ФОНД АСИСТИРАНА РЕПРОДУКЦИЯ - ТЕМА 18

  • 64 842
  • 722
  •   1
Отговори
  • София
  • Мнения: 3 669
КЪСМЕТ НА ВСИЧКИ !

Фондът финансира:

1. лекарствените продукти, необходими за стимулацията

2. контрол на стимулацията:
- ехографски прегледи;
- хормонални изследвания;

3. Ин витро (ИКСИ) процедура, която включва:
- пункция на фоликулите;
- ин витро (ИКСИ) оплождане;
- ЕТ (ембриотрансфер);
- замразяване на ембриони.
Какво не финансира фондът?

Фондът не финансира:
1. първоначалните изследвания за достигане до диагноза и вземане на решение за АРТ чрез ин витро оплождане
2. изследванията, необходими като минимум, съгласно Наредба № 28 от 2007 г. за дейности по асистирана репродукция (ДВ, бр. 55 от 2007 г.), както следва:
- микробиологични;
- спермален анализ;
- за трансмисивни инфекции;
- кръвногрупова принадлежност и резус фактор;
- хормонални - преди КОХС (контролирана овариална хиперстимулация);
- на кръвни картини, биохимия и хемостаза преди КОХС;
- други специфични изследвания (генетични, имунологични и пр.).
3. изследвания извън посочените в Наредба № 28 от 2007 г. за дейности по асистирана репродукция независимо от момента на извършването им
4. индукция на овулацията и/или КОХС с кломифен цитрат и др. СЕРМ;
5. инсеминации от партньора или дарител;
6. ембриоредукция;
7. предимплантационна генетична диагностика или скрининг (PGD/PGS);
8. ин витро матурация (IVM);
9. донорство на яйцеклетки;
10. донорство на ембриони;
11. GIFT, ZIFT и др. подобни;
12. тестикуларна и/или епидидимална биопсия (TеSE, PESA, МESA).


При какви индикации фондът финансира лечението на двойки чрез ин витро оплождане?

Фондът финансира двойки с безплодие, лечимо чрез ин витро оплождане, при наличие на следните индикации:

1. тубарен стерилитет при жената (МКБ-X: N97.1):
а) липса на маточни тръби двустранно (оперативно отстранени);
б) едностранна липса с контралатерална непроходимост или стеноза;
в) двустранна непроходимост на маточните тръби (вкл. след стерилизация);
г) едностранна непроходимост с контралатерална стеноза;
д) двустранна интерстициална или истмична стеноза;
е) състояние след пластика на маточните тръби най-малко 12 месеца след пластиката, при положение че не е настъпвала вътрематочна бременност;
ж) ендометриоза, засягаща аднексите и свързана с безплодието при жени над 35 години, а при жени до 35 години - само след лечебен курс с агонисти на гонадолиберина по програма на Националната здравноосигурителна каса (НЗОК), след края на което в продължение на 6 месеца не е настъпила бременност;

2. стерилитет, свързан с мъжки фактор (МКБ-X: N97.4):
а) обструктивна аzoospermia, при положение че са налице данни (клинични и хистологични) за наличие на достатъчна сперматогенеза;
б) олиго- и/или астено-, и/или тератозооспермия, налагаща АРТ чрез IVF или ICSI с поне два от следните параметри:
аа) обем на еякулата < 1,0 ml;
бб) концентрация на сперматозоидите < 20 милиона/ml;
вв) сперматозоиди с добра подвижност < 40 % (grade 1 - 2);
гг) сперматозоиди с добра морфология < 30 % (по СЗО) или < 15 % (по Крюгер);
дд) наличие на спермоантитела при мъжа и/или жената;

ВАЖНО - съгласно новите промени в Правилника за работа на Фонда, при кандидатстване по мъжки фактор задължително се изисква приложен документ за консултация с уролог.


3. стерилитет при жената, свързан с липса на овулация поради LUFS

4. безплодие с неизяснена чрез конвенционалните диагностични методи етиология (неизяснен стерилитет).

При кои случаи фондът не финансира ин витро оплождане?
Не се извършва финансиране, независимо от наличие на горепосочените индикации, в следните случаи
1. съществуват кoнтраиндикации съгласно Наредба № 28 от 2007 г. за дейности по асистирана репродукция;
2. липсващ или ограничен яйчников резерв със стойности на ФСХ повече от 12,5 mIU/ml.


Как се извършва кандидатстването за финансиране от фонда?

Кандидатстването за финансиране от Фонда става чрез заявление, към което се прилага:

1. медицинска документация, удостоверяваща наличие на индикации по чл. 26 от правилника, както следва:
- за индикации по чл. 26, ал. 1, т. 1 - документи от извършването на един или повече от следните методи: ХСГ и/или лапароскопия, и/или лапаротомия; ехографското изследване не е доказателствен метод;
- за индикации по чл. 26, ал. 1, т. 2 - документи от извършването на два или повече спермални анализа с най-малко един месец между тях в повече от едно лечебно заведение, получило разрешение по чл. 131, ал. 1 от Закона за здравето, последният от които е извършен преди не по-повече една година преди подаване на заявлението; ползват се критериите на Световната здравна организация (СЗО) за нормоспермия, като е желателно поне едно от изследванията да е с морфология, оценена по стриктните критерии на Крюгер;

- за индикации по чл. 26, ал. 1, т. 3 - документи относно поне три цикъла с ехографски разчитания и снимки;
- за индикации по чл. 26, ал. 1, т. 4 - данни за безплодие в период най-малко две години, лекувано чрез конвенционални методи, вкл. с реализирани минимум четири цикъла с вътрематочни инсеминации (IUI);

2. етапна епикриза, в която задължително се отбелязва и липсата на контраиндикации съгласно Наредба № 28 от 2007 г. за дейности по асистирана репродукция;

3. медицинска документация, удостоверяваща липса на обстоятелството по чл. 27, т. 2

4. копие на лична карта, заверено от заявителя с гриф "вярно с оригинала";

5. декларация, удостоверяваща липсата на кръвно родство по права линия и по съребрена линия до четвърта степен между заявителката и нейния партньор, по образец съгласно приложение № 3;

6. информирано съгласие от заявителката и партньора по образец съгласно приложение № 4

7. декларация от заявителката, че не е поставена под запрещение, по образец съгласно приложение № 5, освен в случаите по т. 3.1 от раздел IV на приложение № 1 към чл. 1, ал. 1, т. 1 от Наредба № 28 от 2007 г. за дейности по асистирана репродукция

8. декларация от партньора на заявителката, че не е поставен под запрещение, по образец съгласно приложение № 6, освен в случаите по т. 3.1 на раздел IV от приложение № 1 към чл. 1, ал. 1, т. 1 от Наредба № 28 от 2007 г. за дейности по асистирана репродукция.


Медицинската документация се подготвя от лечебно заведение, получило разрешение за дейности по асистирана репродукция, съгласно чл. 131, ал. 1 от Закона за здравето.

Горепосочените документи се прилагат, когато жената, която желае да се подложи на ин витро процедура, подава заявление за първи път.

В останалите случаи се прилага само заявление, етапна епикриза и декларация, че няма промяна в обстоятелствата, удостоверени с документите, подадени с първото заявление.

Заявителката предоставя писмена информация до директора на фонда за резултатите от проведената ин витро процедура в срок до един месец след настъпване на забременяване (раждане).

Как се извършва финансирането?
Финансирането се извършва чрез банков превод в левове по посочена банкова сметка от лечебното заведение на два етапа:

1. първи етап - авансово, в размер 40% от максималната одобрена със заповедта по чл. 39, ал. 1 сума и се извършва след започване на хормонална стимулация на пациентката, за което лечебното заведение представя:
- заявление, съдържащо информация, че е започнала хормонална стимулация, по образец съгласно приложение № 7
- проформа фактура
- декларация от заявителката, че лечебното заведение й е предоставило информация за всички дейности, лекарствени продукти и цени преди извършване на дейностите по асистирана репродукция

2. втори етап - отложено, в размер на направените от лечебното заведение разходи над размера по т. 1, но не повече от определената със заповедта по чл. 39, ал. 1 сума и се извършва след приключване на дейностите по асистирана репродукция, за което лечебното заведение представя:
- подробна епикриза
- протокол, подписан от заявителката и лечебното заведение, в който са описани всички извършени дейности и приложени лекарствени продукти, техният вид, количество и цени
- фактура, съдържаща пълно описание и стойност на извършените дейности и използваните лекарствени продукти
- медицинска документация за извършените дейности по чл. 25, ал. 1.

Какво финансира сумата, отпусната от Фонда?

ЦЕНОРАЗПИС ПРИ КЛАСИЧЕСКО ИН ВИТРО ОПЛОЖДАНЕ
Ехографски прегледи - 6 бр. х 30 лв. = 180 лв.
Хормонални изследвания - 10 бр. х 18 лв. = 180 лв.
Фоликулна пункция под ехографски контрол - 400 лв.
Класическо ин витро оплождане - 1300 лв.
Ембриотрансфер - 340 лв.
Криоконсервация на предимплантационни ембриони - 200 лв.
Лекарства - 2400 лв.

ЦЕНОРАЗПИС ПРИ ОПЛОЖДАНЕ ИКСИ
Ехографски прегледи - 6 бр. х 30 лв. = 180 лв.
Хормонални изследвания - 10 бр. х 18 лв. = 180 лв.
Фоликулна пункция под ехографски контрол - 400 лв.
Оплождане чрез ИКСИ - 1600 лв.
Ембриотрансфер - 340 лв.
Криоконсервация на предимплантационни ембриони - 200 лв.
Лекарства - 2100 лв.

 
Къде се подават документите?

Документите се подават на адрес:
гр. София, бул. "акад. Иван Гешов" 15,
Център по хигиена, ет. 11, ст. 36
от 9.00 до 17.30 часа


На кои телефони мога да получа информация относно подаването на документите?

Телефони за информация относно подаване на документи
02/895-31-46
02/895-31-48


Как се разглеждат заявленията?

След одобрение на заявлението:
Директорът на фонда в тридневен срок от заседанието, на което е взето решението, издава заповед за организационно и финансово подпомагане на заявителя, в която посочва размера на отпусната парична сума, избраното от лицето лечебно заведение, срока, до който да бъде извършена процедурата, или прави мотивиран отказ.

Когато директорът на фонда констатира непълноти и неточности в заявлението, приложената документация или изготвения доклад, връща документите в обществения съвет за тяхното отстраняване.

Размерът на отпусканата парична сума е до 5000 лв. и включва средства за провеждане на медицински изследвания, ин витро процедура и за лекарствени продукти.
Съобщаването на заповедите се извършва от звеното за подпомагане на фонда.


Как да разберем дали сме одобрени? 
Когато бъдете одобрени и заповедта ви е готова ще бъдете информирани по телефона и съответно кога да си получите заповедта.


Как и кога ще разбера в случай, че не получа одобрение?
Ще бъдете уведомени от служителите на фонда.

Къде мога да проверя статуса на документите си?
Адресът на сайта на Център "Фонд за асистирана репродукция" е http://www.far-bg.org/

Къде се получават заповедите?
Заповедите се получават на адрес:
гр. София, бул. "акад. Иван Гешов" 15,
"Центъра по хигиена", 11 етаж, от директора на фонда


Колко опита ин витро финансира фондът?
Фондът финансира до три опита ин витро.


Фондът финансира ли ин витро процедура ако двойката вече има дете?
Да. Няма такова ограничение.

Могат ли пациентите, след като бъдат одобрени за финансиране от фонда, да сменят клиниката, в която се лекуват?
Пациентите могат да си сменят клиниката. Никъде не е заложено изискване да се направи процедурата в клиниката, подготвила документите.
Подава се молба до директора на фонда за смяна на клиниката, като се прилага документ от новата клиника, че е съгласна да поеме вашия вслучай.

Финансира ли фондът вече започнати ин витро процедури?
Фондът не финансира вече започнали ин витро(ИКСИ) опити, както и не възстановява средства за направени такива.


Какво трябва да съдържа изследването за ФСХ?
Задължително е прилагането на изследване на ФСХ, което освен печата от лабораторията трябва да има печат и подпис от лекар. Стойността на ФСХ трябва да бъде под 12,5

Не се изискват други хормони (освен ФСХ), както и не са необходими изследвания за СПИН, васерман, хепатит тип В и С.

Къде се правят спермограми?
При кандидатстване се допускат спермограми, направени в лечебни заведения, които имат разрешение по чл. 131, ал. 1 от Закона за здравето, независимо дали имат сключен договор с фонда. Не се допускат спермограми, направени в клинични лаборатории.


Какво не трябва да пропускаме при прилагането на копията от документите с изследванията!
На копията на документите, които се прилагат, се пише "Вярно с оригинала" и се подписват.
На всички изследвания трябва да има печат и подпис на лекар от лабораторията.


Какъв е срокът за оползотворяване на отпуснатите средства?
Срокът за оползотворяване на отпуснатите средства е една година след издаването на заповедта.


Какво трябва да имаме задължително?
Задължително е да имате епикриза, в която да е описано ясно какъв е проблема при вас, а когато се касае за неизяснен стерилитет по чл. 26, ал. 1, т.4 и съответно изискването за четири инсеминации (или ин-витро/ ИКСИ опита) съгл. чл. 31, ал. 1, т.1г., трябва да имате документ, удостоверяващ извършените процедури (кога и къде).


При неуспешен първи опит, финансиран от фонда, какво трябва да се направи?
Подава се заявление, етапна епикриза и декларация, че няма промяна в обстоятелствата, удостоверени с документите, подадени с първото заявление. Документите се приемат с нов входящ номер и се чака по съотвения ред.


Медицински заведения - договорни партньори

Виена ин витро център – болница Токуда
МЦРМ „Радост” гр. Варна
МЦ Надежда Репродуктив София ЕООД
СБАЛАГ „Селена”ООД, гр. Пловдив
МБАЛ Бургас АД гр. Бургас
АСИМП МЦ "Салманида" Пловдив
СБАЛАГРМ "София" ООД , гр.София
СБАЛАГ „Майчин дом” ЕАД, гр.София
МЦ „СВЕТИ ИВАН РИЛСКИ” ООД ГР. ТУТРАКАН
МЕДИЦИНСКИ ЦЕНТЪР „РЕПРОМЕД" ЕООД
МБАЛ Вита ЕООД
АМЦСМП Д-Р МАРИО ДАВИДКОВ
СГАБАЛ Д-Р ЩЕРЕВ ЕООД
СБАЛГАР „Д-Р МАЛИНОВ” ООД
СБАЛАГ СЕЛЕНА ООД
СБАЛ СВЕТИ ЛАЗАР
I-ва САГБАЛ "Света София" ЕАД
МЦ ТЕХНОБИОС ЕООД
МЦ РЕПРОБИОМЕД ООД
МЦ КИРМ ООД
МЦ ВЯРА ЕООД
МЦ БОРА ЕООД
МЦ Афродита ООД
Инвитро АГ МЦ Димитров ЕООД
ИН ВИТРО МЦ Братя Тодорови ООД
АСМПМЦ СОФИЯ 2000 ЕООД
АМЦСМП Олимед ООД
АМЦСМП Майчин дом ЕООД


Линк към старите теми:
тема 11 - http://www.bg-mamma.com/index.php?topic=685793.0
тема 12 - http://www.bg-mamma.com/index.php?topic=696104.0
тема 13 - http://www.bg-mamma.com/index.php?topic=705859.0
тема 14 - http://www.bg-mamma.com/index.php?topic=718862.0
тема 15 - http://www.bg-mamma.com/index.php?topic=733278.0
тема 16 - http://www.bg-mamma.com/index.php?topic=754776.0
тема 17 - http://www.bg-mamma.com/index.php?topic=769444.0


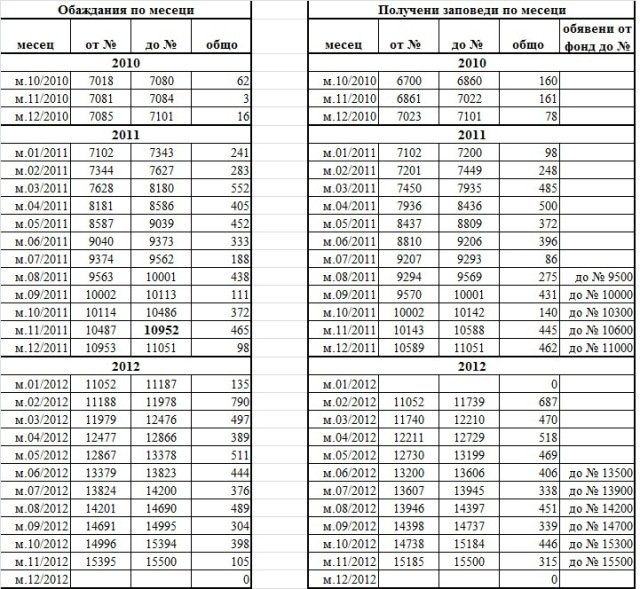
статистиката до  юни 2014






# 1
  • Мнения: 121
Пу, първa. Дaно новaтa темичкa е нa късмет.

# 2
  • Варна
  • Мнения: 7 148
Записвам се втора с надежда в сърцето!   bouquet

# 3
  • Мнения: 292
  animal037  animal037  animal037
Хайде и аз

# 4
  • Мнения: 921
И аз тук с надежда за повече обаждания  Peace

# 5
  • Мнения: 1 704
Здравейте момичета  Hug Благодаря за новата тема и за изчерпателната първа страница-много полезна информация.Но в списъка с клиниките не видях тази в Шумен  newsm78 нали и те работят по фонда?

# 6
  • Мнения: 19 849
И аз тук!

# 7
# 8
  • Варна
  • Мнения: 7 148
Но в списъка с клиниките не видях тази в Шумен  newsm78 нали и те работят по фонда?

Те работят с клиника "Надежда" на Д-р Стаменов. На практика Д-р Димов не прави ин витро, макар да прави всички изследвания, проследявания и т.н. за ин витрото, самата процедура накрая се извършва във София.

# 9
  • Мнения: 4 954
Запис.

# 10
  • Варна
  • Мнения: 12 702
Влизам с надежда,че всичко ще потръгне във фонда и че втория опит ще е успешен Grinning

# 11
# 12
  • Мнения: 284
И аз да се запиша .

# 13
  • Живее на Луната
  • Мнения: 3 468
Тите   bouquet

# 14
  • Мнения: 933
Присъединявам се с много надежда и вяра.И дай Боже повече обаждания от Фонда.Успех на всички

Общи условия

Активация на акаунт