Отговори
# 645
  • София
  • Мнения: 20 137
Пенсионирана русалка, много благодаря.
Винаги ли по този начин се решават този тип задачи?
Ще прегледам внимателно.
Ми общо взето, да, няма особено много варианти, понеже всичко опира до прилагането на формули за общия член на редицата, за сумата от нейните членове,   до това кога тя е растяща, кога е намаляваща, до нейните свойства (средно аритметично при едната и средно геометрично при другата), за прилагането  на почленно деление в системите за геометрична прогресия...

# 646
  • Мнения: 17 870
Мексито, изтрила си всичко. Нямах време да напиша и да пробвам поне някои да разчета.
Последната за работа
Първият работник извършва работа  Х за 2 часа, за 1 час извършва 1/2 от х
Вторият работник извършва работата Х за 3 часа, за един час ще извърши 1/3 от х
х/2 + х/3 = 1
Привеждаме под общ знаменател
(3х + 2х)/6= 1
5х= 1*6
х= 6:5= 1 и 1/5 ,което превърнато в часове и минути е 1 час и 12 минути

# 647
  • София
  • Мнения: 8 448
Моля за помощ за решение на тези две задачи:




# 648
  • Мнения: 9 539
Моля за помощ за решение на тези две задачи:
Скрит текст:




x5y2+x2y5=x2y2(x3+y3)
и се замества с дадените стойности...


Ъгъла долу при c =180-156=24o
24o+x=46o

# 649
  • София
  • Мнения: 8 448
peneva_a, от сърце ти благодаря!

# 650
  • София
  • Мнения: 502
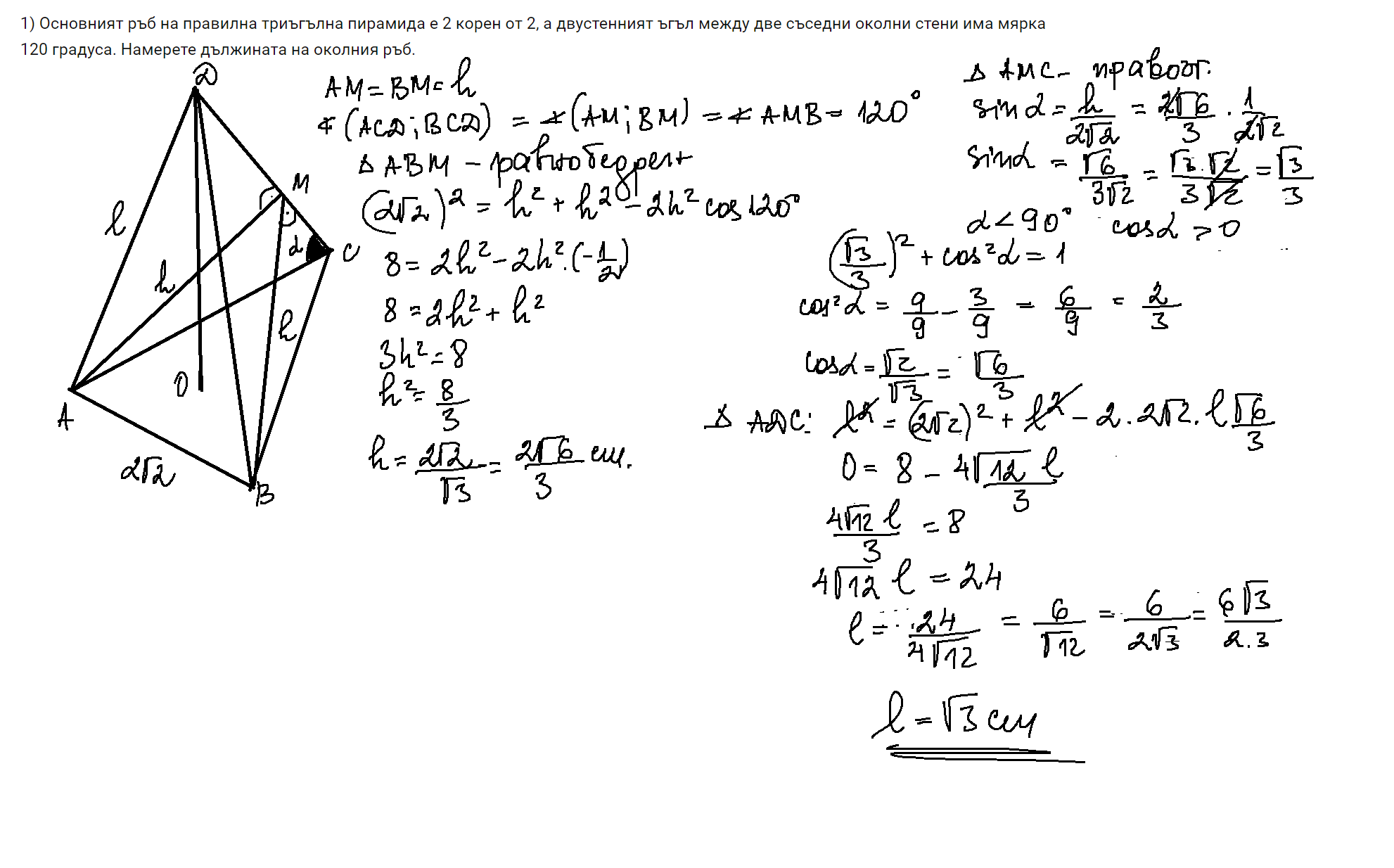
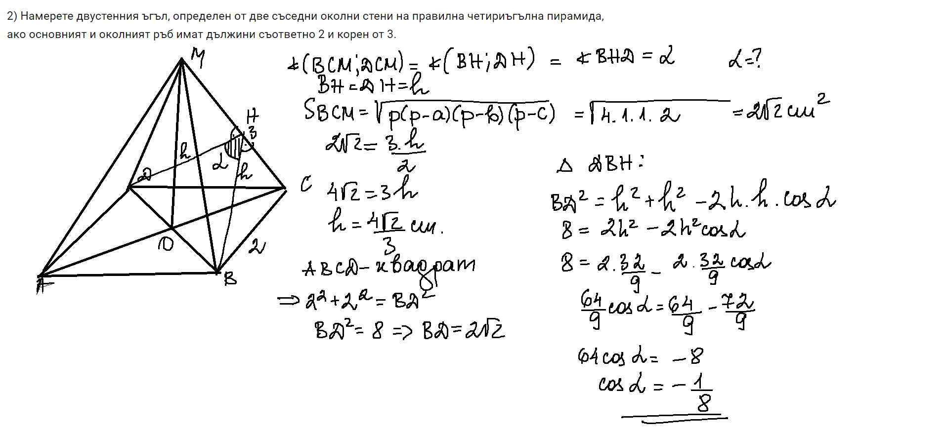
Здравейте, може ли да помогнете с тези две задачи за 11. клас (профилирана подготовка)?

1) Основният ръб на правилна триъгълна пирамида е 2 корен от 2, а двустенният ъгъл между две съседни околни стени има мярка 120 градуса. Намерете дължината на околния ръб.

2) Намерете двустенния ъгъл, определен от две съседни околни стени на правилна четириъгълна пирамида, ако основният и околният ръб имат дължини съответно 2 и корен от 3.

# 651
  • София
  • Мнения: 20 137

Последна редакция: чт, 22 фев 2024, 22:31 от пенсионирана русалка

# 652
  • Мнения: 3 179
Моля за решение /6 клас/!
Намерете сбора на 2001 последователни естествени числа, ако най-малкото и най-голямото от тях са обратнопропорционални на 0,(3) и 0,0(6).

# 653
  • София
  • Мнения: 20 137
Моля за решение /6 клас/!
Намерете сбора на 2001 последователни естествени числа, ако най-малкото и най-голямото от тях са обратнопропорционални на 0,(3) и 0,0(6).
А1+ А2+А3 +...........А2001=?
А1/ А2001 = 0, 0(6)/0,(3)
А1/А2001 = (1/15) : (1/3)
А1/А2001 =1/5
А1=х; А2001=5х
А1 =х; А2=х+1; А3 =х+2........................А2001=х+2000
=> х+2000 = 5х
-4х= -2000
х=500
А1=500;  А2001=2500
А1+ А2+А3 +...........А2001  = 3 001 500

# 654
  • София
  • Мнения: 301
Моля за помощ за следната задача:

Търговец направил за 1 месец две намаления от по 10 процента на стоката в магазина. След второто намаление клиент си купил яке за 121,50 лв.
а - Колко лева е струвало първоначално якето?
Имаме отговора, но не знаем как да направим да направим уравнението. Ние приемаме, че цената е 80 процента от първоначалната, но така не излиза като напишем 80 процента от х е равно на 121,50 лв.

# 655
  • Мнения: 9 196
Якето струва сега 121.50.
Това е 90% х*0.9=121.50
х=135
Тези 135 пък са 90% от първоначалната цена
х*0.9=135
х=150 първоначална цена.

# 656
  • Мнения: 1 953
0,9.x - 0,1.0,9.x = 121,50
0,81.x = 121,50
x = 150 лв.

# 657
  • София
  • Мнения: 301
Много ви благодаря, моля за помощ за още една задача-
В склад имало запас от царевица. През първото тримесечие изразходвали 20 процента от нея, а през второто - 25 процента от останалото количество, след което останали 25200 тона. Колко тона царевица е имало първоначално в склада?
Ние решихме, че тези 25200 тона са 55 процента от 100 процента, но се оказва, че са 60 процента, как така??

# 658
  • Мнения: 623
Здравейте! Може ли помощ за следните две задачи за 7 клас?  За съжаление, задачите с доказване ни затрудняват.

# 659
  • Мнения: 1 953
Много ви благодаря, моля за помощ за още една задача-
В склад имало запас от царевица. През първото тримесечие изразходвали 20 процента от нея, а през второто - 25 процента от останалото количество, след което останали 25200 тона. Колко тона царевица е имало първоначално в склада?
Ние решихме, че тези 25200 тона са 55 процента от 100 процента, но се оказва, че са 60 процента, как така??
По същия начин става, както предишната задача - втория път трябва да намалите от останалото количество:
0,8.х - 0,25.0,8.х = 25 200
0,8.х - 0,2.х = 25 200

Здравейте! Може ли помощ за следните две задачи за 7 клас?  За съжаление, задачите с доказване ни затрудняват.
Ако свържем точки A и B с центъра на окръжността, получаваме равнобедрен тригълник с основа AB (АО и BO радиуси).

Последна редакция: пт, 23 фев 2024, 11:45 от Lúthien

Общи условия

Активация на акаунт