Отговори
# 315
# 316
  • Мнения: 9 543
Благодаря!
Знаех си, че е с полахаге, но... Не се сетих на тая стъпка, а детето гледаше изумено моите героични опити и запъване JoySunglassesJoy

# 317
  • Мнения: 3 605
Благодаря!
Знаех си, че е с полахаге, но... Не се сетих на тая стъпка, а детето гледаше изумено моите героични опити и запъване JoySunglassesJoy
О, да. Когато се объркам нещо, не сетя веднага или той се сети за по-добро решение, погледите и коментарите са безценни. Grinning

# 318
  • Варна
  • Мнения: 490
Здравейте!
Имам нужда от помощ за две задачи 10 клас:

# 319
  • Мнения: 36
Здравейте!
Имам нужда от помощ за тази задача.

# 320
  • Мнения: 9 543
Здравейте!
Имам нужда от помощ за тази задача.

Едноцветни= шарени -10
продали са 3/5 от шарените, значи са останали 2/5 от тях
Нека шарените тениски са х
2/5.х < х-10
3/5.х>10
х>50/3
х>16 2/3
Нах-малкото възможно х е 17
Тениските са били Брой на шарени + брой едноцветни=х+х-10=2х-10= 2 . 17 - 10 = 24 тениски

За кой клас е това?

# 321
  • Мнения: 36
За 7 клас.
И дъщерята го решава така, но в отговорите пише, че са 30.

# 322
  • Мнения: 9 543
За 7 клас.
И дъщерята го решава така, но в отговорите пише, че са 30.
Ами, да... трябва да чета малко повече с разбиране... как да продадат 3/5 от тениските, нали броя им трябва да се дели на 5... т.е. х>16 2/3 и търсим най-малкото цяло число над 16, което се дели на 5...
следоватехно х=20, а едноцветните са 10

# 323
  • Мнения: 36
Благодаря!

# 324
  • Мнения: 1 223
8 клас ( Обща допирателна на две окръжности)
Търся помощ за 1,2 и 6 зад.  Ще помоля за чертеж на 1 и 2 , за да видя кой ъгъл всъщност се търси и решението. Благодаря!

# 325
  • София
  • Мнения: 502
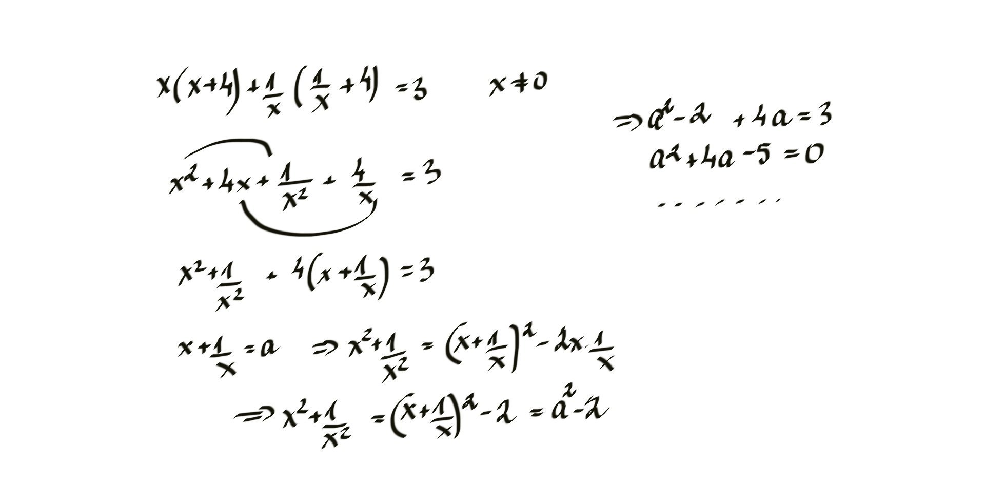
Добър вечер. Може ли да помогнете с тези две уравнения (упражняват ги по избираемия модул в 11. клас)?

# 326
# 327
  • София
  • Мнения: 502
Много благодаря, русалке. Спокойна вечер! Hug

# 328
  • София
  • Мнения: 443
Здравейте!
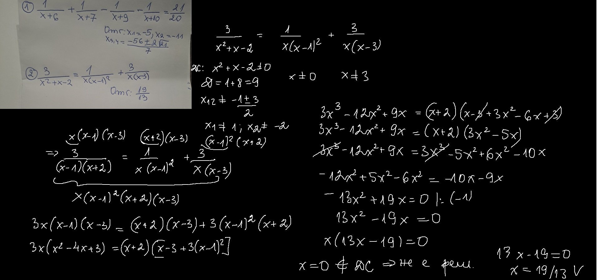
Моля за помощта ви със следната задача от 7 клас - неравенства.

# 329
  • София
  • Мнения: 20 168

Последна редакция: пн, 25 мар 2024, 22:25 от пенсионирана русалка

Общи условия

Активация на акаунт