Отговори
# 300
  • Бургас
  • Мнения: 2 008


Може ли да се намерят задачите от КС изпити по математика за УНСС ? Дори в сайта им, "Примерни КС изпити " не може да се отвори, защото няма връзка със сървъра.

# 301
  • Мнения: 17 953
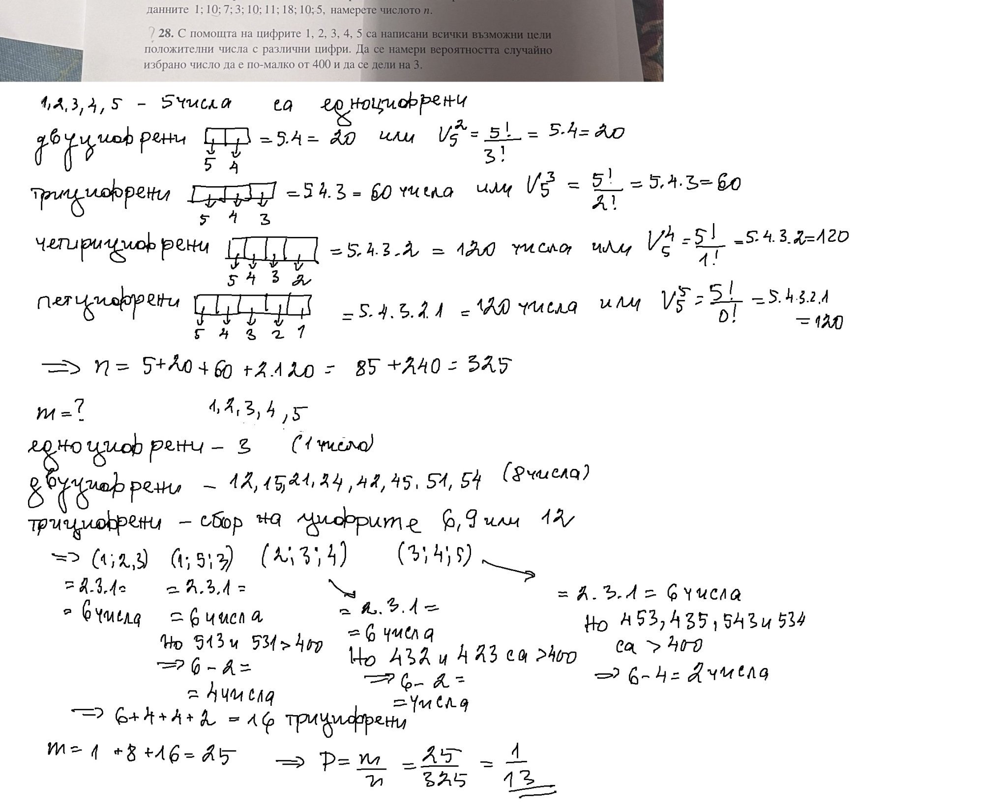
Здравейте, може ли помощ с тази задача за шестокласник:


Не знам защо не ми даде да завъртя снимката.
Периметърът на основата по 2= 24*2= 48
1,1дм= 11см. 4 ръба (странични) по 11 см.= 44см
48+44=92см

# 302
  • София
  • Мнения: 36 059
Благодаря и на теб Simple Smile

# 303
  • Мнения: 5
Здравейте,
имам нужда от съдействие с напътствия за две геометрични задачи:
1.   Даден е триъгълник ABC с ъглополовяща BL. През точка L e построена права, успоредна на BC, която пресича AB в точка N. Ако P на триъгълник NBL  е 18 см и BL  e 8 см, то BN e = ?
2.   Симетралите на страните AC и BC на тъпоъгълния триъгълник ABC (ъгъл ACB>90) се пресичат в точка О и ъгъл AOB=140, намерете мярката на ъгъл ACB.

Предварително благодаря!

# 304
  • Мнения: 9 543
Здравейте,
имам нужда от съдействие с напътствия за две геометрични задачи:
1.   Даден е триъгълник ABC с ъглополовяща BL. През точка L e построена права, успоредна на BC, която пресича AB в точка N. Ако P на триъгълник NBL  е 18 см и BL  e 8 см, то BN e = ?
2.   Симетралите на страните AC и BC на тъпоъгълния триъгълник ABC (ъгъл ACB>90) се пресичат в точка О и ъгъл AOB=140, намерете мярката на ъгъл ACB.

Предварително благодаря!
1.От свойствата на ъглополовящата AL:CL=AB:CB
От успоредните прави AL:LC=AN:NB и AN:АB=LN:CB
От второто следва, че AB:CB=AN:LN
AN:NB=AL:CL=AB:CB=AN:LN
т.е.
AN:NB=AN:LN => NB=LN
P=NB+BL+LN=2NB+8=18
BN=5

2. Пробвайте по чертежа
Ползва се свойството на симетралата, че всяка точка от нея е на равни разстояния от краищата на отсечката, към която е.

# 305
  • Мнения: 9 240
Пенева, тези задачи ми мязат като за 7 клас, а там още не са учили свойства на ъглополовящата.
Ето и моите подсказки.

# 306
  • Мнения: 9 543
Dincho, не помня вече, почти цяла година мина вече Smiling Imp
И сега като го написа се сетих, че ъглите ползваха ама...

А втората имах предвид по-простичко решение, пак с ъглите...

# 307
  • Мнения: 9 240
Пенева, твоето решение на втората е по-елегантно от моето. Аз прекалено съм забила в ъгли всякакви Blush

# 308
  • Мнения: 9 543
Който го мързи да смята, търси "елегантни" решения Smiling Imp

# 309
# 310
  • Мнения: 80
Emma2024, 20 задача дискриминантата трябва да е по-голяма или равна на нула, за да има реални корени.
а^2 - 4.а(а-1) >=0
а>0; а<=4/3. Отговор

Миленака, 4 ръба на долната основа са 24см. Толкова са и четирите на горната. Имаме 4 височини по 11см.
2.24 + 4.11 = 92см.

Благодаря за помощта Ви armeria, Dincho, Ganis!

# 311
  • Мнения: 17 953
7 клас, 138 задача. Как се решава, когато знаменателят е отрицателен? Забравила съм ги.

# 312
  • Варна
  • Мнения: 490
7 клас, 138 задача. Как се решава, когато знаменателят е отрицателен? Забравила съм ги.


Минуса отива пред дробната черта.

# 313
  • Мнения: 17 953
Т.е х + (3х+1)/-3 става
х - (3х+1)/3
Правилно ли съм разбрала?

# 314
  • Мнения: 9 543
Търся идея откъде да се подхване тази задача...
Преди нея има решени с разлагане и с полагане.
8 клас
х(х+4)+1/х.(1/х + 4)=3

Общи условия

Активация на акаунт