Q&A
Обобщени въпроси и отговори от темата *
Колко билета са закупили на партера?
Каква е вероятността да паднат на „ези“, когато се хвърлят едновременно?
Колко различни начина има за подреждане на 7 еднакви червени рози и 3 еднакви бели рози в редица?
* Предложените въпроси и отговори се генерират машинно от автоматизиран езиков модел на база потребителските мнения в темата. Генерираното съдържание може да е непълно, неактуално, подвеждащо или неподходящо. Вашите оценки спомагат за подобряване на модела и неговото усъвършенстване.
-
Колко билета са закупили на партера?
Учениците са закупили 56 билета за партера. Това може да се изчисли, като се използва система от уравнения, където x представлява броя на билетите за партера, а y представлява броя на билетите за балкона. След това x и y могат да бъдат изразени по отношение на общия брой закупени билети и техните цени, което води до уравнение, което може да бъде решено за x. Следователно учениците са закупили 56 билета за партера.
-
Каква е вероятността да паднат на „ези“, когато се хвърлят едновременно?
-
Колко различни начина има за подреждане на 7 еднакви червени рози и 3 еднакви бели рози в редица?
Броят на различните начини за подреждане на 7 еднакви червени рози и 3 еднакви бели рози в редица е 120. Това може да се изчисли, като се приложи формулата за комбинации с повторение, която в този случай е 10!/(7!3!), където 10 е общият брой на розите, 7 е броят на червените рози и 3 е броят на белите рози.
-
Каква е вероятността сумата от точките на два зара да не е 8?
-
Какво е решението на уравнението 14x + 800 - 10x = 976?







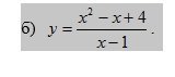
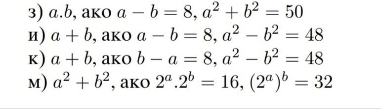
Няма нужда да се търсят a и b, а да се приложат формулите за съкратено умножение...