Отговори
# 525
  • Мнения: 51
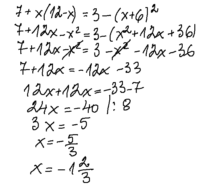
Момичета моля за помощ за следната задачка:: За коя стойност на променливата Х изразите 7 + х(12 - х)  и  3 - (х + 6)*2  имат равни стйности?
Благодаря ви много.

# 526
  • Мнения: 51
стойности

# 527
  • Мнения: 9 543
Задачата е всъщност "За кое х
7 + х(12 - х) = 3 - (х + 6)2"
Разкриват се скобите, х2 от двете страни на равенството отпада и се решава уравнение от първа степен.

# 528
  • София
  • Мнения: 20 168
Момичета моля за помощ за следната задачка:: За коя стойност на променливата Х изразите 7 + х(12 - х)  и  3 - (х + 6)*2  имат равни стйности?
Благодаря ви много.

# 529
  • Мнения: 258


Помощ Sad моля

# 530
  • Мнения: 6 953
Соня12, всичко имаш. В подточка а) и б) трябва само да заместиш данните по съответните формули, а във в) за обема ще намериш височината на конуса отново с Питагаровата теорема - образуващата е хипотенуза, радиусът на основата е катет, височината е другият катет.

# 531
  • Мнения: 403
Може, ли помощ!

# 532
  • Мнения: 1 451
Здравейте.
Имам следното питане, задачата е за 8-ми клас, тази:

Получавам, че MP=6, NP=4, CD=6, AB=14  см., но отговорите в края на учебника са други.Някой да знае дали аз греша или е объркан отговора в учебника(което ме съмнява, но...)

# 533
  • Мнения: 225
Здравейте,  моля за помощ за следната задача:

# 534
  • у дома
  • Мнения: 8 117
Здравейте.
Имам следното питане, задачата е за 8-ми клас, тази:


Получавам, че MP=6, NP=4, CD=6, AB=14  см., но отговорите в края на учебника са други.Някой да знае дали аз греша или е объркан отговора в учебника(което ме съмнява, но...)
NP е ср. Отс в триъг.АСД и от там СД=2.NP=2.4=8см. По същия начин и АВ=2. МN=2.6=12см,но може и от формулата за ср. основа да се намери.

# 535
  • Мнения: 9 543
Здравейте,  моля за помощ за следната задача:

84=(23)4=212

5.512.212=5.1012
Следователно числото се изписва с 5 и 12 нули, т.е. е 13 цифрено.
N<=999/2 (от N*2 трицифрено) и N>=100*4 (от N/4 трицифрено)
400<=N<=499.5
Такива са 100 естествени числа.

ПП: От тях трябва да преброим кои се делят на 4 . Тъй като 400 се дели, то и всяко 4то също се дели. Числата, които отговатят на изискването са 25.

Последна редакция: вт, 12 яну 2021, 22:47 от peneva_a

# 536
  • Мнения: 6 953
Естествените трицифрени числа са [100, 999].
Търсим N такова, че 2×N да е трицифрено => N [50, 499]
Търсим N такова, че N/4 да е трицифрено и едновременно да удовлетворява горния интервал => N [400, 499]
В този интервал има 100 естествени числа.
От тях се делят на 4 без остатък 100/4 = 25
Отговор: Съществуват 25 естествени числа N, които удовлетворяват условията, че 2×N и N/4 са трицифрени.

# 537
  • Мнения: 2 285
Моля за решение като за 4 клас на следната задача:

# 538
  • Мнения: 3 605
Делението с остатък се учи в 5 клас, но те така или иначе четвъртокласните състезатели и МГ кандидати научават неща от по-горен клас като кръговете на Ойлер от 6 клас,  някои идеи от комбинаториката от 8 клас.
Може да се обясни идеята, че едното число е 29 по-другото +20.

# 539
  • Мнения: 9 543
Нека второто число е х и от сумата на числата е 920 следва, че първото число е =920-х. Но първото число е =29*х+20 (при делене на х дава остатък 20), следователно
920-х=29х+20
30х=900
х=30

първото е 920-30=890
проверяваме се с 890:30=(870+20):30

ПП: То всъщност е по-ясно изписване с x и y, но за да не стресираме децата с две неизвестни пишем разсъждения Wink

Общи условия

Активация на акаунт