Пусти неудачи с няколко задачи - някой ако смогне, нека да помогне :)

  • 31 971
  • 780
  •   1
Отговори
# 195
# 196
  • Мнения: 63
Здравейте, моля за помощ за 2,3 и 4 задача

# 197
  • Мнения: 31

[/quote
       Благодаря!
Страхотно решение, ясно и добре подредено, не бих се сетил за такова построяване.
       Благодаря Ви още веднъж!

# 198
  • Най-красивата страна
  • Мнения: 13 201
Момичета,може ли помощ?Закъсахме с тия две задачи.

# 199
  • Мнения: 36 388
За 10 зад - сборът на две кои да е страни на триъгълника трябва да е по-голям от третата страна, т.е. най-много може да е 13, а сборът на другите две 15, при 14, сборът става 14 и не е възможно.

# 200
  • Мнения: 9 233
Вероника, какво точно не разбирате в 11 задача? Аз мога да реша неравенството, да пресметна израза, но как това ще ви помогне. Не ви е ясно как се решава неравенство или как се пресмята изразът?

# 201
  • Най-красивата страна
  • Мнения: 13 201
Вероника, какво точно не разбирате в 11 задача? Аз мога да реша неравенството, да пресметна израза, но как това ще ви помогне. Не ви е ясно как се решава неравенство или как се пресмята изразът?

Dincho,не ни е ясно как се пресмята израза.

# 202
  • Мнения: 17 936
Вероника, какво точно не разбирате в 11 задача? Аз мога да реша неравенството, да пресметна израза, но как това ще ви помогне. Не ви е ясно как се решава неравенство или как се пресмята изразът?

Dincho,не ни е ясно как се пресмята израза.

# 203
  • Мнения: 9 233
Вероника, ще се опитам да обясня
7 на степен -2 е равно на 1 върху 7 на втора.
Делено на (-1/7) е равно на умножено по -7
И така изразът става:
21 по -7 разделено на 7 на втора.
Равно на -3
21(-7)/7^2= -21/7=-3

Неравенството решихте ли?

Мама Ру, формулата за сума на квадрат е (а+b)^2= a^2 + 2ab + b^2
В случая (х+3)^2=x^2+6x+9

Последна редакция: вт, 18 апр 2023, 19:21 от Dincho

# 204
  • Мнения: 17 936
Видях, сбъркала съм и вместо 9 съм написала 6. Благодаря

# 205
  • Мнения: 492
Здравейте,може ли помощ със задача 19 от едно НВО за 7- ми клас:

# 206
  • Мнения: 9 233
Здравейте,може ли помощ със задача 19 от едно НВО за 7- ми клас:

# 207
  • Мнения: 87
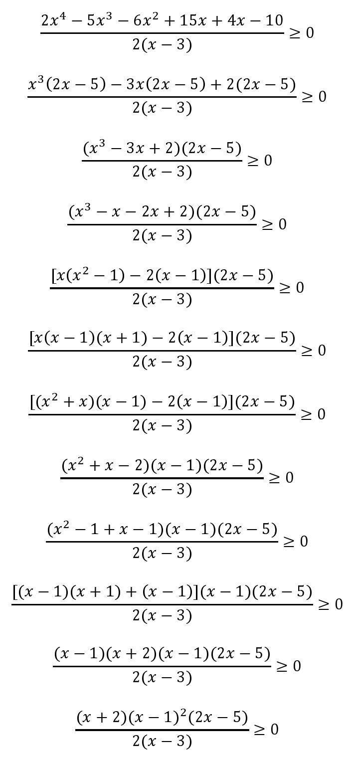
Може ли помощ за представянето на това неравенство чрез метода на интервалите:



Получава се: [-2; -1) U (-1; 2.5] U (3; + безкрайност)

ДС: x ≠ -1; 3

# 208
  • Мнения: 3 604
Откъде пък идва отпадането на - 1.
Като заместим с - 1 си се получава изпълнено неравенство. След разлагането се получи:
((х+2)(2х-5)(х-1)^2)/(х-3)
х-1 не го разглеждаме, защото е на втора степен. Неравенството е нестрого обаче и х=1 е решение и трябва да го имаме предвид.
Имаме х [-2;5/2] обединено с (3; безкрайност). 1 си попада в интервала с решенията.

По-късно ще измисля разлагането, че сега хитрувах и ползвах схема на Хорнер, а ти питаш за 10 клас знам.

# 209
  • Мнения: 983
Може ли помощ за представянето на това неравенство чрез метода на интервалите:



Общи условия

Активация на акаунт