Отговори
# 465
  • у дома
  • Мнения: 8 102
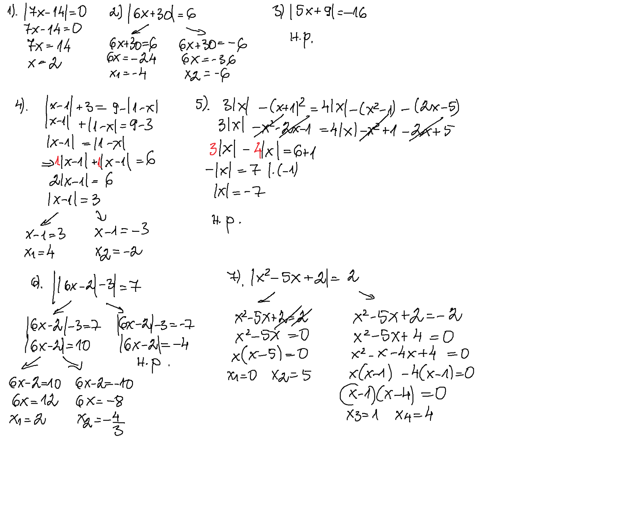
Дами, я ми кажете модул в модул кок се решава? Четири корена ли получаваме?
В учебника го няма..но мернах и такива задачи нейде.
Големият модул "разкривам" първо или как...мерси.
Например тази

Така се решава,но когато модулът е равен на отр число няма решение-добре сте "разкрили модула",но после не е вярно,защото няма решение-няма число,на което модула да е равен на отр число и от там следва,че няма решение.

# 466
  • Мнения: 77 188
Оле вярно. Как само се забравя..ужас!!!
Много благодаря!!

А модул от 2х минус модул от 3х = минус 6 ?
Вадя числото пред модула ли?

# 467
  • София
  • Мнения: 20 155
Няма фиксиран брой, зависи от уравнението. В случая са 0. Няма решение, понеже от модул не може да излезе отр.число. Но в други случаи такова модулно може да има и 4 корена, и два корена..

# 468
  • Мнения: 77 188
Ясно. А ако големият модул е равен на отр.число..директно пишем Н.Р ли?

# 469
  • София
  • Мнения: 20 155
Ясно. А ако големият модул е равен на отр.число..директно пишем Н.Р ли?
Да.

# 470
  • у дома
  • Мнения: 8 102
Оле вярно. Как само се забравя..ужас!!!
Много благодаря!!

А модул от 2х минус модул от 3х = минус 6 ?
Вадя числото пред модула ли?
|2х|-|3х|=-6
2|х|-3|х|=-6
-|х|=-6
|х|=6
х=-6  х=6

# 471
  • София
  • Мнения: 20 155
Тета, в 7 клас задачите с модулни уравнения общо взето се въртят около  тези подвидове, като в края всичките се свеждат до едно от първите 3:

Е, в малко по- завързани примерни тестове чат-пат има  и  модулни уравнения, при които в двата модула стоят различни многочлени, но силно се съмнявам да дадат такова на НВО.

# 472
  • Мнения: 77 188
Почнала съм бързо да забравям явно...явно съм за гинко прим Joy и окъснях за раЛта....
Дано който трябва да ги знае да ги помни. Оставих му за домашно да ги реши...

# 473
  • Мнения: 9 222
Много се чудя дали е нормално 8-годишни да учат системи уравнения и аритметична прогресия. Признавам си, смятам го за пренавиване на пружината. Е, те не знаят, че са това, но ги учат на такива неща. Кому е нужно и какво си доказваме с това?!

# 474
  • Мнения: 2 305
Динчо, те реално и вероятности учат, и комбинаторика. И за мен това е прекалено.

# 475
  • София
  • Мнения: 20 155
Всичко това имам чувството, може и да греша, де, че е най-силно застъпено в София заради свирепата борба за прием след 4 клас в СМГ, НПМГ, ПЧМГ. И заради състезанията...Как да  правят по-прецизен подбор/класирания с единия общообразователен материал до 4 клас- ми намерили са начин  да го направят с вдигане на летвата и с изучаването  с помагала и курсове на материал от много по-горни класове.

Последна редакция: ср, 11 юни 2025, 00:32 от Просто русалка

# 476
  • Мнения: 717
Тъкмо и школите да вървят... Че нали иначе биха се намерили повечко родители, които и сами да се справят. Grinning

# 477
  • В Страната на чудесата
  • Мнения: 413
Много се чудя дали е нормално 8-годишни да учат системи уравнения и аритметична прогресия. Признавам си, смятам го за пренавиване на пружината. Е, те не знаят, че са това, но ги учат на такива неща. Кому е нужно и какво си доказваме с това?!

А ако някое дете събира и изважда с прехвърляне 6- цифрени числа на 5, да прави същото до 10-годишна възраст ли? Състезателната математика е спасение от залиняването на малките мозъчета и е страхотно, че я има като възможност.
Другото са неподплатени родителски амбиции.

# 478
  • Мнения: 17 914
С това последното съм много съгласна. Синът ми откри математиката на 6 години, на 7 и половината не само смяташе на ум със заемане и прибавяне четирицифрени (до хиляда), но и дробни числа, тип цени в магазин и ресто на касата, при това по-бързо от касиера. И стигна до това сам, не съм го учила, съвсем малко подсказах за заемането и преминаването само. И беше загубен за математиката в училище като "бебешка и скучна". За съжаление, го пуснах неподготвен в първи клас на кенгуруто, изкара 10/100 и се разочарова, самолюбието му беше наранено. Като добавим характера и нежеланието да се изявява, плюс липсата на стимул в училище да се развива в посока математика и фактът е налице - отказа да ходи на състезания и да кандидатства в МГ. Той трябваше да е СОП, но не като изоставащ, а като напреднал по математика и да работят с него отделно, както и с всяко друго дете, което е надраснало училищното ниво на съответния клас, но няма ресурс за тях.

# 479
  • София
  • Мнения: 20 155
Алисса, такива деца са шепа хора на фона на масата, пуснала се по течението на изучаването на мат на надвишаващо с много възрастта ниво, по всякакви състезания..Дори и на тези малко на брой деца няма да им залинеят мозъците, ако на 8 още не са разбрали за системи, прогресии,  комбинаторика и сие..Във всеки един дял от математиката могат да се съставят задачи, които да са върху училищния материал или изпреварващи го, но с малко, а не с  класове,  които обаче да са  с  доста по-голяма сложност от  стандартните училищни. И сивите клетки пак няма да бездействат.. Според мен поне, не  ангажирам никого с това мнение,  определени неща трябва да се учат, когато им дойде времето (или поне когато наближи), за да могат д се осмислят/разберат,а  не да се "овладеят" само като формула/алгоритъм. Ще ти дам пример. Познато дете от СМГ, 5-6 клас да беше тогава,  преди години попита голямата ми дъщеря какво се учи в 1 семестър в унито по мат ( тя беше тогава на този етап). При споменаването на комплексни числа, последва  възглас "Хаха, аз това отсега го знам, показвали са ни го". И тръгна да  го демонстрира. Това, че знаеше за съществуването им, за това  от какви части се състоят комплексните числа (реална и имагинерна), как се рационализират, въобще не означава, че е наясно в дълбочина с тях, с  тригонометричния им вид, оттам с геометричната им интерпретация в комплексната равнина.  Та с какво точно помага в такива случаи на иначе застрашения от залиняване мозък ученето на някаква лимитирана част от цялото без разбиране?

Залитането по математиката, опитите за овладяване на   материал от горни класове от малки, масовото ходене по състезания в последните 10-15 години стана характерно  за всеки втори сигурно - можещ, не чак толкова или въобще несправящ се..А не е да нямаше супер математици и преди това, даже най-многото ни медали и призови места от международни състезания са  от по-назад във времето. Тогава  предимно можещите изучаваха такива неща. Сега, заради пробойните в образованието ни, всеки иска да намърда детето си в МГ като оазис на фона на слабото обучение в прогимназиален етап.  Тоест, да, вълна от болна родителска амбиция има, яхната  умело обаче от школи с цел не само да  се развиват таланти и да се стимулира с надграждане мисленето на справящите се безпроблемно с текущия материал, а и да се трупат пари.

Мама Ру, въобще не визирам сина ти, държа да подчертая. Не го познавам и никога не бих си позволила  да коментирам  способностите на непознато дете. Но е налице тенденция и в математиката, точно като при езиците ( като кажат родители, че  наследникът им перфектно владее даден език, най-често английски още на 10), да се твърди с убеденост, че детето е с изявени дадености по математика.. Почва да се тика въпросното по курсове, по състезания, да се натоварва и вкъщи със задачи от всякакви сборници и когато вече само решава дали и на какво да се явява, този "интерес и талант" рязко секват. А дали е  имало наистина  талант, това е доста спорно. Отделно това, че някой смята с петцифрени, шестцифрени и т.н числа още от детската градина, хич не означава, че е бъдещ гениален математик..

Последна редакция: ср, 11 юни 2025, 08:16 от Просто русалка

Общи условия

Активация на акаунт