Отговори
# 645
  • Мнения: X

Да илюстрирам с картинка поста на solnichka.

# 646
  • Варна
  • Мнения: 2 464
Абсолютно вярно, Дидева и Солничка! Ама след 2 чаши розе и през телефона не трябва да се решават задачи, дори за 4. клас Simple Smile Наистина при завъртането равностранните триъгълници също биха били завъртяни и тогава само г) може да се получи. Искали са авторите да направят нещо интересно, но е трябвало да ползват кръгчета вместо триъгълничетата Wink

# 647
  • София
  • Мнения: 20 858
И аз вчера си скъсах едно листче и въртях. Наистина само Г става
Задачата дали позволява повече от 1 верен отговор?

# 648
  • Пловдив
  • Мнения: 1 720
И аз вчера си скъсах едно листче и въртях. Наистина само Г става
Задачата дали позволява повече от 1 верен отговор?
Не, задачата е сбъркана като цяло, защото търси "Кой (единствено число) от кавадратите НЕ е получен с помощта на показаните два правоъгълника" - т.е. ползват се двата ПРАВОЪГЪЛНИКА- такива, каквито са, а не се разместват съставляващите ги квадрати.
Само Г) Е възможно да се получи.

# 649
  • София
  • Мнения: 20 858
Само Г) Е възможно да се получи.
Ако беше "Кой Е получен с двата правоъгълника" - при тези условия щеше да е ОК. Как може да се публикуват очевидно некоректни задачи? И то за 4 клас...

# 650
  • Б
  • Мнения: 952
Може ли помощ за следната задача? Задача 12
 Чартежа не е верен

# 651
# 652
  • Мнения: 1 715
Имам задачи, които ни затрудняват. Днес цял ден решаваме Simple Smile

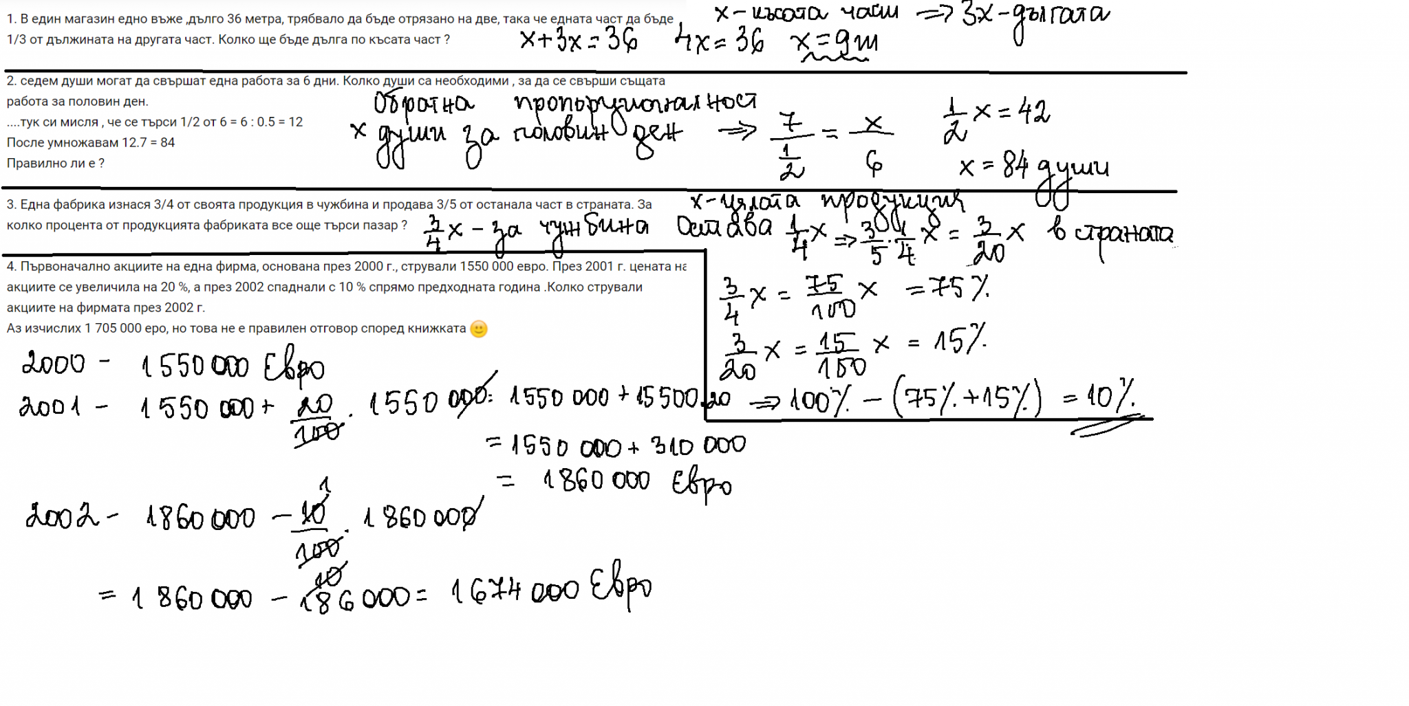
1. В един магазин едно въже ,дълго 36 метра, трябвало да бъде отрязано на две, така че едната част да бъде 1/3 от дължината на другата част. Колко ще бъде дълга по късата част ?

2. седем души могат да свършат една работа за 6 дни. Колко души са необходими , за да се свърши същата работа за половин ден.
....тук си мисля , че се търси 1/2 от 6 = 6 : 0.5 = 12
После умножавам 12.7 = 84
Правилно ли е ?

3. Една фабрика изнася 3/4 от своята продукция в чужбина и продава 3/5 от останала част в страната. За колко процента от продукцията фабриката все още търси пазар ?

4. Първоначално акциите на една фирма, основана през 2000 г., стрували 1550 000 евро. През 2001 г. цената на акциите се увеличила на 20 %, а през 2002 спаднали с 10 % спрямо предходната година .Колко стрували акциите на фирмата през 2002 г.
Аз изчислих 1 705 000 еро, но това не е правилен отговор според книжката Simple Smile

Може ли самите решения, а не само отговорите.

# 653
# 654
  • Мнения: 6 924
1.Едното ,по-голямо парче е х, по-късото е 1/3х.
4/3 х = 36
х= 27
1/3 х = 9

Русалката ме предвари, затова не продължавам. Blush

# 655
  • Мнения: 1 715
Много ти благодаря Пенсионирана Русалке Simple Smile

На задачката с фабриката не мога да разбера :
3x върху 20 = 15х върху  100= 15 %
Това 15х от къде дойде

Тази задача ме затруднява, др. Ги разбрах Simple Smile

# 656
  • София
  • Мнения: 20 155
Много ти благодаря Пенсионирана Русалке Simple Smile

На задачката с фабриката не мога да разбера :
3x върху 20 = 15х върху  100= 15 %
Това 15х от къде дойде

Тази задача ме затруднява, др. Ги разбрах Simple Smile
3/20 е част от цяло, за да го превърнем в %, трябва в знаменателя да имаме 100. За целта разширяваме дробта, умножавайки и горе, и долу по 5. Така стигаме до 15/100, а това са 15%.

Има и  друг начин:
1- 3/4 - 3/20 = 20/20 - 15/20 -3/20 = 2/20 = 1/10 от продукцията =>10%

# 657
  • Мнения: 9 230
3/4 са 75%. Оставащите са 1/4, 25%. От тях за 3/5 има пазар - 1/4*3/5= 3/20. Значи за 2/20=1/10 се търси пазар. Колко е 1/10 от 100? 10 или 10%
Русалка ме изпревари, но няма да го трия.

# 658
  • Мнения: 1 715
Благодаря Ви Русалке и Динчо,

Като ги огледах се сетих, че превръщаме дроби в %.
Ще разгледам този урок.
Чудесни сте!
Благодаря от ❤

# 659
  • Мнения: 63
Здравейте, задача за пети клас
X% oт 10/9=7.5

Общи условия

Активация на акаунт