Отговори
# 270
  • Мнения: 647
Здравейте!Не успява моето дете да реши зад.17.Има нужда от помощ. Благодаря  предварително. 🙂Задачата е за седми клас.

# 271
  • Мнения: 6 953
Може ли малко помощ за нещо елементарно?

7 клас. Вчера са започнали нов раздел и са взели два урока. Признавам си, на мен ми е много трудно да разбера нещо от записките й, или от учебника на "Архимед". Тя днес ще пита учителката, но моля, някой да ми обясни принципа за решаване на тези задачи (2 и 3), чувствам се като иди0т, гледайки ги.
Мама Ру, предполагам, че учат свойства на неравенствата.
Също като при уравненията може всяка от страна да се вади или добавя едно и също число (израз) и се запазва неравенството. Може също така страните да се умножават или делят, с тази разлика, че ако се умножава/дели с отрицателно число, тогава се обръща знака на неравенството.
В задача 3. е показано как се записва операцията. Е, малко е сбутано така печатно и може би те заблуждава, но това в края е знакът, че тази операция (примерно в а) умножение по 3) се прилага върху двете страни.

# 272
  • София
  • Мнения: 2 677
Мама Ру, виж решената първа задача от урока, същото е.
Учебникът на Архимед е песен, не си видяла този на САНПРО що за ужас е.

# 273
  • Мнения: 17 955
Благодаря ви.
Да, свойства на неравенствата е.
Да видим дали съм разбрала. Задача 2:
7<21|:7
1<3

48>24 |:24
2>1

# 274
  • Варна
  • Мнения: 490
Здравейте!Не успява моето дете да реши зад.17.Има нужда от помощ. Благодаря  предварително. 🙂Задачата е за седми клас.

# 275
  • Мнения: 647
Благодаря  Ви.
Здравейте!Не успява моето дете да реши зад.17.Има нужда от помощ. Благодаря  предварително. 🙂Задачата е за седми клас.


# 276
  • Мнения: 9 243
Мячик, не е съвсем подробно, но мисля

# 277
  • в морето до колене
  • Мнения: 2 508
Dincho, много благодаря!
Ориентирам се.
Аз вече казвах, че ми нужно някой да ми посочи какво да гледам...
Това за мадианата не ми хрумна, признавам си. Flushed

# 278
  • София
  • Мнения: 502
Добър ден, може ли да помогнете с тези две задачи за 11. клас (профилирана подготовка)?

1) В правилна триъгълна пирамида ABCD точка О е медицентър на основата ѝ ABC. Ако АВ=DO=3, намерете лицето на сечението на пирамидата с равнина λ, която минава през точка О и е перпендикулярна на ръба DC.

2) Точка М е средата на ръба DC на правилен тетраедър ABCD с дължина на ръба, равна на а.
а) Намерете обема на тетраедъра.
б) Ако а е 2 корен от 2, намерете лицето на сечението на тетраедъра с равнина λ, която минава през точките B и М и е успоредна на АD.

# 279
# 280
  • София
  • Мнения: 502
Много благодаря, ganis!

# 281
  • Мнения: 35
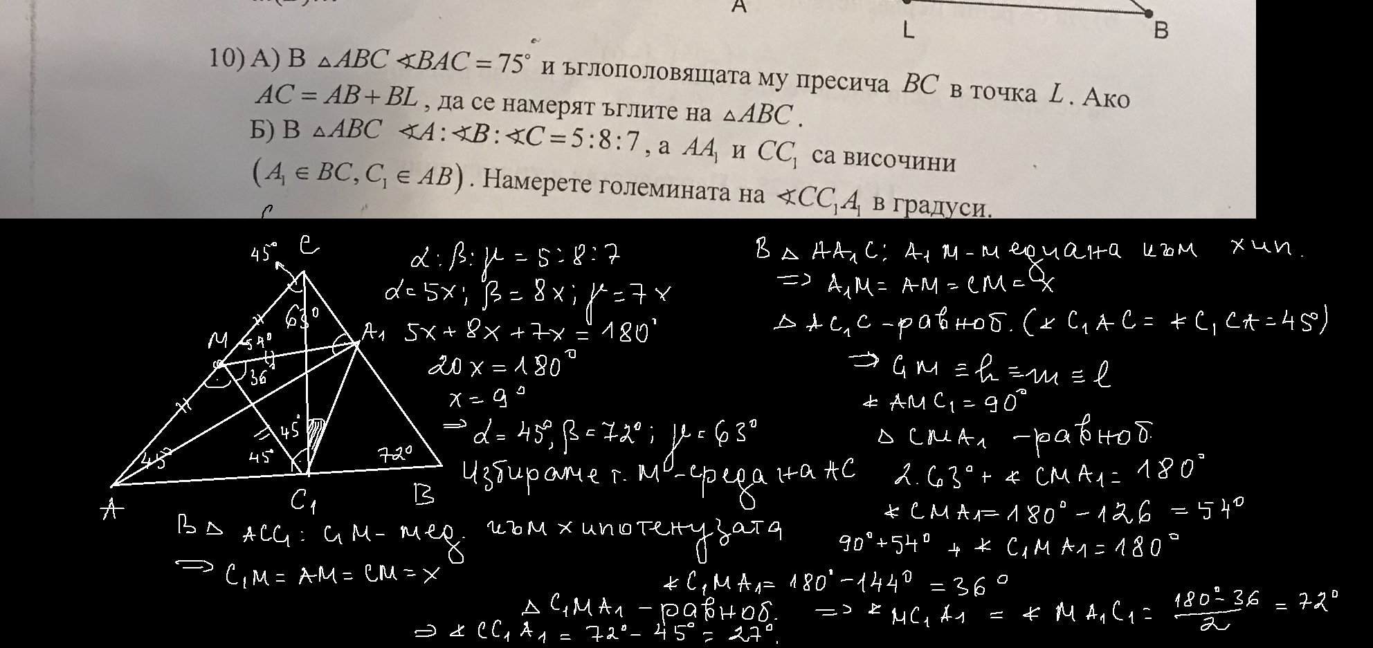
Здравейте, имам трудност с една задача за седми клас. Ще съм благодарна ако някой даде едно рамо!

# 282
  • София
  • Мнения: 20 169
Здравейте, имам трудност с една задача за седми клас. Ще съм благодарна ако някой даде едно рамо!
с допълнителни построения Simple Smile


Последна редакция: ср, 20 мар 2024, 19:45 от пенсионирана русалка

# 283
  • Мнения: 35
Много ви благодаря! Хубаво вечер!

# 284
  • София
  • Мнения: 20 169
Пуснах сега и втората подточка, пак с доп. построение Simple Smile

Общи условия

Активация на акаунт