Резултати от микробиология - тема 3

  • 22 286
  • 740
  •   1
Отговори
# 345
  • Мнения: 4 881
Руми,

Последната ти МБ няма микроскопски препарат. Затова изследването е непълно. Може все още да си с БВ, най-вероятно нямаш и лактобацили, лекували са те доста оскъдно.
Относно стария Фемифлор, тогава провежда ли лечение?

Аз лично на твое място бих изискала нов Фемифлор, но за целта, не бива да си слагала Гинофилус поне 2 седмици.

# 346
  • Мнения: 2
Mila, нямам лечение след последния фемифлор, тогава ми казаха, че били оскъдни количества тези бактерии, щом били в сивата зона не изисквали лечение.Тогава нямах никакви симптоми като парене,жълто течение и т.н, те се появиха след бременността.Ще изчакам следващия преглед, който е след точно 2 седмици и няма да слагам нищо, ще помоля за нов фемифлор, да видим какво ще излезне 🙂

# 347
  • Мнения: 10 178
На база на Фемофлор ли е назначен Арилин еднократно?
Виждам, че и кандида има, макар и в жълто, но не е била адресирана в лечението, нито описана под самите резултати, Геника започват яко да ме дразнят вече...
Мисълта ми е - тогава си е за тогава, въпросът е сега какво е положението долу? Моят съвет е да се види на микроскоп какво се случва, в посявка явно не излиза кандида (иначе идеално би обяснила оплакванията ти), но ще се видят важни неща като анаероби и лактобацили.
Не знам доколко е удачно да се рови по шийката за цервикален секрет вече...Ако нещо не е ок в микроскопския материал, тогава да се мисли за Фемофлор.
Иначе, напълно нормално е да имаш нарушение във флората долу, заради хормоналната буря в тялото ти, но тези неща трябва да се проследяват и при нужда да се лекуват, за да не се стига до усложнения и да се изкара бременността до края, успешно.

# 348
  • Мнения: 446
Здравейте, пак съм аз.. бях на гинеколог след лечение с клиндавазин, вагизан и гинофилус. Оплакванията от постоянно бяло течение продължават. Резултати ми излязоха чисти, но докторката ми изписа "Вулвоваги спрей - по 3 впръсквания вагинално сутрин и вечер за 1 месец". Явно при мен е вагинална сухота от приема на хормони за ендометриозата.

Някоя от Вас запозната ли е с Вулвоваги?
Скрит текст:
   

# 349
  • Мнения: 4 881
Хм, не ми харесват тези левкоцити обаче.
Изключени ли са всичките ППБ?

# 350
  • Мнения: 2
Привет на всички. Пускам тук резултатите си от микробиология с молба някой да ги разчете. Гинекологът казва, че всичко е наред. Усещам дискомфорт в пик. Мехур безпричинно. Накратко преди 2 години карах цистит, но причинител ешерихия коли. Проведох антибиотична терапия 10 дни плюс поддържаща за месеци напред с опашка и фитопрепарати. Не съм имала никакви проблеми, нито рецидиви през тези 2 години. Пусках и стерилни урини скоро, чисти са. Изведнъж се появи тази болка.

# 351
  • Мнения: 4 881
Твоят АГ да си изгори публично дипломата.
На влагалищна степен 4 да каже, че всичко е наред????
То трябва да си първа, не четвърта, то по-зле от това няма.
Накратко, цялата ти нормална флора е убита. На мястото на добрите лактобацили са се нароили куп лоши бактерии, но явно не могат да ги хванат на нормална МБ. Защо - тук е гадаене. И сега чуденката е дали са анаероби или друг вид бактерии, защото от това зависи какво ще е лечението. Това, че не е Гарднерела нищо не значи, БВ може да е от други бактерии.
Накратко - консултация с друг АГ - възможно най-скоро. Според мен - може би не е лошо да ти се пусне Фемифлор, защото уж той е по-информативен за микроорганизмите като цяло, а изследванията, които вече си пуснала са недостатъчни.
Не виждам типична картина на БВ, няма “clue cells”, тъй че не бих се наела на база на този резултат да тълкувам какво точно имаш.
Но със сигурност имаш причина за симптоматиката ти.

# 352
  • Мнения: 2
Благодаря за насоките. Много си блъсках главата няколко месеца. Пусках изследвания. Урологът ми пусна и уретрален секрет Фемофлор на Геника. Според него няма нищо, макар че тук вече има изолирана бактериална флора.

# 353
  • Мнения: 4 881
Ако се водим от този Фемифлор, въпреки че хм, от уретрален секрет??? просто съм 🤦🏻♀ - очевидно си е бактериална вагиноза.
Т.е. тук се налага лечение на анаеробите с метронидазолов препарат (или клиндамицин), подкиселяване на средата и курсове с вагинален пробиотик (виж инструкциите на Cafe Del Marна стр. 5).
За мен обаче е редно да идеш на АГ поне да ти изпише първата част на лечението с АБ, дали ще е орално или само вагинално, не знам.

# 354
  • Варна
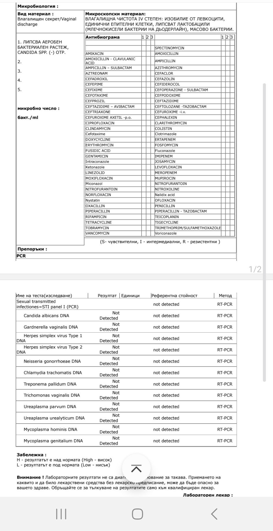
  • Мнения: 3 724
Прикачвам се резултата от Геника,кажете ми сега щом се изолира Candida, как изобщо това не се изкоментира на микробиологията.И от Лаборескспрес писаха малко лактобацили, а по това процъфтяват.Тези в сиво как са?
Само да припомня и резултат от микробиологията ….

Самоцитирам се и прилагам резултата от n-тата на брой микробиология, пусната на две места ,като и на двете се детектира тривиалната Candida albicans…която не можаха да открият още на първото изследване…Утре ще пусна на АГ, но долу горе ми е ясна работата .Според вас кой препарат ще даде най-добър резултат ,както за мен,така и за партньорът?Пия Кандизин засега докато ми излезе резултатата ,това беше препоръката на АГ след Гениката.

# 355
  • Мнения: 4 881
Ивка,

Моля те, пиши къде са правени тези МБ.
А и дами, моля ви, която е правила МБ с антимикограма - да ми пише в коя лаборатория. Подготвям нова тема за гъбичките и събирам такава инфо.

Иначе, Ивка, гъбата ти е чувствителна на абсолютно всичко.
Пила ли си досега Флуконазол (Микомакс, Дифлукан, Кандизол)?
Мъжът изследван ли е?

# 356
  • Варна
  • Мнения: 3 724
Пила съм епизодично Кандизол, последно преди няколко месеца . Аз си знам , че чат-пат се появява тази Кандида и тогава пия Кандизол, когато получа течение и слагам Гиназол еднократно.
Едната микробиология е правена в Лаборекспрес на улица Генерал Колев/това е първата -тази, където не хванаха кандидата,но написаха-много бактерии и прочие /.Другата от днес пак от Лаборекспрес, но на улица Брегалница 4. Втората микробиология от днес е от Сити лаб-Цар Освободител 81. Всичко се отнася за Варна.
Съпругът не е изследван .Той понякога проявява симптоми след полов акт-усеща като протриване и щипене. Аз четох, че това се води контактен баланит евентуално.

Последна редакция: чт, 26 юни 2025, 15:33 от Ivka_smile

# 357
  • Мнения: 4 881
Вариант 1 е направиш по-сериозен курс с Флуконазол.
1-4-7 ден, след това веднъж седмично за месец, после няколко месеца - веднъж месечно.
Отделно - понеже в момента Гиназол май все още няма - Ломексин - 2 бр. Един на първи ден, един на 4-ти. Или пък Канестен - те са 3 глобули.
Външно мазане с Ломексин крем или Канестен крем.
Мъжа ти - явно и той трябва да се лекува. За него схема обаче не мога да се наема да давам като съвет. Пак някаква с Флуконазол + евентуално мазане с крем.
Друг вариант е Итраконазол, като за него също има основен курс и поддържащи схеми.
Но всичко това трябва да е изписано от опитен лекар (въпреки че във Варна май не са от най-читавите, доколкото съм запозната). Еднократни истории не са удачни. Трябва системно лечение.
Помисли и кои фактори ти отключват гъбите, то това е най-важното. Лекарства? Море? Секс?

# 358
  • Варна
  • Мнения: 3 724
Благодаря ти, Мила! Ще видя какво ще изпише АГ и ще усредним една схема с вас тук. За гъбите не мога да хвана - след секс -да, но понякога и без това се активира някакво течение ,като че ли зависи от хормоналните нива от-до цикъл.Също така,понеже страдам от генитален херпес, това определено доста силно повлиява.Когато херпеса се активира, а той може се активира от всичко, това определено променя веднага вагиналната миризма и течението. Стрес също влияе вероятно ,лекарства не пия.
Сега освен този Кандизин, който е по схема си взех и високи мг Лактоферин-500 мг,както и Каприлова киселина и Биозин фем. Всичко в комбинация би трябвало да повлияе на имунитета и тези периоди на активация.

# 359
  • Мнения: 4 881
Да, за всичко, което пишеш си права.
То остави гъбите, това с херпесът е по-гадно. Ако ти излиза често, има 2 неща, които може да направиш, освен изброеното:

Терапия с нискодозиран Валтрекс
Терапия с Лизин

Аз лично моят херпес си го приспивам с Валтрекс, но само когато избива, при мен обаче е много рядко, а и той ми е между влагалището и ануса и реално не ми бърка вагиналната флора. Но ужасно, гадно и отвратително болезнено, даже не искам да си мисля какво е да ти е на другото място.
Но при рецидивиращи херпеси това са два от методите за намаляване на честотата.
Разбира се, схемите се изписват от лекар, най-добре дерматовенеролог.
Мисля обаче, че ако се натъкми една добра схема за гъбата, ще си отдъхнеш.
Ако не е тайна - на колко години си? Имам още нещо предвид, та затова питам.

Общи условия

Активация на акаунт