равно на 1дм2

# 673
  • София
  • Мнения: 20 183
Много често срещана грешка е това..Много лесно се пресмятат превръщанията от една в друга мерна единица и без да се учат наизуст множество равенства от учебника.
1 dm = 10cm
1dm^2=10.10 =100 cm^2
1 dm^3=10.10.10= 1000 cm^3

# 674
  • София
  • Мнения: 502
Не е точно задача, но само аз ли мисля, че отговорът трябва да е корен от 10см, а не 10см.

Правилно си е. 1 кв. дециметър е равен на 100 кв. см. => a^2=100; a>0 a=10 cm. Следователно страната е 10 см =1дм.
Благодаря, аз не знам защо си мислех, че 1 кв. дециметър са 10кв. см. Трябва да взема да си я припомня тая математика Laughing

Общи условия

Активация на акаунт