Отговори
# 255
  • София
  • Мнения: 5 558
В случая не значи.

# 256
  • София
  • Мнения: 2 818
Благодаря, ganis Flowers Hibiscus

# 257
  • Мнения: 2 944
Моля, за помощ, дами: 8кл./Сигурно е адски лесно, но... Simple Smile/
От четвъртата степен на едно отрицателно число извадих квадрата му и получих 600. Намерете числото.

# 258
  • София
  • Мнения: 1 610
Моля, за помощ, дами: 8кл./Сигурно е адски лесно, но... Simple Smile/
От четвъртата степен на едно отрицателно число извадих квадрата му и получих 600. Намерете числото.

(-x)4 - (-x)2 = 600

(-x)4 - (-x)2 - 600 = 0

ако -х2 = у

у2 - у - 600 = 0

у1 = 25      у2 = -24 - не е решение

х1,2 = +- 5 ,    решение е  - 5

Последна редакция: нд, 23 яну 2022, 18:32 от buty

# 259
  • Мнения: 2 944
А дали е удобно по-подробно разписване Simple Smile...
Моля, за помощ, дами: 8кл./Сигурно е адски лесно, но... Simple Smile/
От четвъртата степен на едно отрицателно число извадих квадрата му и получих 600. Намерете числото.

(-x)4

# 260
  • Мнения: 9 258
(-х)^4 - (-х)^2 - 600=0
Може ли да решите това квадратно уравнение?
Числото е -5

# 261
  • Мнения: X
(-x)4-x2=600
(-x)4-x2-600=0
x4-x2-600=0
Биквадратно уравнение.
Полагате x2=y
у2-у-600=0
Решавате квадратното уравнение.
у2=-24   у2=25
Връщате се към полагането.
 x2=-24<0 н. р.    x2=25
x1=-5   x2=5 
Търсим отрицателно число. Значи -5.

# 262
  • Мнения: 2 944
Сърдечно благодаря на всички за помощта. Hands Plus1

# 263
  • Мнения: 268
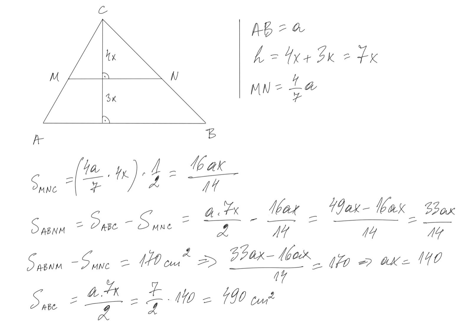
Моля за помощ. Задача за 9 клас. Права, успоредна на основата на триъгълник, дели другите му 2 страни в отношение 4:3, считано от върха, а лицето на триъгълника- на части, чиято разлика е 170 кв. см. Намерете лицето на дадения триъгълник.

# 264
  • Мнения: 6 968
Даден ли е отговорът на задачата? Получих някакво странно число, което ме кара да мисля, че някъде греша в сметките, но не намирам къде.

# 265
  • Мнения: 6 955
Аз получих SABC = 490 cm2.
След малко мога да кача разписано.

Основното, във връзка с Теоремата на Талес, е да се използва,
че височината на ABC също се дели в пропорции 4:3,
а целият триъгълник ABC е в отношение 7.

Скрит текст:

Последна редакция: пн, 24 яну 2022, 16:49 от Barbabeau

# 266
  • Мнения: 6 968
Открих си грешката, но не ми се преписваше, та прегънах листа Stuck Out Tongue Winking Eye

# 267
  • Мнения: 268
Да, отговорът е 490 . Разбрахме грешката. Работихме с коеф 4/3. Благодаря на всички за помощта.

Последна редакция: пн, 24 яну 2022, 17:17 от Синьорина

# 268
  • Мнения: 6 955
Защото △MNC се отнася към △ABC както 4:7.
Цялата страна 7 се получава от сбора на частите 4+3.
"Права, успоредна на основата на триъгълник, дели другите му 2 страни в отношение 4:3, считано от върха"

# 269
  • София
  • Мнения: 2 818
Здравейте отново. Може ли помощ за тези задачи за 5.клас  на 11-та получавам 34 см, но не съм сигурна

Общи условия

Активация на акаунт