Отговори
# 150
  • София
  • Мнения: 3 394
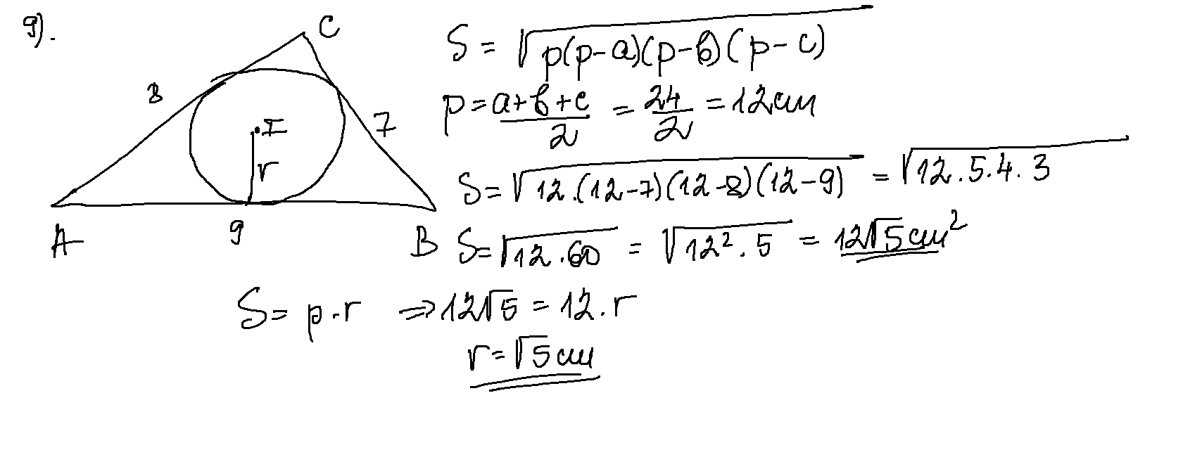
Моля за помощ за тази задача точка г, отговорът е 5 см /7 клас/
Скрит текст:

# 151
  • София
  • Мнения: 20 155
Ей сега я написвам набързо и я пускам Simple Smile
ПП
На първия и третия ред да се чете ТС, а не ТО,  че не ми се поправя.

Последна редакция: ср, 09 апр 2025, 00:35 от Просто русалка

# 152
  • София
  • Мнения: 2 837
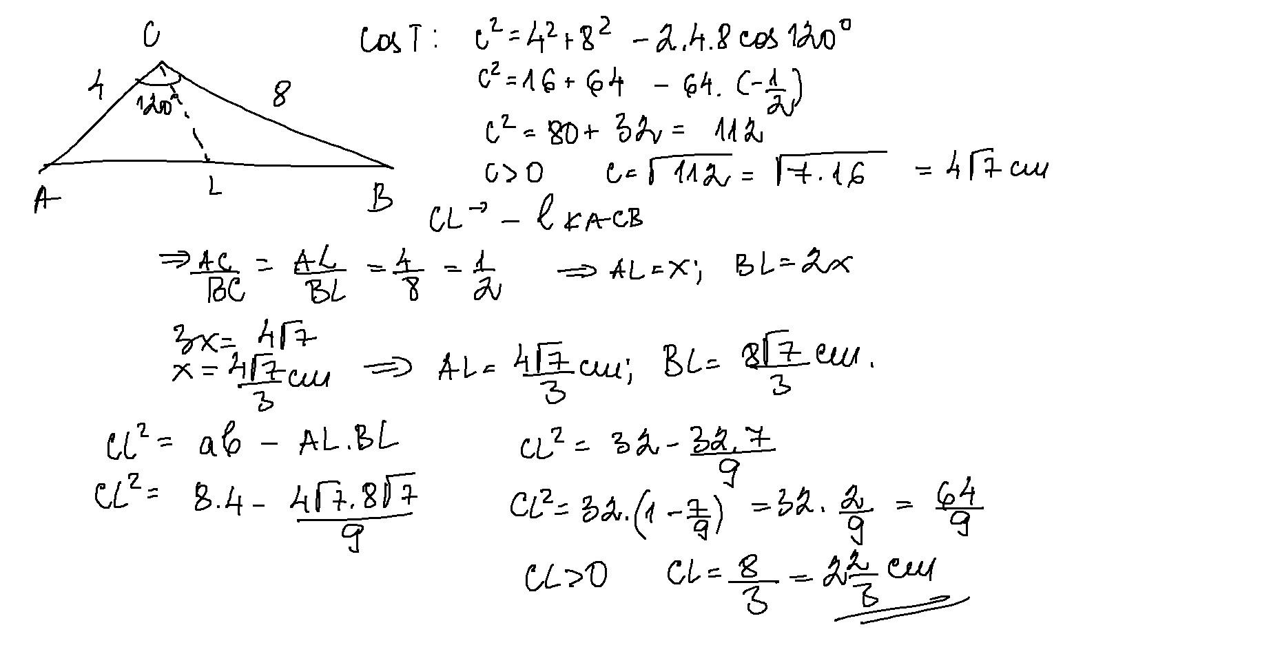
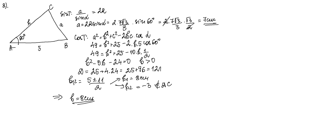
Здравейте, може ли помощ за тези 3 задачи за 10ти клас:

# 153
  • София
  • Мнения: 20 155


Последна редакция: ср, 09 апр 2025, 09:15 от Просто русалка

# 154
  • Мнения: 2 305
Към запознатите в оценяването на задачите от 2 част на НВО - знаете ли дали трябва да се описва доказателство на основна задача или може директно да се ползва като факт в решението?

# 155
  • София
  • Мнения: 5 558
Трябва да се описва.

# 156
  • Мнения: 2 305
Благодаря за отговора. Останах изненадана, че липсваше описание в решението на задача от сборник с примерни тестове.
Още едно въпосче по темата - има ли други основни задачи, които могат да се разгледат освен известните , разпространени: https://learn.fmi.uni-sofia.bg/pluginfile.php/140286/mod_folder/ … f?forcedownload=1

# 157
  • София
  • Мнения: 2 837
Благодаря!

# 158
  • Мнения: 73
Здравейте, може ли помощ за тази задача.

# 159
# 160
  • Мнения: 73
Благодарности за пореден път.
Малко ме е яд че не го видях, АЕ+BC=23 предполага да пренесем едното към другото(типично за азиатските състезания)

# 161
  • Пловдив
  • Мнения: 228

Здравейте, коя програма ползвате за разписването на решението?

# 162
  • Мнения: 983
Здравейте, коя програма ползвате за разписването на решението?

Чертежите правя в Excel, като ползвам Insert Shapes за линиите и Insert Equation за букви и формули, след което ги копирам и поствам като картина в Word.

Текста го пиша в Word, като за формулите ползвам Insert Equation.

След това запазвам Word-a като pdf и накрая прехвърлям pdf-a в jpg за да го кача като изображение.

Изглежда сложно, но съм свикнал и го правя доста бързо.

# 163
  • Варна
  • Мнения: 25 864
Моля да ми кажете тази задача има ли решение? Не искам да ми пишете решението, просто искам да знам, за да си търся грешката евентуално. Според мен е сбъркано условието и решение няма.
Скрит текст:
Поставете точно по една цифра от 1 до 9 включително във всяко празно бяло квадратче, така че всяка цифра да бъде използвана точно веднъж и да могат да бъдат прочетени 6 правилни изчисления (3 вертикални и 3 хоризонтални). Обърнете внимание, че изчисленията се извършват отляво надясно и отгоре надолу, т.е. първо се извършва първото действие в съответната линия и после второто, независимо от операциите. Пример: при изчислението 3 + 5 / 4 = 8 / 4 = 2.

# 164
  • В Страната на чудесата
  • Мнения: 413
Месечинке,  има решение. Wink

Скрит текст:
1 хоризонтален ред - 9, 3, 1
2 хоризонтален ред - 7, 2, 8
3 хоризонтален ред - 4, 6, 5

Общи условия

Активация на акаунт