Отговори
# 405
  • Мнения: 3 606
съученичка - х задачи на час
за 75 минути -1,25.х
ученик - 1,5.х задачи на час
за 75 минути - 1,25.1,5.х=1,875.х

1,25.х+1,875.х=50
3,125.х=50
х=16

=> ученикът решава за час 1,5.16=24 задачи

# 406
  • Мнения: 9 258
За един час х и 1.5х. Двамата общо 2.5х за един час.
1.25*2 5х за 75 минути =50

# 407
  • Мнения: 225
Здравейте,  търся помощ за две задачи 6 клас.

# 408
# 409
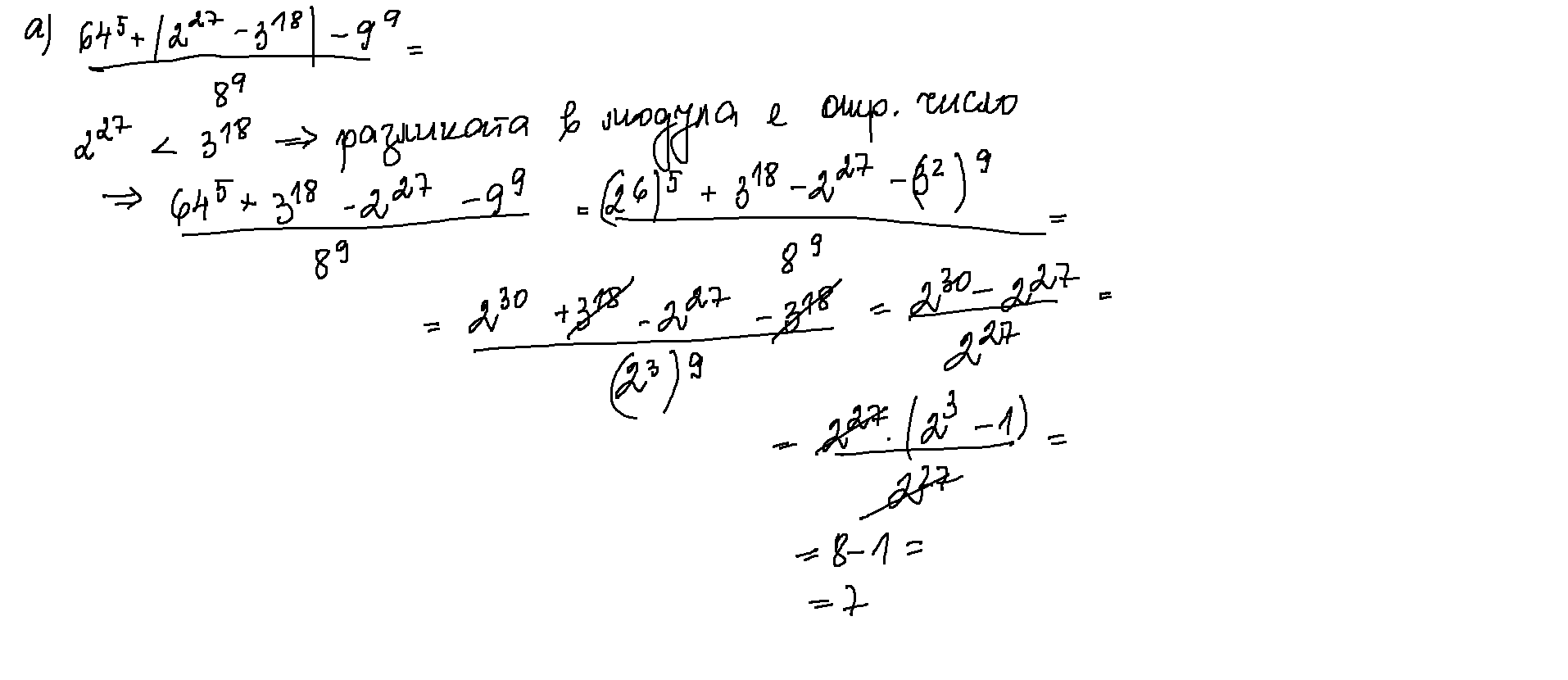
  • Мнения: 225
Благодаря, само още един въпрос - как да определя дали в модула е положително или отриц. число?

# 410
  • София
  • Мнения: 20 178
2^27= (2^3)^9= 8^9
3^18=(3^2)^9=9^9
8^9 < 9^9
Тоест имаме да извадим от първото второто, а тази разлика е отрицателна.

# 411
  • Мнения: 225
2^27= (2^3)^9= 8^9
3^18=(3^2)^9=9^9
8^9 < 9^9
Тоест имаме да извадим от първото второто, а тази разлика е отрицателна.
Благодаря ви много! Сега всичко ми стана ясно.

# 412
  • Мнения: 580
Здравейте! може ли помощ за 5 задача от сборник за 7 клас.

# 413
  • Мнения: 3 606
Допълваме до точен квадрат и гледаме какво остава.

а^2+2.3.а+9+6=
(а+3)^2+6

Квадратът винаги ще е >=0, затова най-малката стойност е 6, при а=-3 (за да стане 0 изразът на квадрат).

# 414
  • Мнения: 948
Здравейте. Може ли помощ за две задачи 8 клас:
1. Намерете острите ъгли на триъг.АВС / <С=90° /, ако разстоянието от медицентъра до АВ е 2 пъти по-марко от разстоянието от медицентъра до единия от катетите.
2. Милко забравил първите четири цифри от кода на алармената система в дома си, но помни, че те са различни и ги набира на случаен принцип. Намерете максималния брой опити, които трябва да направи Милко, за да открие кода на алармата.

# 415
  • Мнения: 4 545
2. Милко забравил първите четири цифри от кода на алармената система в дома си, но помни, че те са различни и ги набира на случаен принцип. Намерете максималния брой опити, които трябва да направи Милко, за да открие кода на алармата.
10.9.8.7=5040
Първата може да е цифра от 0 до9 тоест 10 възможности
На второ място 9 възможности -без вече избраната и т.н

Последна редакция: пн, 28 дек 2020, 21:48 от The Invisible

# 416
# 417
  • Мнения: 948
The invisible, пенсионирана русалке, Благодаря!

# 418
  • Мнения: 3 606
2. Милко забравил първите четири цифри от кода на алармената система в дома си, но помни, че те са различни и ги набира на случаен принцип. Намерете максималния брой опити, които трябва да направи Милко, за да открие кода на алармата.
10.9.8.7=5040
Първата може да е цифра от 0 до9 тоест 10 възможности
На второ място 9 възможности -без вече избраната и т.н
В този случай не трябва ли да вземем предвид, че за последното число преди последния опит вече знаем, кое е последното число без да правим опита.

# 419
  • Мнения: 4 545
Solnichka права си
Не обърнах внимание, че пише брой опити, а не възможности

Общи условия

Активация на акаунт