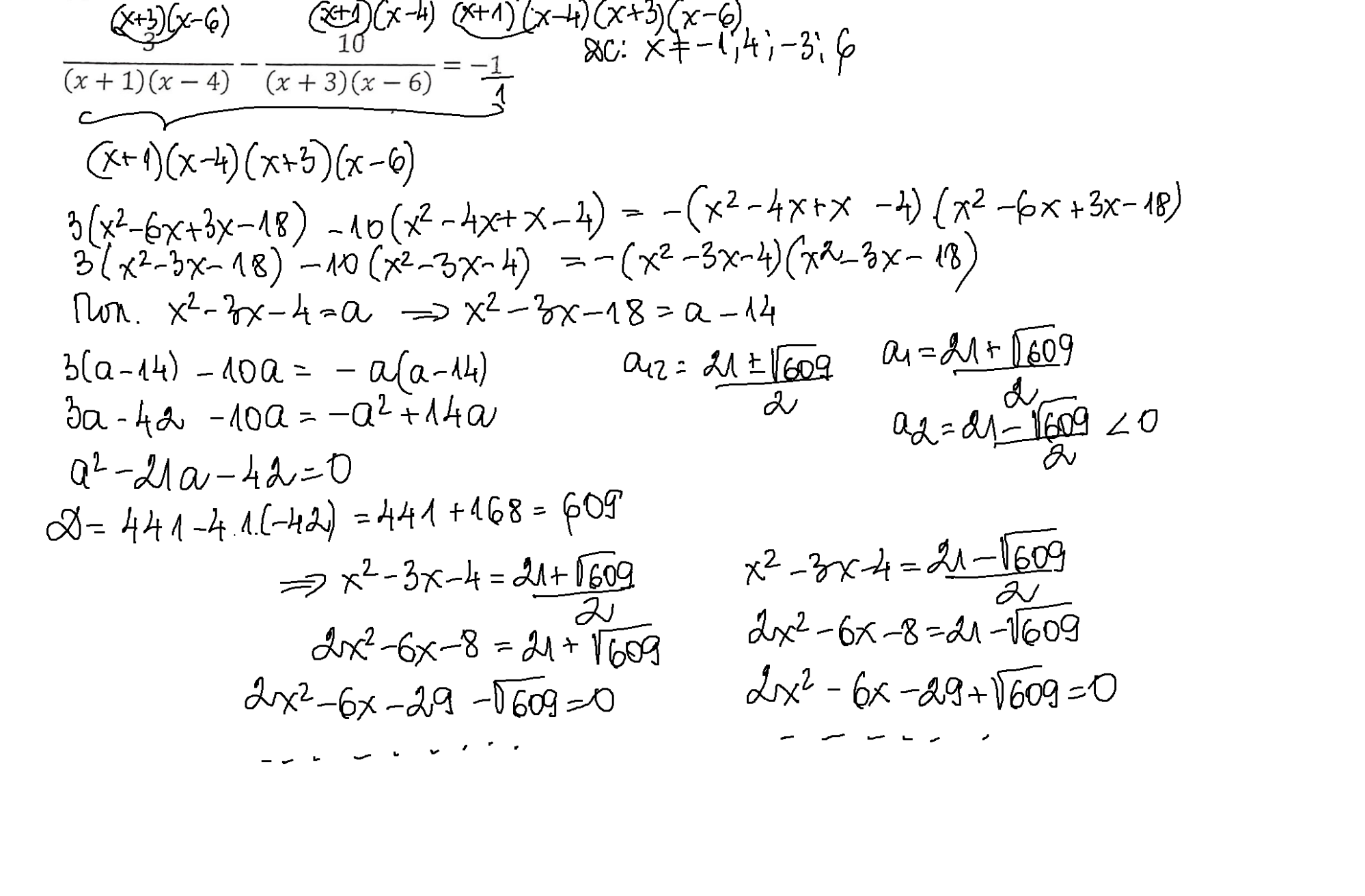
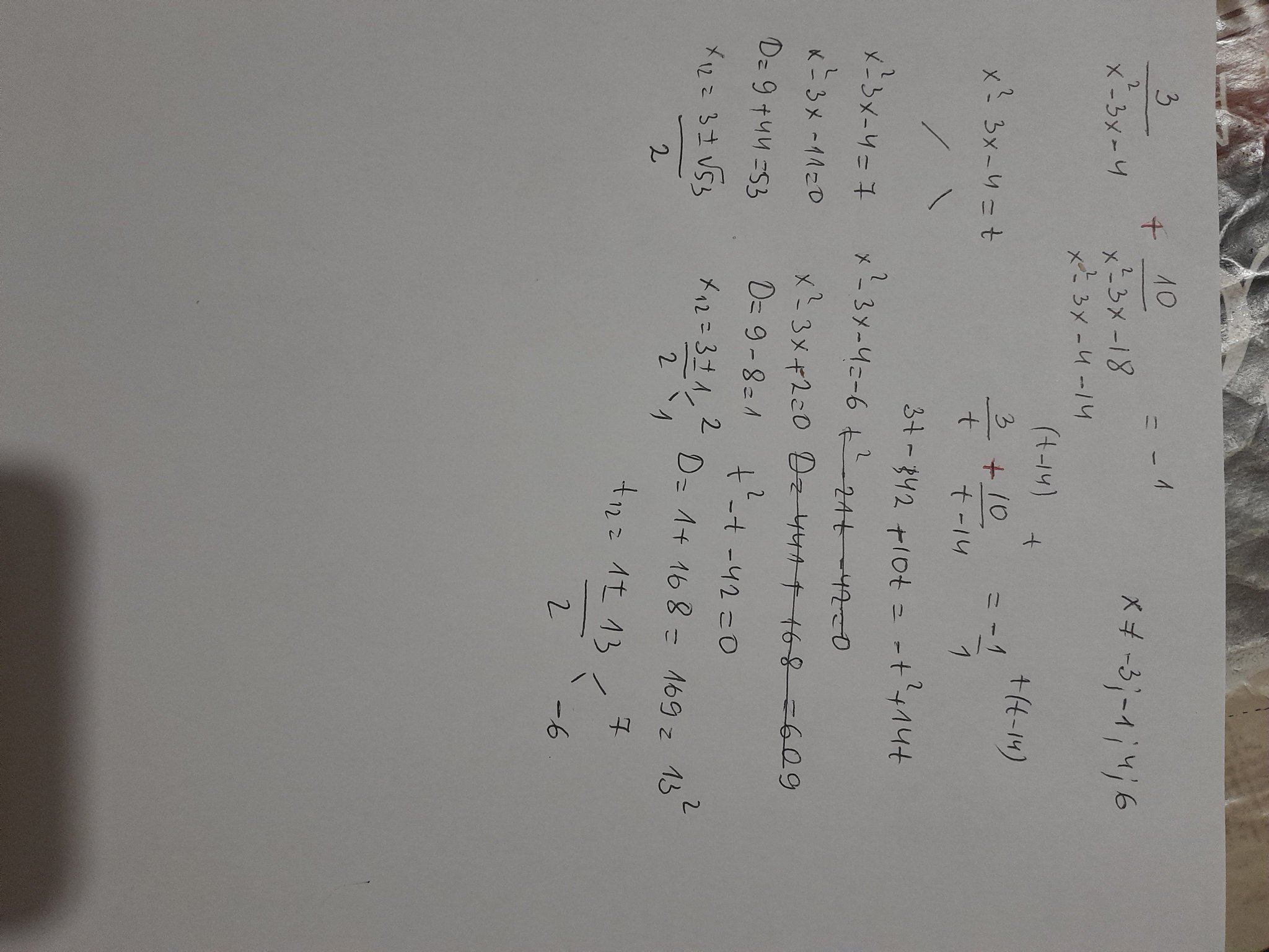
Q&A
Обобщени въпроси и отговори от темата *
Как да се освободите от корен квадратен в знаменателя на S?
Как се решава уравнението 3x + 1 + 5x = 25?
Как се решава задача за намиране на средна скорост?
* Предложените въпроси и отговори се генерират машинно от автоматизиран езиков модел на база потребителските мнения в темата. Генерираното съдържание може да е непълно, неактуално, подвеждащо или неподходящо. Вашите оценки спомагат за подобряване на модела и неговото усъвършенстване.
-
Как да се освободите от корен квадратен в знаменателя на S?
-
Как се решава уравнението 3x + 1 + 5x = 25?
-
Как се решава задача за намиране на средна скорост?
-
Как да намерите броя на делителите на числото 2730?
-
Как мога да реша геометрична задача, включваща вписан четириъгълник?




Задачата е за 8. клас, моля за решение. Благодаря! 
