Отговори
# 660
  • Бургас/София
  • Мнения: 325
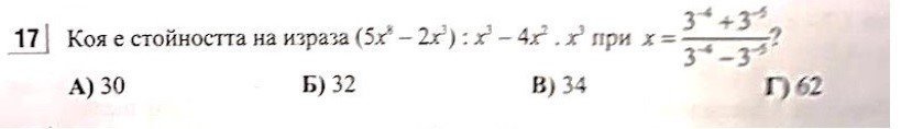
Моля за помощ за задача за 7 клас. Девойката опростява израза до х5 - 2, а за х получава -2 и съответно отрицателно число за отговор. И аз я проверявах и не мога да разбера къде греши Thinking

x=2

# 661
  • Мнения: 46
Моля за помощ за задача за 7 клас. Девойката опростява израза до х5 - 2, а за х получава -2 и съответно отрицателно число за отговор. И аз я проверявах и не мога да разбера къде греши Thinking

Сбъркали сте при намирането на х: получава се х=2 и оттам крайният отговор е 30.

# 662
  • Мнения: 1 929
Благодаря! Намерихме я грешката Blush

# 663
  • София
  • Мнения: 20 079

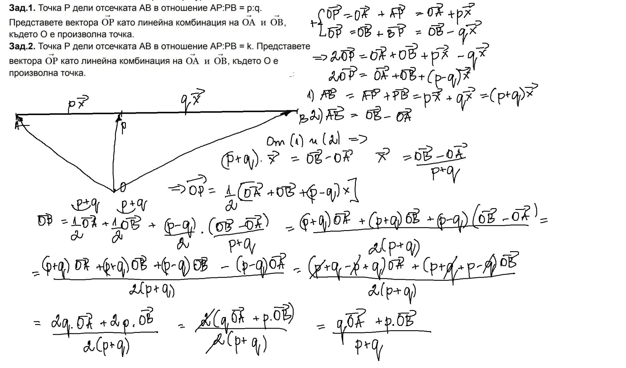
За втората е същото, само замествате в крайния отговор съответно с k и 1, понеже отношението този път е k:1  а не  p:q.

# 664
# 665
  • Мнения: 6 792
Задача 7 клас, блокирах

# 666
  • Бургас/София
  • Мнения: 325

# 667
  • Най-красивата страна
  • Мнения: 13 177
Здравейте момичета,моля за помощ за тези задачи за 8 клас.




# 668
# 669
  • Мнения: 3 544
Аз 5.  бих разписала така:
От АВ-АС=DA (да се четат вектори)
=> CB=DA (вектори)
От равенството на векторите => че отсечката CB= отсечката DA и те са успоредни. От туу следва, че АBCD е успоредник.

# 670
  • Мнения: 9 519
Защо AB+AD=AC (Вектори), това не е успоредник?

Да се чете със стрелкички
BC-AC=BC+CA=BA

BD-AD=BD+DA=BA
 T.e. двете страни са равни на един и същи вектор

# 671
  • Най-красивата страна
  • Мнения: 13 177
Благодаря момичета.

# 672
  • Мнения: 56
Здравейте!
Имам нужда от помощ за тази задача. Благодаря! Simple Smile

# 673
  • Мнения: 9 519
Смесеното число, превърнато в обикновена дроб е (1+3*252)/252 = 757/252
Първоначалното число е от вида 757.k/252.k
Където k е естествено чусло. Търсим него.
757k+252k= 2018
1009.k=2018
k=2  е общия делител на числителя и знаменателя на числото от условието 1514/504

# 674
  • В Страната на чудесата
  • Мнения: 408
Здравейте!
Необходима ни е помощ с б) подточка. Първата подточка си я реши без проблем, но на втората нещо зацикли:

Общи условия

Активация на акаунт