ОСМИ клас 2020/2021 - Малко зима, сняг студен, в ОСМИ КЛАС сме вече ДЗЕН!

  • 23 934
  • 744
  •   1
Отговори
# 210
  • София
  • Мнения: 3 362
Бисе, виж учителката да не е с немска филология? 😂

# 211
  • София
  • Мнения: 2 646
Като чета и за други мързеланковци като моя малко се успокоявам, че не е само той. Днес влизам в детската. Тече математика, а моичкия се излегнал с лаптопа на леглото и така слуша. И това като съм си вкъщи. Утре мисля да вадя и украсявам елхата, белким ми стане коледно. И от понеделник съм пак на работа. УРА!

# 212
  • Мнения: 9 059
Бисе, виж учителката да не е с немска филология? 😂
Аз така се възмущавах преди години на една надписана снимка в рамка, която бяха подарили на моя мъж. В един момент се усетих, че това не са правописни грешки, а просто надписът е на немски, защото беше подарък от германци. Сега знам, но продължава да ми изглежда странно като погледна към нея.

# 213
  • Мнения: 7 064
Ами, не, не е с немска филология, ама май и с английска не е🧐

# 214
  • София
  • Мнения: 3 830
Аз съм във възторг от нашите учителки по японски. Даже им правят готови списъци с думи в quizlet за преговор. Качват допълнителни упражнения по граматика. Аз, разбира се, нищо не разбирам, но се надявам нещо да влиза, където трябва.

# 215
  • Мнения: 9 059
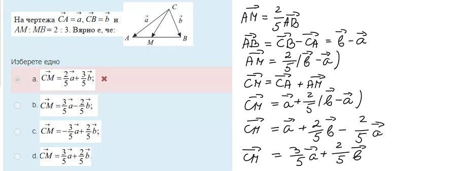
Някоя добра душа ще ми обясни ли как се решава тази задача? Изоставих математиката тази година, но явно ще трябва да седна и аз да си припомням.

# 216
  • sofia
  • Мнения: 419
Здравейте! Искам да ви попитам при вас по колко лева месечно е стипендията за отличен успех, тъй като тази в нашето училище ми се струва доста малка

# 217
  • Мнения: 7 702
Някоя добра душа ще ми обясни ли как се решава тази задача? Изоставих математиката тази година, но явно ще трябва да седна и аз да си припомням.

# 218
# 219
  • София
  • Мнения: 3 678
Здравейте! Искам да ви попитам при вас по колко лева месечно е стипендията за отличен успех, тъй като тази в нашето училище ми се струва доста малка
Утре  ще мога да кажа, че ги викат в училище да си занесат бележниците за попълване и да си вземат стипендиите.
Бисе, разкошен джуджак!
blanc, бързо оздравяване! Имай предвид и модерната болест, че и тя дава подобна симптоматика, особено при жени.

# 220
  • София
  • Мнения: 7 675
40 лв. за успех 6.00. И стига до 25 лв., но забравих дали беше за минимум 5.85 или повече.
Утре трябва да ходим до банката, за да вземем картата, която служебно беше заявена от училище.
Аз пък да питам - тези стипендии са за първи срок и се калкулират върху 4 месеца и половина или?
Между другото ще имаме онлайн РС другата седмица; де факто от септември насам не са се провеждали такива.
При вас какво се случва по тази тема?

# 221
  • Мнения: 7 702
РС имаха една преди 15.05 и после една само с класната онлайн и темата беше само за застраховки, ковид и подобни. С учители не сме имали. Аз нямам и нужда, защото "присъствам" в часа и виждам колко знае/не знае. Пишат и отзиви или оценки доста често вече.
За стипендиите нямаме яснота. Днес Ния пита зам.директорката. Май нямали достатъчно финансиране освен за "социалните" и за деца с успех 6.00. Не зная на каква стойност ще са. Нямаме списък с одобрените кандидати. При нас е малко по-особено и изобщо няма да ми е ясно и да преведат някаква сума за коя стипендия е, дали е за двете или само за една.

# 222
  • Между гори и планини
  • Мнения: 12 332
Тая година не сме имали родителска среща, дори и виртуална. Класният е същият който беше до 7клас, учителите жд изключение на тази по английски и сегашната заместничка само са нови. Мъжът ми видял заместничката по английски, която леко срича като чете, в магазина. Леко се спекла пред него 🤣 Така им действа на учителките по английски, не знам защо 🙄
Класният винаги отговаря на обажданията, директорката също. За сега не е имало нужда.

# 223
  • София
  • Мнения: 3 950
Досега не сме имали никаква РС.Нито реална,нито виртуална.Зърнахме класната в двора на първия учебен ден.

# 224
  • Мнения: 7
Чета ви често и искам да ви попитам,  вашите деца пращат ли домашни на съучениците си, защото моята девойка, като я помолят и не може да отказва, обяснявам, че не е редно, но без резултат.

Общи условия

Активация на акаунт