Отговори
# 675
  • Мнения: 520
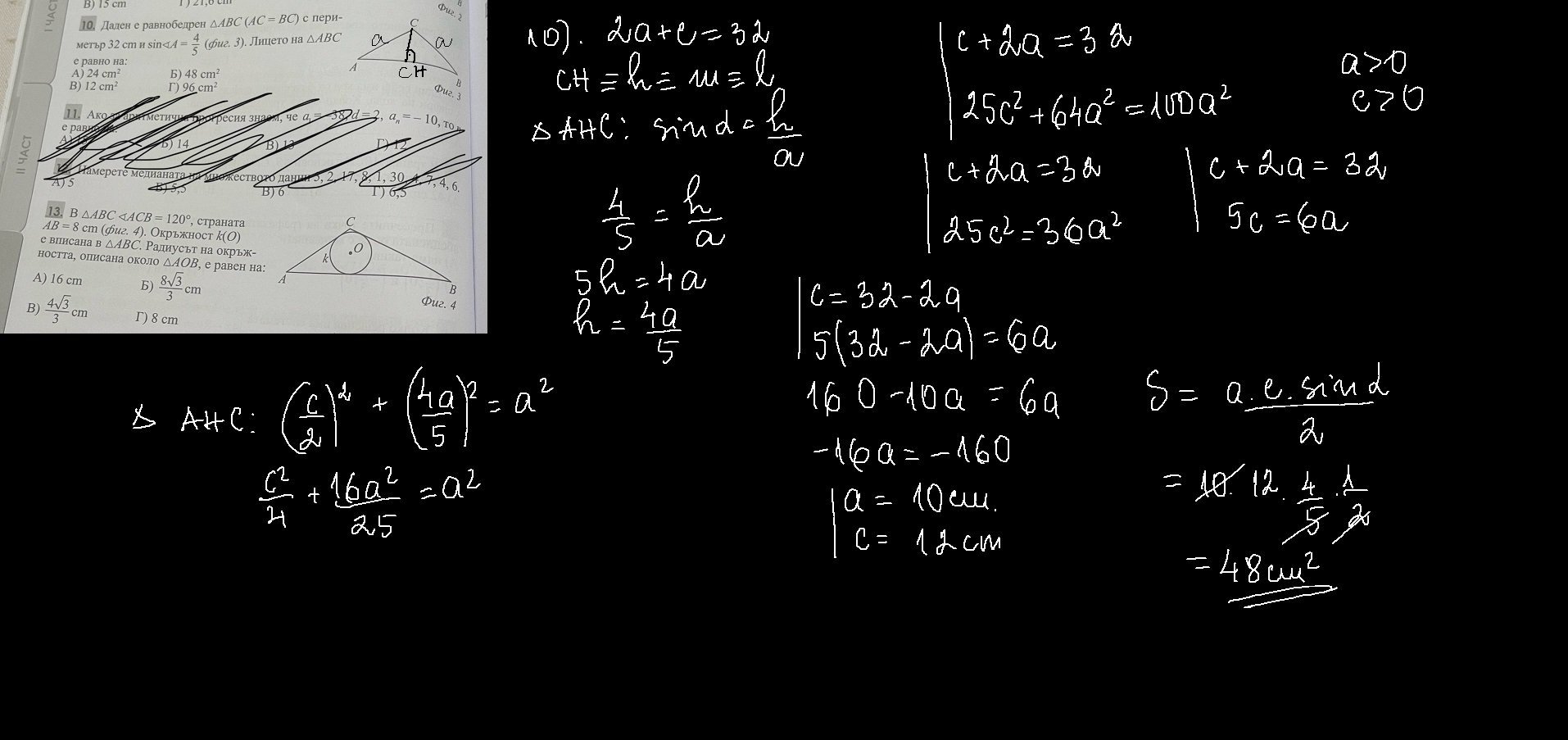
Здравейте, ще може ли някой да помогне със задача за 9 клас по Математика:
зад.5 , подточка б

# 676
# 677
  • Мнения: 520
пенсионирана русалка, многооо ти благодаря.
Ако смяташ, че не е много нахално, ще може ли и 9 зад, под.А

# 678
# 679
# 680
  • Мнения: 5
Здравейте, може ли помощ за тази задача? Струва ми се че в условието има някаква грешка. За седми клас е.

# 681
  • Мнения: 3 592
АОС ще е равнобедрен, защото АО=ОВ (т.О лежи на симетралата на АB s1)
OB=OC (т.О лежи на симетралата на BC s2)
=> АО=ОС, значи имаме АОС равнобедрен триъгълник, като изключим тънката вероятност А, О и С да лежат на една права.

За б) Тъй като ВА е перпендикулярна на s1, а ВС е перпендикулярна на s2. Щом правите са успоредни, перпендикулерните им прави също са успоредни. s1 и s2 имат обаче обща точка => съвпадат или А, В и С лежат на една права.

Ако ще сме запетайковци обаче, за да се реши задачата трябва пергел, това се използва в построителни задачи - безразмерна линия и пергел. Тук като се продължи АО с пергел се взема разстоянието АО, за да се направи дъга от окръжност с център О, радиус АО и пресечената и точка с продължението на перпендикуляра от А към s1. Тя ще бъде В. Втори начин за построението е с пергела да се взема разстоянието от А до петата на перпендикуляра от А до s1 и то да се пренесе в другата полуравнина (т.е. от другата страна на s1). Пак се прави дъга на окръжност, за да се намери пресечената точка с правата (А и петата на перпендикуляра).
Това в обичайните задачи за построение. Тук обаче говорят за  "чертожен триъгълник" (тази дума бих употребила само, ако си мисля, че този отсреща може да реши, че говоря за триъгълника в колата), може да се ползва правия ъгъл и това, че можем да измерим разстояние. Т.е. тук като си измерим разстоянието от А до петата, ще го използваме за намиране на В. За втората част на построението от В ще построим перпендикулярна от В към s2 Ще измерим полученото разстояние и ще си фиксираме т. С.

# 682
  • В Страната на чудесата
  • Мнения: 413
Нещо явно пропускаме, но не разбирам какво. Бихте дали отговор и обосновка на следната задача:

# 683
  • Мнения: 17 870
Може ли решение с обяснение на  задача 9 за 7 клас?


Алиса, според мен, вярно е само второто твърдение, но нека математиците кажат.

# 684
  • София
  • Мнения: 1 609
Нещо явно пропускаме, но не разбирам какво. Бихте дали отговор и обосновка на следната задача:



Само твърдение 2 е вярно.

# 685
  • Мнения: 17 870
Нещо явно пропускаме, но не разбирам какво. Бихте дали отговор и обосновка на следната задача:


Алиса, ако говорим за права, то тя е 180°, следователно, когато я пресича друга права ще имаме или.прави ъгли или един остър и един тъп (подточка А)
в) противоположни / кръстни ъгли са равни, следователно техният сбор може да по-малък или по-голям от 180°, но 180 ще е само, ако ъглите са прави.
г) 2024 - 2024х = 2024 + 2024х
-2024х - 2024х= 2024-2024
- 4048х= 0
х= 0

# 686
  • В Страната на чудесата
  • Мнения: 413
Благодаря, за верен е даден отговор А) 0 и оттам и чуденката.
Не виждам вариант съответните ъгли да не са равни.
Не е добре, когато на пробен изпит на реномирана школа има най-редовно по 2-3 сгрешени/некоректно зададени задачи. Въобще не е добре.

# 687
  • Мнения: X
Съответните ъгли са равни, ако двете прави, които са пресечени с третата, са успоредни.

# 688
  • В Страната на чудесата
  • Мнения: 413
Съответните ъгли са равни, ако двете прави, които са пресечени с третата, са успоредни.

Това е което търся. Благодаря, Дидева!
Т.е. наименованието "съответни ъгли" не се отнася по подразбиране само за ъгли, образувани при пресичането на 2 успоредни прави с трета?

А за тази задача какво мислите?

Последна редакция: нд, 25 фев 2024, 14:25 от Алисса

# 689
  • Мнения: 1 953
Точните степен при числата до 12 са 3 - 1, 4 и 9. Вероятността би трябвало да е 1/4 Thinking

Общи условия

Активация на акаунт