Майчинството счетоводно - 93

  • 42 833
  • 736
  •   1
Отговори
# 495
  • В полите на Пирин планина
  • Мнения: 21 632
Lady Brinne, майчинството е прехвърлено до края на 1вата година. После ще го взема обратно.

И ще ползвате ли отпуск за гледане на дете до 2 годишна възраст?

Здравейте, имам час при АГ за 12 - ти септември точно 46 дена преди термин, проблем ли ще бъде да ми издадат болничния тогава?

Може да се издаде по принцип, ако става дума, че БЛ трябва да е от следващия ден след посещението при АГ.

Цитат
А кога е предаден в НОИ коригираният БЛ?

Има ли днес превод? Би следвало, ако всичкос БЛ е ОК!

На 12.08 е заминал за НОИ коригираният,родих на 4.07

# 496
  • Мнения: 849
Lady Brinne, майчинството е прехвърлено до края на 1вата година. После ще го взема обратно.

И ще ползвате ли отпуск за гледане на дете до 2 годишна възраст?

Да. Като изтекат останалите 6 месеца от първата година ще взема майчинството обратно и ще го ползвам за втората година. Същевременно ако всичко е наред очаквам второто бебче и съответно новото майчинство за него. Затова се чудех за първото бебе каква сума ще изплащат след като 1/2 от майчинството ми за първата година е по-малко от въпросните 710 лв. За второто бебе не питам, защото изчисленията доколкото разбирам са сложни Grinning

# 497
  • В полите на Пирин планина
  • Мнения: 21 632
Dreaming_girl, обезщетението за гледане на дете до 2 годишна възраст се определя със ЗБДОО и конкретна сума, не зависи от осигурителния доход на лицето. Сега е 710 лева.

# 498
  • Мнения: 4 518
Здравейте, интересувам се кога започват да превеждат суми по чл. 50? Върнах се на работа средата на юли, ъпрейтнато е в сайта на НОИ, но все още нямам нищо преведено, освен майчинството за първата част на юли. Аз ли нещо не съм разбрала или докато децата навършат 1г. се получава 50% от майчинството за първата година, а от навършване на първата до навършване на втората, се получават 50% от невероятното майчинство за втората година.

# 499
  • гр.Пловдив
  • Мнения: 4 213
Цитат
А кога е предаден в НОИ коригираният БЛ?

Има ли днес превод? Би следвало, ако всичкос БЛ е ОК!

На 12.08 е заминал за НОИ коригираният,родих на 4.07

Нямах превод вчера,ако и утре нямам тотално ще се отчая..Frowning1

# 500
  • Мнения: 7 260
Утре сигурно ще получиш на куп за юли и август.Аз имам ведомост от днес за август и утре ще имам превод.Ако имаш възможност извади си пик,бързо става и е голямо улеснение.Всичко се вижда и ще си спестиш бъдещи нерви.

# 501
  • Мнения: 15
А след като мине този изравнителен като срок някакъв документ трябва ли да подавам и къде за да започне превеждането на суми за първата година майчинство и после за втората? Благодаря!

# 502
  • София-Младост
  • Мнения: 24 067
Fairtale11
 Получава се, но трябва да се подаде декларация.

# 503
  • Мнения: 72
След издаването на третия болничен (първо 45 дни ,после от болницата и след това от педиатъра)след това какво се прави подават ли се някакви документи и къде за да се взема майчинството?
В какъв срок се подава за детски и за първата помощ за раждане?
И при осигуряване на минималната заплата и двете години ли майчинството ще е в размера на минималната работна заплата?

# 504
  • София-Младост
  • Мнения: 24 067
Подава се декл. за периода 135-410 дни.
Всичко се посава до работодател.
Да на последнито питане.

# 505
  • Край морето... при пясъка и сините вълни
  • Мнения: 7 032
Само да уточня, че майчинството втората година се определя отделно със Закона за бюджета и в момента съвпада с МРЗ, но това значи, че ако МРЗ се увеличи от 2022г, то може да остане 710лв...Та не винаги втората година съвпада с МРЗ.

# 506
  • В полите на Пирин планина
  • Мнения: 21 632
Теди, а нямаш ли ПИК от НОИ, за да видиш статуса на БЛ?

Здравейте, интересувам се кога започват да превеждат суми по чл. 50? Върнах се на работа средата на юли, ъпрейтнато е в сайта на НОИ, но все още нямам нищо преведено, освен майчинството за първата част на юли. Аз ли нещо не съм разбрала или докато децата навършат 1г. се получава 50% от майчинството за първата година, а от навършване на първата до навършване на втората, се получават 50% от невероятното майчинство за втората година.

Получава се, ако се подаде декларация.

# 507
  • гр.Пловдив
  • Мнения: 4 213
Цитат
Теди, а нямаш ли ПИК от НОИ, за да видиш статуса на БЛ?

Не съм вадила,понеже досега всичко си беше идеално и в стандартните срокове,реално се закучиха нещата след раждането ...,няма закога да ходя за ПИК..ужасно далеч ми е на другия край на Пловдив..

# 508
  • Мнения: 4 518
Fairtale11
 Получава се, но трябва да се подаде декларация.
Подадох декларация заявление по чл. 50а още преди да започна работа. Започнах работа на 18.07.
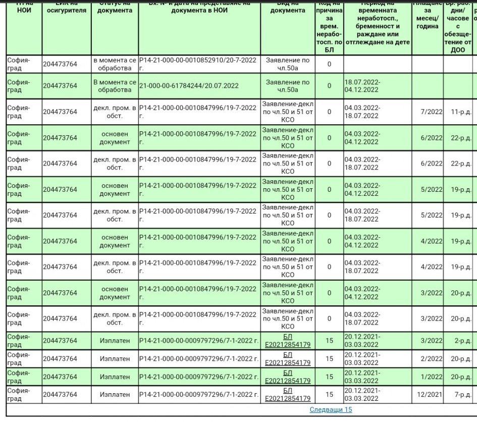
Това виждам в сайта на НОИ

# 509
  • В полите на Пирин планина
  • Мнения: 21 632
Fairytale11, декларацията е подадена от работодателя в НОИ. Защо няма плащане ми е много чудно...

teddynm, може и онлайн да се издаде, чрез услугата Evrotrust - това е безплатен електронен подпис.
https://www.noi.bg/eservicesbg/epik

Общи условия

Активация на акаунт