Тромбофилия, ДВТ, проблеми с кръвотока, прееклампсия - Тема 26

  • 36 070
  • 766
  •   1
Отговори
# 480
  • Мнения: 2
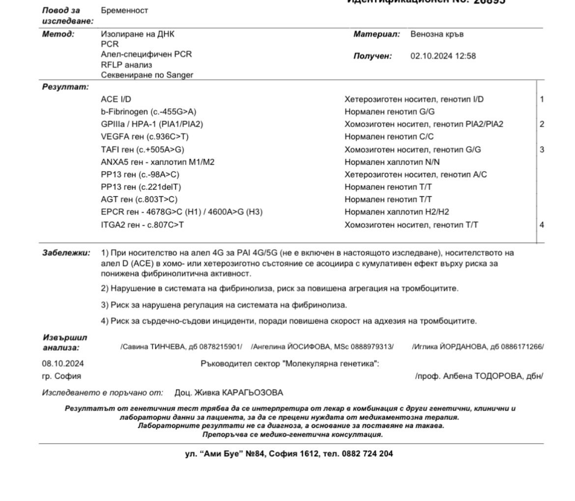
Здравейте момичета, може ли мнение за тези резултати. Часът ми за хематолог е другата седмица, благодаря предварително.

# 481
  • Мнения: 9
Здравейте,
Бременна съм в 8ма седмица, днес получих следните резултати. Дали тук ще има някой по-запознат от мен, който да ми каже много ли са страшни червените флагчета. Какво следва сега? Предполагам, че трябва консултация с хематолог...

# 482
  • Мнения: 106
Здравейте, момичета!
Имате ли мнение за доц. Карагьозова от Майчин дом?
Бях при нея на преглед. Всичко беше наред с кръвотока, но понеже имам хипертоници в родата ми предписа доста изследвания за мутации. Чакам резултати, но все си мисля, че няма някой с идеални гени и ще лъсне все нещо в мутациите (имам хетерозигота по ПАИ).
Една дама тук ме посъветва да пусна следните изследвания (тъй като приемам Аспирин и омега, защото имах недобър кръвоток в 17-та седмица):

Доколкото аз разбирам, не са лоши. Малко по-спокойна съм и много и благодаря за съвета 🩷

# 483
  • София
  • Мнения: 8 107
Силванка, коагулацията ти е добре, но е добре да се следи на 3-4 седмици, заедно с кръвотока, през цялата бременност, за да се вземат мерки ако е необходимо. Ако излезнат мутации в комбинация с фамилната анамнеза, вероятно ще ти назначат профилактична терапия.

Mrs. G,
Мутациите ти са нискорискови, но няма гаранция че не могат да предизвикат проблем. Следи коагулацията на 3-4 седмици (аптт, д-димер и фибриноген). Пусни изследване на витамините Б9 и Б12, приемай само метилирани форми - фолат вместо синтетична фолиева киселина за Б9 и метилкобаламин вместо цианкобаламин за Б12.

mimka-g,
Преди консултацията пусни изследване на витамините Б9 и Б12, имаш две мутации които пречат на усвояването им, да може да види резултатите и да изпише терапия и за тях. Мутациите не са високорискови, но няма гаранция че няма да предизвикат проблем при бременност. Витамините трябва да са на горна граница преди забременяване, приемай само метилирани форми, защото не усвояваш синтетичните.

# 484
  • Мнения: 106
Благодаря за коментара! 🤗
Профилактичната терапия включва НМХ, овена Аспирина, така ли? 😕
Предполагам това трябва да се реши от хематолог, а не от АГ, нали?

Силванка, коагулацията ти е добре, но е добре да се следи на 3-4 седмици, заедно с кръвотока, през цялата бременност, за да се вземат мерки ако е необходимо. Ако излезнат мутации в комбинация с фамилната анамнеза, вероятно ще ти назначат профилактична терапия.

Mrs. G,
Мутациите ти са нискорискови, но няма гаранция че не могат да предизвикат проблем. Следи коагулацията на 3-4 седмици (аптт, д-димер и фибриноген). Пусни изследване на витамините Б9 и Б12, приемай само метилирани форми - фолат вместо синтетична фолиева киселина за Б9 и метилкобаламин вместо цианкобаламин за Б12.

mimka-g,
Преди консултацията пусни изследване на витамините Б9 и Б12, имаш две мутации които пречат на усвояването им, да може да види резултатите и да изпише терапия и за тях. Мутациите не са високорискови, но няма гаранция че няма да предизвикат проблем при бременност. Витамините трябва да са на горна граница преди забременяване, приемай само метилирани форми, защото не усвояваш синтетичните.

# 485
  • София
  • Мнения: 8 107
Профилактичната терапия може да включва нмх, аспирин протект или комбинация от двете. Може да се назначи от АГ, фетален АГ или хематолог с опит в проследяване на бременни с тромбофилия. При всички положения хематологът трябва да се съобрази със състоянието на кръвотока към бебето, така че е добре при преглед при АГ да се интересуваш и да караш АГ да ти обяснява какво е състоянието му. Консултирай се за твое спокойствие и с хематолог, може и онлайн, виж първа страница на темата или прочети назад за препоръки.

Ако имаш хипертоници в родата - следи кръвното за всеки случай. Трябва да знаеш какво е нормалното за теб, за да можеш да хванеш ако се покачи. Аз мерех всеки ден, че мойто пък беше ниско. При проблем се мери 3 пъти на ден и се записват стойностите за 10 дни, и после със стойностите при кардиолог.

Успех! 🍀

# 486
  • Мнения: 106
Много благодаря за подробния отговор!
Изчела съм назад и описанието. Запазила съм при д-р Тончев час, но чакам и за него, и за резултати. Надявам се нещата да са наред или ако не, да влязат в ред.
Радвам се, че открих темата и мога да пиша с хора, които са минали или минават през същото! ❣
ПС За кръвотока съм много объркана. Преди 2 седмици бях при д-р Чучумишев, като ми се назначи Аспирин протект, защото имах недобри стойности на кръвотока (едната артерия беше много зле). Вчера бях при доц. Карагьозова, която твърди, че стойностите са повече от перфектни (след само 2 седмици прием на Аспирин протект). Загубих се някъде в мисли и тълкувания… Не знам кой е прав или просто Аспиринът може да прави чудеса за кратък период от време…
Профилактичната терапия може да включва нмх, аспирин протект или комбинация от двете. Може да се назначи от АГ, фетален АГ или хематолог с опит в проследяване на бременни с тромбофилия. При всички положения хематологът трябва да се съобрази със състоянието на кръвотока към бебето, така че е добре при преглед при АГ да се интересуваш и да караш АГ да ти обяснява какво е състоянието му. Консултирай се за твое спокойствие и с хематолог, може и онлайн, виж първа страница на темата или прочети назад за препоръки.

Ако имаш хипертоници в родата - следи кръвното за всеки случай. Трябва да знаеш какво е нормалното за теб, за да можеш да хванеш ако се покачи. Аз мерех всеки ден, че мойто пък беше ниско. При проблем се мери 3 пъти на ден и се записват стойностите за 10 дни, и после със стойностите при кардиолог.

Успех! 🍀

# 487
  • Мнения: 2
delisardeli, много благодаря за отговора.
Имам пускани юли месец b9 50nmol/l (реф.6-39) и b12 840nmol/l (реф.142-489). До тогава приемах отделно фолиева мета  и b12 + опти ова, в която също се съдържат, след резултата оставих да пия само опти ова.
Високите стойности трябва ли да ме притесняват, имам 3 неуспешни инвитро без имплантация, другия месец планирам 4-та стимулация.

# 488
  • София
  • Мнения: 8 107
Sylvanka, аспирин протект се изписва и за оправяне на кръвотока, много хубаво, че е подействало бързо. И аз се следях при д-р Чучумишев Simple Smile

mimka-g, ако не си правила 14-дневна пауза преди изследване на витамините е нормално да са високи нивата. Опти-ова е много добра формула с метилирани форми. Но провери за всеки случай в останалите медикаменти, които вземаш, да няма някъде синтетична фолиева киселина, защото от нея може да се получи фалшиво висок резултат за Б9. Стискам палци следващият опит да е успешен!

# 489
  • Мнения: 106
Доктор Чучумишев си ми е основния лекар и на него имам доверие повече. По-скоро се съмнявам в Карагьозова и ми се искаше, ако някое момиче тук е ходила там, да сподели впечатление. Може и да нямам основание за съмнение, но това ще разбера на 100%, като дойде време за следващия преглед при доктор Чучумишев. Продължавам да си спазвам неговите препоръки. За момента за нищо не е сгрешил при мен и съм доволна

Sylvanka, аспирин протект се изписва и за оправяне на кръвотока, много хубаво, че е подействало бързо. И аз се следях при д-р Чучумишев Simple Smile

mimka-g, ако не си правила 14-дневна пауза преди изследване на витамините е нормално да са високи нивата. Опти-ова е много добра формула с метилирани форми. Но провери за всеки случай в останалите медикаменти, които вземаш, да няма някъде синтетична фолиева киселина, защото от нея може да се получи фалшиво висок резултат за Б9. Стискам палци следващият опит да е успешен!

# 490
  • Мнения: 178
Здравейте,  момичета! Ще започна отначало.
 Родих през 2021г,като имах много лека бременност и раждане. Миналата година септември месец имам спонтанен аборт в 5г.с. Тогава АГ каза,  че се случва, когато нещо с плода не е наред и не ми назначи никакви изследвания. Както и  да е, приех го и след това не сме правили опити(бременността тогава не беше планирана). Сега юли месец вече решихме да започнем с опитите за второ детенце. Още на 15 август на 11 ден след овулация видях втората много бледа чертичка. На 17 август чертичката беше по-ясна. На 19.08 си направих кръвен тест ЧХГ беше 53, след 2 дни 101, след още два 131 и ми беше ясно, че отново няма да има хубав край. Така в 5.г.с отново бременността приключи. Изчистих се сама. АГ отново каза случва се, като каза да не пускам изследвания и да продължаваме с опитите. Сега септември на 11 ден от овулацията отново имах някаква мнооого бледа черта, която така и не се насити. На 14 ден след овулация направих кръвен тест, който беше категорично отрицателен и на следващия ден ми дойде. Бях при друг АГ, който ми назначи изследвания за тромбофилия и антифосфолипиден синдром, като каза да започна да пия аспирин протект по 1 вечер и да продължаваме с опитите. Резултатите ми за тромбофилия излязоха. Може ли по запознатите от вас да ми кажат дали това би била причината за неуспешните бременности?

# 491
  • Мнения: 106
Здравей!
Аз съм нова тук и не съм много компетентна, но ще ти кажа какъв е моят случай.
Аз съм със същите резултати. Имам загубена бременност в 6 г.с. (бях с неоткрито Хашимото и бронхит). Никой до момента не ми е обръщал внимание на тази мутация единична по себе си (това е половин мутация даже). Сега съм бременна в 20 г.с. Имах някакво отклонение в кръвотока и направих 2 още изследвания, за които прочетох тук - АСЕ и Фактор 13 (при мен Фактор 13 е нормален, а за другото нямам резултат). Хубаво е и ти да ги направиш. Ако в тях излезе нещо, може тази половин мутация да окаже влияние. Това разбрах аз.
П.С. Ако греша, някой да коригира или допълни 🤗

Здравейте,  момичета! Ще започна отначало.
 Родих през 2021г,като имах много лека бременност и раждане. Миналата година септември месец имам спонтанен аборт в 5г.с. Тогава АГ каза,  че се случва, когато нещо с плода не е наред и не ми назначи никакви изследвания. Както и  да е, приех го и след това не сме правили опити(бременността тогава не беше планирана). Сега юли месец вече решихме да започнем с опитите за второ детенце. Още на 15 август на 11 ден след овулация видях втората много бледа чертичка. На 17 август чертичката беше по-ясна. На 19.08 си направих кръвен тест ЧХГ беше 53, след 2 дни 101, след още два 131 и ми беше ясно, че отново няма да има хубав край. Така в 5.г.с отново бременността приключи. Изчистих се сама. АГ отново каза случва се, като каза да не пускам изследвания и да продължаваме с опитите. Сега септември на 11 ден от овулацията отново имах някаква мнооого бледа черта, която така и не се насити. На 14 ден след овулация направих кръвен тест, който беше категорично отрицателен и на следващия ден ми дойде. Бях при друг АГ, който ми назначи изследвания за тромбофилия и антифосфолипиден синдром, като каза да започна да пия аспирин протект по 1 вечер и да продължаваме с опитите. Резултатите ми за тромбофилия излязоха. Може ли по запознатите от вас да ми кажат дали това би била причината за неуспешните бременности?

# 492
  • София
  • Мнения: 8 107
Точно така, при хетерозиготна мутация в PAI е добре да пуснеш още factor 13 и ACE. Това обаче не би могло да е причина за ранен спонтанен аборт. В тази ранна седмица причините могат да са най-различни, най-често некачествени яйцеклетки /сперматозоиди и или имунологични. Виж първа страница на темата за абортите, там има списък с изследвания, които можеш да направиш. Съжалявам.

# 493
  • Мнения: 369
Може да провериш хормони+инсулинова резистентност(след което да посетиш добър ендокринолог), както и панел НК клетки (в имунологията за НК, най-добре.) Често нарушения хормонален баланс и/или ИР правят така, че яйцеклетките да не са качествени. Разбира се, направете и спермограма.   
Здравейте,  момичета! Ще започна отначало.
 Родих през 2021г,като имах много лека бременност и раждане. Миналата година септември месец имам спонтанен аборт в 5г.с. Тогава АГ каза,  че се случва, когато нещо с плода не е наред и не ми назначи никакви изследвания. Както и  да е, приех го и след това не сме правили опити(бременността тогава не беше планирана). Сега юли месец вече решихме да започнем с опитите за второ детенце. Още на 15 август на 11 ден след овулация видях втората много бледа чертичка. На 17 август чертичката беше по-ясна. На 19.08 си направих кръвен тест ЧХГ беше 53, след 2 дни 101, след още два 131 и ми беше ясно, че отново няма да има хубав край. Така в 5.г.с отново бременността приключи. Изчистих се сама. АГ отново каза случва се, като каза да не пускам изследвания и да продължаваме с опитите. Сега септември на 11 ден от овулацията отново имах някаква мнооого бледа черта, която така и не се насити. На 14 ден след овулация направих кръвен тест, който беше категорично отрицателен и на следващия ден ми дойде. Бях при друг АГ, който ми назначи изследвания за тромбофилия и антифосфолипиден синдром, като каза да започна да пия аспирин протект по 1 вечер и да продължаваме с опитите. Резултатите ми за тромбофилия излязоха. Може ли по запознатите от вас да ми кажат дали това би била причината за неуспешните бременности?

# 494
  • Мнения: 106
Здравейте!
Това са моите резултати. Съсипана съм и съм отчаяна. Много съм притеснена за бебето и чакам час за хематолог. Дано мога да издържа няколко дни…
Ако някой знае нещо за някои от тях, нека напише…
Имам хетерозигота ПАИ.
За момента съм само на Аспирин протект от 100

Общи условия

Активация на акаунт